公式簡介
轉角位移法
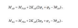
轉角位移法例如,對於AB桿,A端和B端的力矩和分別為:
轉角位移法
轉角位移法
轉角位移法
轉角位移法
轉角位移法
轉角位移法
轉角位移法式中、分別為AB桿在A端和B端的固端力矩;為桿的剛度係數;、分別為A端和B端的未知轉角;為A端和B端的相對線位移造成的桿的轉角。上式稱為轉角位移方程。將每一桿件的轉角位移方程代入節點(桿件的連線點)的力矩平衡關係式,就可建立包括各節點未知轉角和未知線位移的代數方程組,而且該方程組中的未知量的數目同方程的數目相等,從而使問題可解。求出各節點的轉角和線位移後,再利用轉角位移方程,就可氺出各桿端力矩並進而求出各桿的內力 。
