概念介紹
輻射校正 :消除圖像數據中依附在輻射亮度中的各種失真的過程。處理站拿到接收站送來的原始數據(raw data),讀入圖像處理系統後,先進行數據分解,分別建立原始遙感圖像數據檔案和遙測輔助信息數據檔案; 然後根據從輻射傳輸方程推導出的遙感圖像輻射誤差校正模型,在圖像處理系統軟硬體的支持下,進行系統輻射校正。
誤差原因
輻射誤差:利用感測器觀測目標的反射或輻射能量時,所得到的測量值與目標的光譜反射率或光譜輻射亮度等物理量之間的差值叫做輻射誤差。
輻射誤差造成了遙感圖像的失真,影響遙感圖像的判讀和解譯,因此,必須進行消除或減弱。
需要指出的是,導致遙感圖像輻射量失真的因素很多,除了由遙感器靈敏度特性引起的畸變之外,還有視場角、太陽角、地形起伏以及大氣吸收、散射等的強烈影響。
遙感圖像輻射校正主要包括三個方面 :
(1)感測器的靈敏度特性引起的輻射誤差,如光學鏡頭的非均勻性引起的邊緣減光現象、光電變換系統的靈敏度特性引起的輻射畸變等;
(2)光照條件差異引起的輻射誤差,如太陽高度角的不同引起的輻射畸變校正、地面傾斜、起伏引起的輻射畸變校正等;
(3)大氣散射和吸收引起的輻射誤差改正。
總的說來,輻射誤差產生的原因可以分為2種: 感測器回響特性和外界自然條件(包括太陽輻射情況和大氣傳輸情況等)。
校正目的
1、儘可能消除因感測器自身條件、薄霧等大氣條件、太陽位置和角度條件及某些不可避免的噪聲等引起的感測器的測量值與目標的光譜反射率或光譜輻射亮度等物理量之間的差異 ;
2、儘可能恢復圖像的本來面目,為遙感圖像的識別、分類、解譯等後續工作奠定基礎。
感測器影響
光學鏡頭的非均勻性引起的邊緣減光現象的糾正 。
邊緣減光是指在使用透鏡的光學系統中,由於透鏡光學特性的非均勻性,使在其成像平面上存在邊緣比中間暗的現象 。
糾正方法為: EP=E0COS4θ
E0:以平行於主光軸的方向通過透鏡到達像平面O點的光強度;
EP:以與主光軸成θ角的方向通過鏡頭到達像平面P點的光強度。
目前套用最廣泛的遙感衛星圖像為Landsat TM、ETM及SPOT等,它們均採用光電變換系統來替代傳統相機的透鏡光學系統攝像,不存在邊緣減光現象,故一般不需要採取COS4θ校正處理。
而光電變換系統的靈敏度特性一般都有很高的重複性和穩定性,可定期在地面測定其可能發生的變化,並把測量值收集到遙測輔助信息數據檔案中。
大氣影響
傳遞方程
輻射校正上式中E為感測器接收到的電磁波能量,E0為地物的輻射能量 ,
測量大氣參數,按理論公式求得大氣干擾輻射量;
輻射校正為大氣的衰減係數,計算複雜。
在可見光和近紅外區影響大氣衰減的主要因素是氣溶膠的散射作用,在熱紅外區則主要是大氣中的水蒸氣。
為了進行大氣輻射校正,必須知道大氣中的氣溶膠特性、密度和水蒸氣濃度,但是要取得這些數據,目前還很因難,因此,此方法套用較少。
近幾年發射的衛星已考慮到這個問題,在遙感平台上搭載一套測量大氣參數的裝置。
地面實況數據
通過將野外實地波譜測試獲得的無大氣影響的輻射值與衛星感測器同步觀測結果進行分析計算,來確定校正量 ;
事先測定若干地物反射率並建立標誌,以此數據與圖像數據對比來消除大氣影響; 常選用同類儀器測量,將地面測量結果與衛星影像對應像元亮度值進行回歸分析,計算輻射校正值。 但遙感是動態過程,在地面特定地區、特定條件和一定時間內測量的地物反射率數據,並不具有普遍性,所以此法代價很大而適用範圍有限,一般也很少採用。
