警示語
遠離兒童存放,僅供處方用藥,請豎直放置,用前請搖勻。
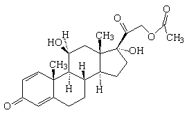
成份
本品主要成份為醋酸潑尼松龍
化學名稱:11β,17a,21-三羥基孕甾-1,4-二烯-3,20-二酮-21-醋酸酯
化學結構式:
醋酸潑尼松龍滴眼液分子式:CHO
分子量:402.49
每毫升含:醋酸潑尼松10mg,苯扎氯銨0.06mg,以及聚山梨酯8O,硼酸,檸檬酸鈉,氯化鈉,乙二胺四醋酸二鈉,羥丙基甲基纖維和純淨水。
性狀
本品為白色均勻的微細混懸液。
適應症
適用於短期治療對類固醇敏感的眼部炎症(排除病毒、真菌和細菌病原體感染)。
規格
5ml:50mg; 10ml:100mg(以醋酸潑尼松龍計)。
用法用量
滴入結膜囊內。一次1~2滴,一日2~4次。治療開始的24至48小時,劑量可酌情加大至每小時2滴。注意不宜過早停藥。
不良反應
可能引起局部刺激。長期使用還可能引起眼內壓升高,導致視神經損害、視野缺損。也可能導致後囊膜下白內障形成,繼發眼部真菌或病毒感染;角膜或鞏膜變薄的患者,使用後可能引起眼球穿孔;另外可能引起傷口癒合延緩。含皮質類固醇的製劑也可能引起眼前段色素膜炎或眼球穿孔。偶有報導眼部套用皮質類固醇引起瞳孔散大、眼睛調節能力降低和上臉下垂。
禁忌
禁用於未行抗感染治療的急性化膿性眼部感染,急性單純皰疹病毒性角膜炎(樹枝狀角膜炎)、牛痘、水痘及其他大多數的角結膜病毒感染,以及對該藥任何成份過敏者。
注意事項
1. 有報導在致角膜變薄的疾病中,眼局部套用皮質類固醇可導致角膜穿孔。已認為多種不同的疾病及長期套用皮質類固醇可引起角膜或鞏膜變薄。在角膜或鞏膜已變薄時,眼局部套用皮質類固醇有可能導致眼球穿孔。
2. 本品無抗菌作用,故存在感染時,需針對致病菌進行適當的抗菌治療。
3. 急性眼部化膿性感染時局部套用類固醇,可掩蓋病或使病情惡化。長期套用可抑制眼部的免疫反應,從而增加眼部繼發感染的可能性。
4. 有單純皰疹病毒性角膜炎病及病史者,須慎用類固醇類藥物,並需經常在裂隙燈下觀察病灶變化。
5. 有報導長期使用類固醇時並發角膜真菌感染,因此使用類固醇後或正在使用時,出現任何難愈的角膜潰瘍,應疑及真菌感染的可能。
6. 眼部使用皮質類固醇,在某些病例可引起眼內壓升高,而眼壓升高可能導致青光眼,而致視神經損害和視野缺損。因此建議使用該藥期間常測眼壓,尤其是對正患青光眼的患者或曾患青光眼的患者。
7. 有報導長期或大劑量眼部使用皮質類固醇藥物,可導致後囊膜下白內障形成。敏感患者可能出現急性眼前段色素膜炎。白內障術後套用類固醇可能使癒合延緩,並可增加濾泡的發生率。如出現過敏反應或其它嚴重反應,立即停用本品。皮質類固醇之間出現交叉過敏。
8. 運動員慎用。
孕婦及哺乳期婦女用藥
對於妊娠患者大劑量及長期眼局部使用類固醇的安全性尚未確立。尚不清楚本品局部套用時吸收到全身的量是否以使其從乳汁中分泌。在哺乳婦女中套用本品應謹慎。應充分考慮套用本品對患者的利和弊。
兒童用藥
兩歲以下兒童套用皮質類固醇的安全性和有效性尚未確立。
老年用藥
老年患者使用無需劑量調整。
藥物相互作用
無。
藥物過量
過量套用皮質類固醇可引起全身性不良反應,但眼局部套用時很少發生全身性高皮質類固醇症。
藥理毒理
藥理作用: 醋酸潑尼松龍是一種糖皮質激素,相同劑量下,其抗炎效力是氫化可的松的3~5倍。糖皮質激素可減輕炎症反應時的組織水腫、纖維沉積,抑制毛細血管擴張和吞噬細胞遊走,也可抑制毛細血管的增生、膠原的沉積及疤痕的形成。
毒理研究: 用醋酸潑尼松龍滴眼液滴兔眼,未見毒性、刺激性,以及任何的不適症狀。臨床驗證結果也如此。
在動物懷孕期間給予皮質類固醇可能引起動物胎仔發育異常,包括上齶裂和宮內發育遲緩。人類胎兒出現此缺陷的可能性很小。
藥代動力學
眼局部滴用本品混懸液後,醋酸潑尼松龍可快速穿透角膜。滴眼後30至45分鐘達房水Tmax。醋酸潑尼松龍在人房水中的半衰期約為30分鐘。
貯藏
貯存於15~25℃,防止冷凍。
包裝
塑膠滴瓶裝無菌眼藥水,1瓶/盒
有效期
24個月。
執行標準
JX20030076

