簡介
軸角示意圖軸角的英文名有:axial angle;optic(-axial) angle
晶體中結晶軸之間的夾角。一般以α、β、γ表示。
晶體中3個結晶軸(三方或六方晶系晶體當選用4個結晶軸時,其d軸不包括在內)彼此間的交角 。用α、β、γ表示,它們依次對應於b軸與c軸、c軸與a軸、a軸與b軸各自正端間的夾角。根據對稱特點,只有單斜晶系晶體的β角及三斜晶系晶體的全部3個軸角隨晶體的不同而異,是晶體的特徵性常數;其他各晶系晶體的軸角及單斜晶系晶體的α和γ均為確定的特殊角
有時也叫做 鏇轉向量表示,因為這兩個參數(軸和角)可用在這個軸上的其模是鏇轉角的一個向量來表示。
例子
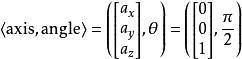
軸角假如你站在地面上,選取重力的方向為負 z 方向。如果你左轉,你將繞 z 軸鏇轉 弧度 (或 90 度)。在軸角表示中,這將是
軸角
軸角這可以表示為指示 z 方向的模為 的鏇轉向量。
軸角與其他表示的聯繫
表示鏇轉 有很多方式。理解它們相互之間的區別和如何轉換是重要的。
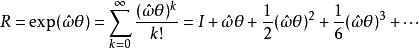
指數映射
從鏇轉的軸角表示到鏇轉矩陣的變換使用指數映射。
軸角
軸角
軸角本質上說,通過使用泰勒展開,你可以得出在這兩種表示之間的閉合形式的關係。給出一個軸和角,等價的鏇轉矩陣給出為:
軸角
軸角
軸角這裡的 R 是 3x3鏇轉矩陣而 帽運算元給出與叉積被乘數對應的反對稱矩陣算符。
對數映射
要獲得鏇轉矩陣的軸角表示,計算鏇轉的角
軸角並接著使用它來找到軸
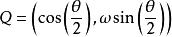
軸角四元數
要從軸角坐標變換到四元數使用下列表達式:
軸角給出一個單位四元數,提取軸角坐標可以使用下列表達式:
軸角
軸角
