簡介
開口系統與外界間所傳遞的功由兩部分組成:開口系統和外界間通過進、出界面以外的邊界(一般為機器軸)所傳遞的功,稱為軸功,以δW表示;在進、出口截面上為推動工質進、出系統所傳遞的功,稱為推動功。
開口系統軸功計算
在穩定流動的情況下,開口系統和外界間傳遞的軸功保持穩定,不隨時間而變。根據穩定流動能量方程式,可以得到軸功與其他形式能量之間的關係式為:
軸功
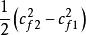
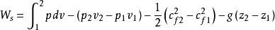
軸功在穩定流動過程中,用於轉換為機械能的熱能q−(u−u)是先通過工質容積膨脹而以容積變化功的形式轉換為機械能的。如果工質的狀態變化過程可以看做是無耗散的準靜態過程,即有
因此,穩定流動過程中工質狀態變化為可逆過程時軸功的表達式:
軸功
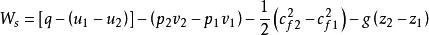
軸功
軸功
軸功這說明:穩定流動過程中開口系統所做的軸功,是工質受熱而得到的相當於容積變化功的機械能,在扣除了推動工質流動的淨推動功以及增加流動動能、重力位能之後通過外界輸出的功。式中,、和三項是工程上直接可以利用的機械能,稱為技術功或工程功。

