理論
變分貝葉斯估計
變分貝葉斯估計
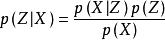
變分貝葉斯估計給定 維觀測數據 和包含隱變數 的統計模型,由貝葉斯定理(Bayes' theorem),隱變數的後驗有如下表示:
變分貝葉斯估計
變分貝葉斯估計變分貝葉斯估計的求解目標是在給定的變分族 內,找到隱變數後驗分布的最優近似,利用Kullback-Leibler散度(Kullback-Leibler divergence),該最佳化問題有如下表示 :
變分貝葉斯估計
變分貝葉斯估計由KL散度的性質可知,當隱變數的後驗分布在變分族之內,例如二者均為指數族分布,則上式得到全局最優,其它情形下得到局部最優。對該最佳化問題,變分貝葉斯估計使用平均場理論(Mean Field Theory, MFT)將維的後驗分布近似為一系列一維機率分布的乘積並分別求解KL散度 :
變分貝葉斯估計
變分貝葉斯估計注意到變分貝葉斯估計通常不是無偏的,若本身不是變分族的成員,則上式中的KL散度不等於0.
算法
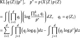
這裡對變分貝葉斯估計的一般計算框架進行推導。將KL散度帶入上式的最佳化問題中可有如下展開 :
變分貝葉斯估計
變分貝葉斯估計
變分貝葉斯估計
變分貝葉斯估計
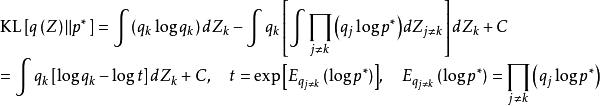
變分貝葉斯估計將式中的求和符號內的按等於和不等於分開並將不等於的部分合併為常數,則上式可化為 :
變分貝葉斯估計可知,上述積分是KL散度的定義,因此變分貝葉斯估計的最佳化問題有如下表示 :
變分貝葉斯估計此即是變分貝葉斯估計的計算框架。
套用
變分貝葉斯估計可以套用於完整的貝葉斯推斷(full Bayesian inference),即對後驗分布按因子展開進行近求解。在最大期望算法(Expectation-Maximization algorithm, EM)的E步中對隱變數後驗分布的求解可以通過變分貝葉斯估計實現,形成變分貝葉斯EM(Variational Bayesian EM algorithm, VBEM) 。
