成份
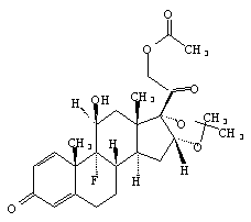
本品主要成分及其化學名:本品主要成分為醋酸氫化可的松。其化學名為:11β,17α,21-三羥基孕甾-4-烯-3,20-二酮-21-醋酸酯。
分子式:CHO分子量:404.50。
作用類別
皮膚科用藥
適應症
用於過敏性、非感染性皮膚病和一些增生性皮膚疾患,如皮炎、濕疹、神經性皮炎、脂溢性皮炎及瘙癢症。
用法用量
局部外用。取適量本品塗於患處,並輕揉片刻。每日2-4次。
不良反應
長期使用可致皮膚萎縮、毛細血管擴張、色素沉著以及繼發感染。偶見過敏反應。
禁忌
禁用於感染性皮膚病如膿皰病、體癬、股癬等。對本品過敏者禁用。
注意事項
1 兒童、孕婦和哺乳期婦女應在醫師指導下使用。
2 不得用於皮膚破潰處。
3 避免接觸眼睛和其他黏膜(如口、鼻等)。
4 用藥部位如有燒灼感、紅腫等情況應停藥,並將局部藥物洗淨,必要時向醫師諮詢。
5 不宜大面積、長期使用;用藥1周后症狀未緩解,請諮詢醫師。
6 對本品過敏者禁用,過敏體質者慎用。
7 本品性狀發生改變時禁止使用。
8.請將此藥品放在兒童不能接觸的地方。
孕婦及哺乳期婦女用藥
孕婦及哺乳期婦女在權衡利弊情況下,儘可能避免長期、大量使用。
兒童用藥
小兒如長期使用腎上腺皮質激素,須十分慎重。
老年用藥
避免長期、大量使用。
藥理作用
本品為糖皮質激素類藥物,外用具有抗炎、抗過敏、止癢及減少滲出作用。
貯藏
密閉,在陰涼處保存。

