簡介
車頭時距【time headway】指的是在同一車道上行駛的車輛佇列中,兩連續車輛車頭端部通過某一斷面的時間間隔。一般用ht表示 單位s/Veh。平均車頭時距可以有以下計算方式:
平均車頭時距=平均車頭間距/平均車速
一般,為了安全,最短車頭時距取2s左右的行程,即:極限車頭間距 = 最短車頭時距 * 速度。
在實際道路交通中,不同駕駛員保持的車頭時距會有顯著差別,同一個駕駛員保持的車頭時距也會隨著個人狀態和環境影響而發生變化。
由於實際情況不同,駕駛員的跟馳行為可以分成兩種狀態,第一種為強跟馳狀態,第二種為弱跟馳狀態。
在強跟馳狀態下,駕駛員緊緊跟隨前車,與之保持著較短的車頭時距,根據前車的速度變化不斷調整自己的駕駛行為。此時,駕駛員需要投入更多的注意力到前車的速度變化上,腦力負荷相對較高,將此時的車頭時距稱為最短車頭時距(Minimum Time Headway,MTH)。
對於弱跟馳狀態,駕駛員並不緊緊跟隨前車,而是在最短車頭時距的基礎上增加一定心理裕量(Psychological Margin,PM),為自己預留更加充足的時間來應對前車速度的變化,因此前車微小的速度變化並不會影響後車的駕駛行為。此時,駕駛員不必投入過多的注意力來應對前車駕駛行為的改變,腦力負荷相對較低,將此時的車頭時距稱為舒適車頭時距(comfortable Time Headway,CTH) 。
作用及對比
車頭間距車頭時距與交通流組成、駕駛行為密切相關,是反映道路通行能力和服務水平的重要依據,對於最佳化道路設計和管理具有重要意義 。
車頭間距和車頭時距是表述同一概念的不同量度單位,描述交通流中前後相鄰兩車之間的距離和兩車通過某一點的時間差。 車頭間距從微觀角度看只與交通流中獨立的一對車有關。 車流密度和速度影響車頭間距的分布,在三大參數關係的研究中已得到驗證,尤其在中高密狀態,速度對密度的改變相當敏感,而速度對於確定車頭間距至關重要。 因此,車頭間距這個微觀參量是與巨觀交通流三大參數密切相關的。
在混合車流條件下,車頭間距的分布與車型密切相關。這主要體現方面在車身尺寸與車的動力特性的差異兩方面。 尤其是在跟隨狀態下,由於前後車型組合的序列不同,所要求的最大縱向間距在理論計算中就存在差異,在實際的車流運動中這種差異將更加突出 。
車頭時距分布模型
車頭時距分布是交通流理論研究的一個重要內容,它是通行能力分析、間隙接受問題研究、交叉口交通控制以及交通模擬的基礎。隨著道路交通負荷的增加,為了描述相應的規律,有負指數分布、移位的負指數分布、M3分布等模型。
(1)負指數分布
用H表示車頭時距,則H為隨機變數:當H的分布密度為:
車頭時距其中T為平均車頭時距,則車頭時距服從負指數分布。由上式可得其分布為:
車頭時距其意義是車頭時距H小於t的機率。實際套用中,工程人員往往關心的是車頭時距H大於等於t的機率:
車頭時距負指數分布廣泛地被套用於描述車頭時距分布。但其往往適用於車流量較小的情況:對於雙向雙車道道路上流量不超過400輛/小時;單向雙車道道路上流量不超過800量/小時,且在來車方向上距觀測點1公里之內沒有交通管理設施影響的情況。上述公式中只有一個參數T,並且:
車頭時距因此,參數T可由觀測樣本均值估計由下式計算:
車頭時距其中,t為觀測車頭時距。
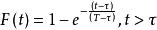
(2)移位的負指數分布
負指數分布擬合腳踏車道交通流車頭時距分布時,較小的車頭時距出現的機率較大,這與實際情況不符。為了克服負指數分布這種局限性,引入了移位的負指數分布,即假設最小車頭時距不應小於一個給定的值τ。移位的負指數分布函式為:
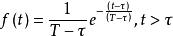
車頭時距其機率密度函式為:
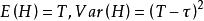
車頭時距並且,可求得車頭時距均值和方差分別為:
車頭時距因此,參數仍是平均車頭時距,可計算其估計值,參數τ估計如下:
車頭時距其中,tt,…,t為觀測車頭時距。
(3)M3分布
研究發現,當交通較擁擠時,出現了部分車輛成車隊狀態行駛 。
M3分布模型假設車輛處於兩種行駛狀態:一部分是車隊狀態行駛,另一部分車輛按自由流狀態行駛。分布函式為:
車頭時距
車頭時距其中,
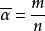
α——按自由流狀態行駛車輛所占的比例
τ——車輛處於車隊狀態行駛時,車輛之間保持的最小車頭時距;
λ——參數。
M3分布模型的提出引起了許多研究人員的關注,並在許多重要文獻中引用。模型中參數較多,估計較困難。研究人員曾對此做了很多的研究。下面不加證明的給出其中一種參數估計方法。
由機率論的知識容易證明在條件:H>τ下,車頭時距服從帶移位的負指數分布,參數λ的極大似然估計為:
車頭時距其中,t為車頭時距大於的樣本觀測值的均值。參數α的估計則可根據其實際意義估計如下:
車頭時距其中,n為觀測樣本數,m為車頭時距觀測值不大於τ的樣本數 。

