選擇吸收效應
假設我們對地球吸收的性質知之甚微,僅僅知道高頻波的衰降程度大大地比低頻波大。我們從已知的事實中所得的這種吸收類型,證明從真實的震波圖觀察到的頻率顯著地低於突然引爆一個裝藥所預期的頻率。若我們試圖利用探音器來聽到從地球傳來的聲音,我們也僅能聽到較低頻的聲音。
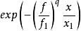
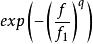
代表剛才描述的這種類型的吸收頻帶的最簡單的樣式,為寫下地球的透射因子(trasmission factor),如:
選擇吸收其中f為頻率,f為常量的參考頻率,x為一常數,x為波在地球中運行的距離,q為確定吸收波段的邊緣的陡峭程度的一個參數。可以說,確定x後,當距離x=x,f為頻率,則相應的振幅就下降一個因子1/e,其中e為自然對數的底。在下圖描出了以下函式:
選擇吸收為代表的各種q值的一族曲線。於是,這些曲線代表了可能的吸收頻帶以代表地球的吸收頻譜。則我們可以注意到:當q值增加時,波段或頻帶的邊緣的陡峭度增加。q無限制地增加,則所有波段的頻率低於f的都自由地傳輸出去,而高於f的則完全被吸收。
光的選擇吸收
光的選擇和吸收可以套用於許多領域,比如可以利用光的選擇吸收作用製成冷、暖房和熱水供應系統等的太陽能裝置。理想的太陽能吸收器的表面應滿足如下要求:可見光吸收效率高而紅外線輻射作用小,製品經久耐用。有效吸收太陽能的關鍵問題是,應在可見光全部波長區域內,都能保持高吸收率,而且紅外線輻射要少,使所吸收能量的放出量最低。
選擇吸收太陽能吸收器的表面處理工藝,包括鍍黑鎳、黑鉻、鋼鐵黑色氧化處理及鉻酸鹽黑鈍化等。上表列出各種黑色膜層對太陽能的吸收特性。鍍鎳鋼板上的黑鎳鍍層,具有良好的太陽能選擇吸收特性,但經短時間的腐蝕試驗後,鍍膜的光吸收特性逐漸減弱。黑鎳鍍層一般多含有硫化物、氧化物或鋅等金屬鹽類,添加這些雜質可使黑鎳鍍層結晶顆粒細化,但耐蝕性往往達不到要求。與此相反,鍍鎳鋼板上的黑鉻鍍層的吸收能力極好(吸收率0.95,放射率0.09),在90℃下它要比黑色塗層高出30%左右。按MIL-STD-810B標準進行潮濕試驗表明,其最長暴露時間可達192h。此外,也有採用鋁的黑色氧化處理、銅的黑色化學處理等方法來獲得適宜的鍍層。
太陽光譜選擇吸收塗料
又稱太陽能選擇吸收塗料。是能將太陽能轉換成熱能又不以熱輻射形式發射出去的一種光熱轉換功能塗料。理想的光譜選擇吸收塗料應在太陽光譜區(波長<2μm)有高吸收率a,而在遠紅外區(波長>2μm)輻射率ε極低,即a/ε很大,吸熱保溫效果好,可達到充分利用太陽能的目的。由基料、顏料、助劑等組成。基料選擇要求a高,ε小,在集熱溫度範圍內穩定,對基底附著力強,耐大氣穩定性好。常用基料有丙烯酸及有機矽樹脂等。顏料是決定a/ε值的關鍵因素,常用有硫化鉛及鐵錳銅氧化物(FeMnCuO)等,a/ε值可達2以上。通過調節顏料濃度、細度、塗層厚度及底材的性質和光潔度均能影響a/ε值的變化。
選擇吸收膜
400~800K的物體的熱放射頻譜在2~20μm之間。理想的太陽能收集器能將0.3~2μm波長範圍內的太陽能全部吸收(反射率R=0),而又完全不輻射出2~20μm的紅外線(R=1)。若使用象這樣以2μm為臨界波長的選擇吸收膜,則太陽能的集熱效率將大為提高。
在研磨過的銅基板上,於0.5托Ar氣中所製成的Cr超細粉末膜,當總體厚度σ=20μg/cm ,溫度為300K時,對太陽光的吸收率a=80%,輻射率e=5%。當σ增大時,a和e也增大。如將這種膜在小於10 托真空中進行500℃加熱處理,則可在200℃以下穩定地工作。
從上述二例中可知,全波長膜和有特定波長限制的膜,兩者均可利用超細粉末膜來實現。

