結構
3D分子圖重氮甲烷是一個線形分子,有多個共振式,中間的氮原子帶有部分正電荷,兩端的碳和氮原子帶有部分負電荷。其分子中可能還含有三原子四電子的大π鍵,從而導致重氮甲烷的偶極矩實際上並不大,與共振結構預測的結果有偏離。
物理性質
1.氣味:有強刺激性氣味。
2.溶解性:溶於乙醇、乙醚。
化學性質
甲基化
重氮甲烷非常活潑,與羧酸生成甲酯,與酚生成甲醚,是一個重要的甲基化試劑;與醯氯反應,生成重氮甲基酮。與鹼金屬作用引起爆炸。在銅粉存在下放出氮氣,生成白色片狀聚合物。與某些β-二酮或β-酮酸酯的烯醇體反應,生成不飽和的甲醚。
在光照下,重氮甲烷分解產生卡賓:-CH2-,在不同的反應條件下可分別生成單線態或三線態卡賓。
重氮甲烷也可與醛、酮等反應。
上一反應可以把低一級的羧酸變為高一級的羧酸,這是有機合成中常用的一個反應,稱為阿恩特-艾斯特反應。
易爆性
重氮甲烷受熱、接觸明火、或受到摩擦、震動、撞擊時可發生爆炸。未經稀釋的液體或氣體,在接觸鹼金屬或粗糙的物品表面即能引起爆炸。
重氮甲烷與磨砂玻璃的接口接觸,或加熱至100°C都可能會發生爆炸,使用時必須小心,避免以上材料的使用。
製備
醯胺類分解法
製備方法製取重氮甲烷的方法很多,常用的是由N-亞硝基-N-甲基醯胺類化合物在鹼作用下分解製取。
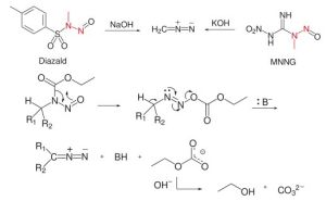
用N-甲基-N-亞硝基對甲苯磺醯胺p-CH3-C6H4-SO2N(NO)CH3,在甲醇中與氫氧化鉀反應製取;但是該方法涉及強致癌的亞硝胺中間體,這些中間體需要自制且不穩定難以保存,並且原料分子量較大,製備重氮甲烷不是很有效。原子利用率較高的製備重氮甲烷的方法是,在相轉移催化劑存在下,強鹼性環境下三氯甲烷與水合肼反應。
三氯甲烷法
方法如下:於250毫升三口瓶中加入15毫升三氯甲烷,8毫升乙醚及10毫升50%氫氧化鈉,並加入苄基三乙基氯化銨(或者其他相轉移催化劑),於50一60℃水浴中回流,在不斷攪拌下滴加85%水合肼10毫升,約半小時加完,繼續回流4小時後,將反應液放冷,靜止,用分液漏斗分去水層,得黃色重氮甲烷乙醚液,存放在冰櫃中可保持兩個月,產率最高可以達到67%。檢驗
重氮甲烷的含量可通過兩種方法獲得:
一是與一定量且過量的苯甲酸在冷乙醚中反應,剩餘的苯甲酸用基準氫氧化鈉滴定;
二是用分光光度法分析重氮甲烷的乙醚溶液,其在410nm處的消光係數為7.2。
毒理學
LD50:380mg/kg(大鼠經口)
LC50:200mg/m3,10分鐘(貓吸入)
重氮甲烷有劇毒,對皮膚、眼睛和黏膜組織有強烈刺激作用,可引起支氣管炎、胸痛、昏迷及暫時性喉頭蓋麻痹和肝腫大。使用和製備時須在良好的通風櫥內進行,此外應避免高溫,以防爆炸。
用途
甲基化試劑
重氮甲烷是一種常用的甲基化試劑,常用於羧酸、醇、酚以及醯胺等官能團的甲基化。另外,該試劑也可用於合成重氮酮或環丙烷類衍生物。
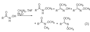
