概念
物質的磁性來源於原子的磁性,研究原子磁性是研究物質磁性的基礎。原子的磁性來源於原子中電子以及原子核的磁矩。原子核磁矩很小,在我們考慮的問題中可以忽略。電子磁矩包括軌道磁矩和自旋磁矩,是原子的磁矩。
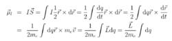
軌道磁矩的全稱是電子軌道磁矩,是指由電子繞核的運動所產生的磁矩。電子軌道運動產生的磁矩與動量矩在數值上成正比,方向相反。
計算
電子作軌道運動,產生軌道角動量:
軌道磁矩其軌道運動形成軌道磁矩:
軌道磁矩上次表明軌道磁矩正比於軌道角動量,在同一條直線上,方向相反。
磁性
能夠吸引鐵、鈷、鎳等物質的性質叫做磁性。
說明:
①把鐵釘、大頭針等鐵制的物品靠近條形磁鐵和蹄形磁鐵,由我們感受到磁鐵對鐵制物品的吸引可知:某些物體能吸引鐵制的物品,就具有磁性。具有磁性的物體除了具有吸鐵性的特點外,還有指向性;具有磁性的物體之間可能產生吸引力,也可能產生排斥力。
②磁體和鐵製品之間放了另一個物體後,它們之間還有吸引力.這說明不相互接觸,磁性所產生的磁力也有作用。
③磁性起源於電流或物體內部電荷(電子、原子核)的運動。
理解與套用
例 有兩根外形完全相同的鋼棒,已知其中一根有磁性,另一根沒有磁性,如何鑑別出有磁性的一根?
解析: 方法一:吸鐵性.觀察它們能否吸引鐵、鈷、鎳等物質,能吸引的說明它有磁性,不能吸引的就沒有磁性。
方法二:指向性.分別將兩根鋼棒用線水平懸掛起來,使它能在水平面自由轉動,靜止時總是指向南北的一根有磁性。
方法三:找一個具有磁性的物體,分別將兩根鋼棒的兩端靠近這個具有磁性的物體,只產生吸引力的一根是鋼棒;既產生吸引力,又產生排斥力的一根有磁性。
方法四:將兩根鋼棒放成T字形,若它們相互吸引,則上面一根是鋼棒,下面一根有磁性;若它們相互不吸引,則上面一根有磁性,下面一根是鋼棒。
注意
第三、四種方法是運用磁性物體的特點,也就是後面所說的磁極間的相互作用規律和磁極的磁性最強。
磁矩
描述載流線圈磁性質及微觀粒子物理性質的物理量。載有電流I、面積為S的平面線圈的磁矩m定義為
軌道磁矩式中,n為沿平面線圈法線方向的單位矢量,其指向與電流I環繞方向間成右螺旋關係,磁矩為m的載流小線圈在磁感應強度為B的磁場中受到的磁力F、磁力矩L分別為:
軌道磁矩磁矩為m的載流小線圈所產生的磁場的磁感應強度B在遠處可表示為:
軌道磁矩式中r為磁矩到場點的位矢;μ為真空中的磁導率。
通常講磁矩都是指上面定義的磁偶極矩,此外尚有磁多極矩,其極次以2 (l=1,2,…)表示。l=1時,即為上述磁偶極矩;l=2時,即為磁四極矩等。磁多極矩概念用於電磁輻射理論中。
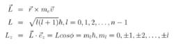
近代物理理論和實驗研究表明,電子有磁矩,原子和原子核一般也有磁矩。原子中電子繞核的軌道運動相當於一個環形電流,相應地有軌道磁矩μe;電子本身還具有自旋運動,相應地具有自旋磁矩μs,原子磁矩則等於原子核磁矩和原子中各電子磁矩的總和,但原子核磁矩很小,要比電子磁矩小三個數量級,因此可以認為原子磁矩等於原子中各電子軌道磁矩和自旋磁矩的)量和。無論是電子軌道磁矩、自旋磁矩,還是原子磁矩都是量子化的。不僅如此,它們沿空間任一方向Z (例如外磁場方向)的投影也都是量子化的。
近代物理理論和實驗還證明,質子、中子和其他微觀粒子也都有磁矩。熟悉微觀粒子磁矩在研究粒子、原子核、原子和分子物理學,以及光譜、磁共振等近代實驗技術方面都有著重要意義。
通常說的條形磁鐵的磁矩等於磁鐵兩磁極間的距離和一個磁極強度的乘積。它也是一個矢量,方向規定為沿著兩磁極的連線,自南極指向北極。
動量矩
動力學普遍定理之一,它給出質點系的動量矩與質點系受機械作用的衝量矩之間的關係。動量矩定理有微分形式和積分形式兩種。
描述物體轉動狀態的量,又稱角動量。一個質量為m、速度為v、矢徑為r的質點對r的原點的動量矩為L=r×mv。動量矩是個矢量,它在某一軸上的投影就是對該軸的動量矩。對軸的動量矩是個標量。質點系或剛體對某點(或某軸)的動量矩等於其中所有質點的動量對該點(或該軸)之矩的矢量和(或代數和)。常用的動量矩單位有gcm²/s、kgm²/s等。
軌道磁矩平動的剛體,由於它的各點的速度都相同(見剛體的平動),所以它對某點的動量矩等於剛體質心以該點為原點的矢徑與剛體動量的矢量積。一個作半徑r的勻速圓周運動的質點繞圓心O轉動的角速度為),則質點對O的動量矩即質點的角動量為:,其中I 為質點對圓心的轉動慣量。繞定軸轉動的剛體對定軸的動量矩即剛體的角動量,其中I為剛體對該軸的轉動慣量,為剛體繞該軸轉動的角速度。
繞定軸轉動的剛體,其角動量變化率等於作用在剛體上所有外力對該軸之矩的代數和(見剛體動力學)。若剛體不受外力矩作用,它的角動量不變(見動量矩守恆)。