波段對比法
在特殊條件下,利用某些不受大氣影響或影響很小的波段來校正其它波段 。
由於大氣散射主要發生在短波段圖像(可見光遙感中的以藍、綠波段最甚),隨波長增長,散射作用逐漸減弱,因此可以把紅外圖像當作無散射影響的標準圖像,將其它波段的圖像與之比較,其差值是需校正的散射輻射值。 具體的校正方式有2種:回歸分析法和直方圖法。
(1)回歸分析法
以紅外波段圖像如TM7作為無散射影響的標準圖像,在待進行大氣散射校正的可見光波段圖像上(如TM1/TM2/TM3),找出最黑的影像(如高山陰影或其他暗黑色地物目標); 然後把對應的TM7圖像上的同一地物目標找出來,再把可見光與紅外圖像的灰度值數據取出進行比較分析。
(2)直方圖法
直方圖法當圖像上有潔淨且有一定深度和面積的水體或深暗地形陰影時,其直接反射能量應為0或接近於0。但因受大氣影響,可見光各波段圖像直方圖的低端灰度值不為0,而是使直方圖產生漂移值a 。波長越短,散射作用越強,a值越大。
太陽輻射影響
度角影響
1.公式法 :
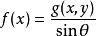
太陽高度角的校正是通過調整一幅圖像內的平均灰度來實現,太陽高度角θ斜射時得到的圖像g(x,y)與直射時得到的圖像f(x,y)有如下關係:
輻射校正如果不考慮天空光的影響,各波段圖像可以採用相同的太陽高度角進行校正。對於太陽方位角引起的誤差可以按相似的方式進行處理。
2.波段比值法
太陽高度角在圖像上還會產生陰影,一般情況下圖像上的陰影是難以消除的,但在多光譜圖像上,地物陰影區的灰度值,可以認為是無陰影時的影像灰度值再加上對各波段影響相同的陰影灰度值。 比值運算:又叫圖像相除,用同步獲得的相同地區的任意2個波段對應像元的灰度值之比或幾個波段組合的對應像元灰度值之比得到。在比值圖像上陰影的影響基本消除,有助於提高遙感圖像定量分析與識別分類精度。
利用比值處理,可以擴大不同地物間的光譜差異,區分在單波段中容易發生混淆的地物,同時可以消除或減弱地形陰影、雲的影響和植被干擾等。
例如有些地物在單波段圖像內的亮度差異極小,用常規方法難以區分它們。像水和沙灘,在第四波段和第七波段的亮度非常接近,容易混淆。但如果把兩波段圖像相除,其比值的差異極大,就很容易將它們區分開。
另外,太陽方位角的變化也會改變光照條件,還隨季節、地理緯度的變化而變化,不過太陽方位角引起的圖像輻射誤差通常只對圖像細部特徵產生影響,可以採用與太陽高度角校正類似的方法進行處理。
地形影響
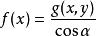
地形起伏引起的誤差校正如果太陽光垂直入射到水平地表時收到的光照強度為I0,那么光線垂直入射到傾角為α的坡面上時,其入射點處的光強度I為 :
輻射校正若處在坡度為的傾斜面上的地物目標影像為g(x,y),則校正後圖像f(x,y)為:
輻射校正因此,因地形起伏引起的輻射校正需要知道各坡面的傾角,還要有該區域的DEM數據,目前不易實施,一般情況下不對其做校正,在需要時可採用比值圖像來校正。
其它輻射誤差
條紋和斑點誤差校正
常用的方法有:平均值法、直方圖法、在垂直掃描線方向上採用最近鄰點法或三次卷積法。(起平滑作用)

