介紹
原子磁矩(atomic magnetic moment)
原子內部各種磁矩總和的有效部分。一個原子的總磁矩,是其內部所有電子的軌道磁矩、自鏇磁矩和核磁矩的矢量和。原子核具有磁矩,但核磁矩很小,通常可忽略,原子磁矩則為電子軌道磁矩與自鏇磁矩的總和的有效部分 。
一般地原子磁矩μ與原子的總角動量P有簡單的關係,大小為μ=g(e/2m)P,方向相反,式中e/m是電子的荷質比,g稱為朗德g因子,它可以根據原子中的耦合類型計算出來,是表征原子磁性質的量。原子磁矩在塞曼效應中起重要作用。
磁矩定義
描述載流線圈磁性質及微觀粒子物理性質的物理量。載有電流I、面積為S的平面線圈的磁矩m定義為:
m=I×S×n;
式中,n為沿平面線圈法線方向的單位矢量,其指向與電流I環繞方向間成右螺鏇關係,磁矩為m的載流小線圈在磁感應強度為B的磁場中受到的磁力F、磁力矩L分別為:F=(m×grad)×BL=MB
磁矩的單位為A·m 。電子磁矩的通用單位是 玻爾磁子(μ=9.274×10 A·m )。原子核、質 子和中子磁矩的類似單位是核磁子(相當於5.051 ×10 A·m )。
電子磁矩
原子磁矩來源於兩部分,電子圍繞核的軌道運動和電子的自鏇。
從原子結構的簡單模型出發,電子以角速度ω、半徑為r作圓軌道運動時,它所產生的電流為-eω/2π。其中e為電子的電荷,若電流i閉合迴路的截面積為S,那么從電磁理論可以得出,這時的磁矩為μiS(單位為Wb·m)。
原子磁矩因此由單個電子的圓周運動所產生的軌道磁矩為:。其中e為電子電荷,ω為角速度。μ為真空磁導率
原子磁矩
原子磁矩
原子磁矩
原子磁矩
原子磁矩
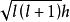
原子磁矩圓周運動的角動量為p=mωr·r,其中m是電子的質量。因此, 軌道磁矩可改寫成M=實際上, 電子圍繞原子核的運動是一量子效應, 按照量子力學, 角動量p= ,這裡l是軌道量子數,ћ為Planck常數被2π除。這樣軌道磁矩M==,為Bohr磁子。
原子磁矩
原子磁矩若原子中有多個電子,則總的軌道角動量等於各個電子軌道角動量的矢量和,即總軌道角動量等於P=∑p,其數值為p=。這裡L是總軌道角量子數,是l值的一定的組合。這樣具有多個電子的原子的軌道磁矩為M=。除了軌道磁矩外,自鏇的電子也具有自鏇磁矩。
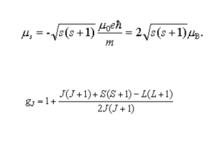
原子磁矩這些公式中,g——朗德因子(lande splitting factor);J——原子總角量子數;L——原子總軌道角量子數;S——原子總自鏇量子數。
原子磁矩
原子磁矩若一個原子有多個電子,則總的自鏇量子數也是各個電子自鏇量子數的組合,總自鏇角動量Ps=,總自鏇磁矩μ=。上面討論了電子的軌道磁矩和自鏇磁矩,對於大多數磁性原子,其原子的總磁矩可以通過LS耦合給出,即如上所述,原子中各電子的軌道角動量和自鏇角動量各自分別合成總的軌道和自鏇角動量,然後兩者再合成原子的總角動量J=L+S。由於原子總磁矩M在磁場中的取向也是量子化的,所以M在外磁場方向上的分量M=gmμ
m有(2J+1)個可能取值,當m取最大值J時,就得到原子總磁矩在磁場方向上的最大分量,M=gJμ.這裡g是Lande因子。上述LS耦合也稱Russell-Saunders耦合,除了LS耦合外,尚有jj耦合。此時,各電子的軌道角動量和自鏇角動量先合成電子的總角動量j,然後各電子的總角量j再合成原子的總角動量。jj耦合適用於原子序數大於Z=82的原子。

