自旋軌道相互作用
正文
電子自旋-內部結構模型圖 1925年G.E.烏倫貝克和S.A.古茲密特為解釋光譜線的雙線現象,引入了自旋和自旋磁矩的假設;1926年L.H.托馬斯利用電子自旋磁矩與軌道磁場的作用進行計算,解釋了氫和鹼金屬原子能級的分裂;1928年P.A.M.狄喇克提出符合狹義相對論要求的電子運動的量子力學方程,即狄喇克方程,成功地得出了電子的自旋和磁矩;在有心力場中,電子的狄喇克方程可用於氫原子而直接得到能級的雙重分裂,和托馬斯的結果完全一致,可見電子自旋運動是電子運動的相對論性效應。
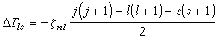
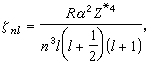
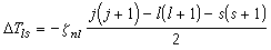
電子自旋對軌道磁場有兩個取向,導致了能級的雙重分裂,這就是鹼金屬原子能級雙重結構的由來(見鹼金屬原子光譜)。由計算得知,鹼金屬原子能級雙重結構的間距(以波數計)為

為 
為有效核電荷數,α是精細結構常數,n和l是主量子數和電子的軌道角動量量子數,R是相應的里德伯常數。
稱為單個電子的分裂因子。可以看出,一個原子的雙重能級的間距取決於主量子數和軌道角動量量子數。 多個價電子原子(包括兩個價電子的原子)的自旋軌道相互作用見LS 耦合和jj 耦合。
參考書目
褚聖麟編:《原子物理學》,人民教育出版社,北京,1979。

