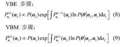
變分貝葉斯EM方程最早是由BEAL M J. 在其論文《Variational Algorithms for Approximate Bayesian Inference》[D], London, UK: University College London, 2003里所提出的 。其具體算法可表示為:在第i次VBEM疊代中,參數分布的更新方程式可表示為VBE步和VBM步。
變分貝葉斯EM在VBEM算法中,VBE步驟和VBM步驟均是關於後驗分布求均值的,因此隱參數和未知參數之間不再存在區別。
變分貝葉斯EM指的是變分貝葉斯期望最大化(VBEM, variational Bayes expectation maximization),這種算法基於變分推理,通過疊代尋找最小化KL(Kullback-Leibler)距離的邊緣分布來近似聯合分布,同時利用mean field 近似減小聯合估計的複雜度。
變分貝葉斯EM方程最早是由BEAL M J. 在其論文《Variational Algorithms for Approximate Bayesian Inference》[D], London, UK: University College London, 2003里所提出的 。其具體算法可表示為:在第i次VBEM疊代中,參數分布的更新方程式可表示為VBE步和VBM步。
變分貝葉斯EM在VBEM算法中,VBE步驟和VBM步驟均是關於後驗分布求均值的,因此隱參數和未知參數之間不再存在區別。
變分貝葉斯估計(variational Bayesian inference)是統計推斷中變分方法(variational method)的套用之一,能...
理論 算法 套用;對後者,由VBI求解的MAP-EM被稱為變分貝葉斯EM算法... Monte Carlo, MCMC)和變分貝葉斯估計(Variational...:改進算法基於貝葉斯推斷 (Bayesian inference)的EM...
歷史 理論 算法 性質 套用Chain Monte Carlo, MCMC)和變分貝葉斯估計... 3環境使用EM算法求解GMM的編程實現:改進算法基於貝葉斯推斷... 在MLE理論下,EM算法僅能給出模型參數 的單點估計,引入貝葉斯推斷方法...
歷史 理論 算法 性質 套用信號來說,按照奈魁斯特採樣定律,信號實際最大頻率為11025HZ,因此...)衰減截止頻率(Rolloff):,指音頻信號能量衰減3分貝時的截止頻率...視窗化(4)如果在某一時刻值大於閾值,則判定在該時刻特徵矢量發生了躍變,因此...
簡介 詳細信息