概念
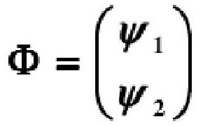
通常情況下,波函式的形式為:
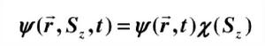
自旋波函式這是因為,通常自旋和軌道運動之間是有相互作用的,所以電子的自旋狀態對軌道運動有影響。但是,當這種相互作用很小時,可以將其忽略 ,則φ,φ對(x,y,z)的依賴一樣,即函式形式是相同的,此時φ可以寫成如下形式:
自旋波函式其中:
自旋波函式是:
自旋波函式的本徵函式,稱為自旋波函式。
量子力學
量子力學是研究微觀粒子運動規律的理論,是現代物理學的理論基礎之一。量子力學是在本世紀20年代中期建立起來的。19世紀末,人們發現大量的物理實驗事實不能再用經典物理學中能量是完全連續性的理論來解釋。1900年,德國物理學家普朗克提出了能量子假說,用量子化即能量具有的不連續性,解釋了黑體輻射能量分布問題。1905年,愛因斯坦在此基礎上提出了光量子假說,第一次揭示出光具有波粒二象性,成功地解釋了光電效應問題。1906年,愛因斯坦又用量子理論解決了低溫固體比熱問題。接著,丹麥物理學家玻爾提出了解釋原子光譜線的原子結構的量子論,並經德國物理學家索末菲等人所修正和推廣。1924年,德國物理學家德布羅意在愛因斯坦光量子假說啟示下,提出了物質波假說,指出一切實物粒子也同光一樣都具有波粒二象性。1925年,德國物理學家海森堡和玻恩、約爾丹以矩陣的數學形式描述微觀粒子的運動規律,建立了矩陣力學。接著,奧地利物理學家薛丁格以波動方程的形式描述微觀粒子的運動規律,建立了波動力學。不久,薛丁格證明,這兩種力學完全等效,這就是今天的量子力學。量子力學用波函式描寫微觀粒子的運動狀態,以薛丁格方程確定波函式的變化規律。套用量子力學的方法解決原子分子範圍內的問題時,得出了與實驗相符的結果;量子力學用於巨觀物體或質量、能量相當大的粒子時,也能得出與經典力學一樣的結論。因此,量子力學的建立大大促進了原子物理、固體物理和原子核物理學的發展,並推動了半導體、雷射和超導等新技術的套用。它標誌著人類認識已從巨觀領域深入到微觀領域。量子力學為哲學研究的發展開闢了新的領域,它向人們提出了一系列新的哲學課題,諸如微觀客體的存在特徵、微觀世界是否存在因果關係、主客體在原則上是否不可分、主客體之間的互補問題等等。深入和正確地回答這些問題,無疑將會推動馬克思主義哲學的深入發展。
自旋
古典意義中的自轉,是物體對於其質心的旋轉,比如地球每日的自轉是順著一個通過地心的極軸所作的轉動。在量子力學中,自旋是粒子所具有的內稟角動量引起的。
雖然有時會與古典力學中的自轉相類比,但實際上本質是迥異的。自旋的發現,首先出現在鹼金屬元素的發射光譜課題中。
首先對基本粒子提出自轉與相應角動量概念的是1925年由 Ralph Kronig 、George Uhlenbeck 與 Samuel Goudsmit 三人所為。然而爾後在量子力學中,透過理論以及實驗驗證發現基本粒子可視為是不可分割的點粒子,是故物體自轉無法直接套用到自旋角動量上來,因此僅能將自旋視為一種內在性質,為粒子與生俱來帶有的一種角動量,並且其量值是量子化的,無法被改變(但自旋角動量的指向可以透過操作來改變)。
