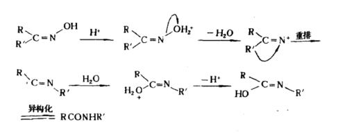
反應機理
貝克曼重排反應歷程較複雜,中間體是“氮賓”正離子,隨即鄰近烴基轉移到這個正中心形成鄰碳正離子,然後水合,去質子,異構化得到醯胺。以上各步反應是連續且同時發生的。
貝克曼重排反應酮肟具有順反異構體,經重排的立體化學分析,羥基只能和處於其反位的基團調換位置,則反式移動,囚此這是一個立體專一性的反應,即使是不對稱的酮肟在重排中也只能得到一種醯胺。貝克曼重排是分子內的反應,當遷移基團中含有不對稱碳原於時,遷移後,該碳原子的構型保持不變。
套用
貝克曼重排在有機合成中套用廣泛。試例反應的反應物為環己酮並生成己內醯胺,因為己內醯胺是製造尼龍6的重要原料,所以此反應也是貝克曼重排的一個很重要的套用。
環己酮肟在硫酸作用下重排生成己內醯胺反應如下:
己內醯胺的合成提出者
恩斯特·奧托·貝克曼恩斯特·奧托·貝克曼(Ernst Otto Beckmann,1853年7月4日-1923年7月13日),是一名德國化學家,主要成就包括發明貝克曼溫度計和發現貝克曼重排反應。

