定義
重心坐標
重心坐標
重心坐標
重心坐標
重心坐標設在平面上給出 .如果點X是這個三角形的頂點帶有質量 和 的質量中心,那么 稱做是點x關於 的重心坐標。
直線上的重心坐標
重心坐標
重心坐標
重心坐標
重心坐標
重心坐標
重心坐標我們首先在一條直線上定義點的重心坐標.設 和 是直線z上的兩個不同點 和 的向徑.那么, 上的任意一點P的向徑 可表示成
重心坐標
重心坐標而且這種表示法是唯一的.當點P線上段 上時,還需要下列條件
重心坐標
重心坐標這時,我們稱 為點P的重心坐標.
重心坐標
重心坐標
重心坐標重心坐標的幾何意義是明顯的: .這裡 和 表示相應線段的長.
平面上的重心坐標
重心坐標
重心坐標
重心坐標
重心坐標
重心坐標設3點 和 構成三角形, 和 分別表示它們的向徑.對三角形所在平面上的任意一點P,可把它的向徑 表示為
重心坐標
重心坐標這種表示方法是唯一的.事實上,設 還可表示成
重心坐標
重心坐標將它與上述向徑 式相減,得到
重心坐標
重心坐標
重心坐標
重心坐標
重心坐標因為與,是線性無關的,所以
重心坐標即
重心坐標
重心坐標
重心坐標稱是點P關於基的重心坐標.
重心坐標
重心坐標如果點P在的內部或邊界上,則除了外,還成立
重心坐標
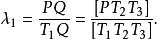
重心坐標重心坐標有下列幾何意義.用[PQR]表示有向的面積(有正負),則
重心坐標
重心坐標
重心坐標為了證明這個結論,我們延長,使之與或其延長線相交於點Q,如圖1所示.根據直線上一點的重心
坐標的定義得知
重心坐標而
重心坐標所以
重心坐標由於重心坐標的唯一性,因此
重心坐標
重心坐標
重心坐標由對稱性,同樣可以得出和的幾何意義。
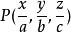
圖1與內心坐標的關係
重心坐標若三角形ABC所在平面中一個點的重心坐標P(x,y,z),定義其內心坐標為,其中a、b、c為A、B、C對邊邊長。內心坐標是用P到三角形ABC三邊距離之比來刻畫P點的位置。三點共線的充要條件是內心坐標組成的三階行列式的值等於0。