雜原子的甲基化重氮甲烷常用在羧酸類化合物的甲基化反應中,在反應過程中羧酸提供質子使重氮甲烷的亞甲基質子化而形成重氮羧酸酯,然後發生類似SN2的反應而生成羧酸酯(式1)。在該反應中無須加入其它的催化劑如路易斯酸等,因此這種條件下其它的基團如醇、烯鍵等則不會發生改變
2
1重氮甲烷也能使酚羥基甲基化,例如在乙醚和醇溶液中,重氮甲烷能使酪氨酸的酚羥基定量地甲基化(式2)
除此之外,重氮甲烷可以選擇性地甲基化異羥肟酸(式3),當R為脂肪基時,甲基化發生在含氧原子的位置;當R為芳香基時,NH和OH是競爭性的親核位點。在一定的條件下,以烯醇形式存在的醯胺與重氮甲烷反應以形成N,O-二甲基化化合物。
3
4α-重氮酮的合成重氮甲烷與醯鹵試劑作用可生成α-重氮酮。該重氮酮是一種比較重要的有機中間體化合物,可進一步反應生成環狀化合物,或與醛類反應而使碳鏈得到延長等(式4)[6]。重氮甲烷也可以在PPh3-NBS試劑存在下,使羧酸類化合物變為α-重氮酮(式5)
5有機合成
重氮甲烷可與酮發生加成反應(式6),生成擴環產物;也可與不飽和雙鍵化合物發生環加成反應。用價鍵理論和計算模型可以詳細的解釋它與乙烯的1,3-二偶極加成反應的機理。對於一些含有雙鍵的金屬有機化合物,重氮甲烷還可以與之反應構成三元環(式7)
使用注意事項
危險性概述
健康危害:吸入對呼吸道有強烈刺激作用,對中樞神經系統有抑制作用,症狀包括心臟不適、頭痛、身體虛弱、體力不支,嚴重時會致人昏倒。急性中毒出現劇烈刺激性咳嗽、呼吸困難、胸痛。伴有疲乏無力、嘔吐、冷汗、脈快而弱等症狀。嚴重者發生肺炎、肺水腫、休克、昏迷,甚至死亡。
燃爆危險:該品屬爆炸品,可燃,高毒,具強刺激性。
急救措施
吸入:迅速脫離現場至空氣新鮮處。保持呼吸道通暢。如呼吸困難,給輸氧。如呼吸停止,立即進行人工呼吸。就醫。
消防措施
滅火方法:遇大火,消防人員須在有防護掩蔽處操作。
滅火劑:霧狀水、乾粉、二氧化碳、石粉。
泄漏應急處理
應急處理:迅速撤離泄漏污染區人員至上風處,並進行隔離,嚴格限制出入。切斷火源。建議應急處理人員戴自給正壓式呼吸器,穿防靜電工作服。儘可能切斷泄漏源。避免與毛玻璃表面接觸。合理通風,加速擴散。噴霧狀水稀釋。如有可能,將殘餘氣或漏出氣用排風機送至水洗塔或與塔相連的通風櫥內。漏氣容器要妥善處理,修復、檢驗後再用。
操作處置與儲存
操作注意事項:嚴加密閉,提供充分的局部排風和全面通風。操作人員必須經過專門培訓,嚴格遵守操作規程。建議操作人員佩戴自吸過濾式防毒面具(全面罩),穿防靜電工作服,戴橡膠手套。遠離火種、熱源,工作場所嚴禁吸菸。使用防爆型的通風系統和設備。防止氣體泄漏到工作場所空氣中。避免與氧化劑、活性金屬粉末接觸。搬運時要輕裝輕卸,防止包裝及容器損壞。禁止震動、撞擊和摩擦。配備相應品種和數量的消防器材及泄漏應急處理設備。
儲存注意事項:儲存於陰涼、乾燥、通風的專用爆炸品庫房。遠離火種、熱源。庫溫不宜超過30℃。包裝必須密封,切勿受潮。應與氧化劑、活性金屬粉末、食用化學品分開存放,切忌混儲。配備相應品種和數量的消防器材。儲區應備有泄漏應急處理設備。應嚴格執行極毒物品“五雙”管理制度。禁止震動、撞擊和摩擦。