自旋對原子尺度的系統格外重要,諸如單一原子、質子、電子甚至是光子,都帶有正半奇數(1/2、3/2等等)或非負整數(0、1、2)的自旋;半整數自旋的粒子被稱為費米子(如電子),整數的則稱為玻色子(如光子)。複合粒子也帶有自旋,其由組成粒子(可能是基本粒子)之自旋透過加法所得;例如質子的自旋可以從夸克和膠子的自旋得到。
人造衛星自旋自旋角動量是系統的一個可觀測量,它在空間中的三個分量和軌道角動量一樣滿足相同的對易關係。每個粒子都具有特有的自旋。粒子自旋角動量遵從角動量的普遍規律,p=[J(J+1)]0.5h,為自旋角動量量子數,J = 0,1 / 2 , 1,3/2,……。
自旋為半奇數的粒子稱為費米子,服從費米 -狄拉克統計;自旋為0或正整數的粒子稱為玻色子,服從玻色-愛因斯坦統計。複合粒子的自旋是其內部各組成部分之間相對軌道角動量和各組成部分自旋的向量和,即按量子力學中角動量相加法則求和。已發現的粒子中,自旋為整數的,最大自旋為4;自旋為半奇數的,最大自旋為3/2。
自旋是微觀粒子的一種性質。自旋為0的粒子從各個方向看都一樣,就像一個點。自旋為1的粒子在旋轉360度後看起來一樣。自旋為2的粒子旋轉180度,自旋為1/2的粒子必須旋轉2圈才會一樣。 自旋為1/2的粒子組成宇宙的一切,而自旋為0,1,2的粒子產生物質體之間的力。自旋為半整數的費米子都服從泡利不相容原理,而玻色子都不遵從泡利原理。
波函式
波函式是量子力學描寫微觀系統狀態 (又稱量子態或態) 的函式。是量子力學基本原理之一,也是量子力學中最基本最重要的量。在經典力學中,用質點的位置和動量(或速度) 來描寫巨觀質點的運動狀態,當坐標和動量確定之後,質點的其他力學量,如能量等也就隨之確定了。量子力學中描寫狀態的方式則不同。由於微觀粒子有波粒二象性,粒子的位置和動量不能同時有確定值,因而質點運動狀態的經典描述方式不再適用,代之以波函式來描寫微觀系統的狀態。波函式的物理意義和基本性質歸納起來是: (1) 如果不考慮粒子的自旋,波函式是坐標r和時間t的複函數,用符號ψ(r,t)表示。就坐標變數而言,獨立變數的數目等於微觀系統自由度數。例如,對於單粒子系統,獨立變數數目為3; 對於N個粒子系統,獨立變數數為3N。考慮微觀粒子的自旋後描寫狀態的波函式除了有位置和時間變數外,還應有自旋變數sz,這時波函式應表為ψ(r,s2,t)。(2) 對波函式的物理意義,玻恩首先提出了與實驗相符的統計解釋: 波函式模的平方給出粒子在空間一點出現的機率。因此波函式所表示的波和機械波、電磁波不同,它不是某種振動的傳播,而是代表一種機率分布。所以這種波也常被稱之為機率波。如單粒子系統處於由波函式ψ(r,t)所描寫的狀態,則|ψ(r,t)|2dr代表時刻t、空間r點附近dV體積內找到粒子的機率。如果描寫微觀系統狀態的波函式已知,則系統在該狀態下的各種力學量如坐標r、動量P、角動量L等的平均值或取值的機率可由波函式得出。就是說通過波函式可以得到系統相應狀態下的一切物理性質。顯然系統的狀態不同則相應的波函式也不同。(3) 波函式隨時間變化所遵從的規律是薛丁格方程。處於具體條件下的微觀系統的波函式,可由相應的薛丁格方程解出。(4)波函式ψ(r,t)不單要滿足薛丁格方程,還必須滿足以下條件: 波函式在變數變化的全部區域內必須滿足連續、單值、有限條件和歸一化條件: *(r,t)ψ(r,t)=1,這些條件稱為波函式的標準條件。
