特點
解析度決定了點陣圖圖像細節的精細程度。
通常情況下,圖像的解析度越高,所包含的像素就越多,圖像就越清晰,印刷的質量也就越好。同時,它也會增加檔案占用的存儲空間。
單位
描述解析度的單位有:dpi(點每英寸)、lpi(線每英寸)、ppi(像素每英寸)和PPD(PPPixels Per Degree 角解析度,像素每度)。但只有lpi是描述光學解析度的尺度的。雖然dpi和ppi也屬於解析度範疇內的單位,但是他們的含義與lpi不同。而且lpi與dpi無法換算,只能憑經驗估算。PPD 是頭戴影院、VR眼鏡、VR一體機類產品的參數,可以衡量用戶使用該類型產品時的對顯示畫面的清晰感受。
另外,ppi和dpi經常都會出現混用現象。但是他們所用的領域也存在區別。從技術角度說,“像素”只存在於電腦顯示領域,而“點”只出現於列印或印刷領域。
換算
ppi和lpi可以換算,lpi等於ppi的一半,但是取決於納奎斯特極限。
顯示器
| 標屏 | 解析度 | 寬屏 | 解析度 |
| QVGA | 320×240 | WQVGA | 400×240 |
| VGA | 640×480 | WVGA | 800×480 |
| SVGA | 800×600 | WSVGA | 1024×600 |
| XGA | 1024×768 | WXGA | 1280×720/1280×768/1280×800 |
| XGA+ | 1152×864 | WXGA+ | 1366×768 |
| SXGA | 1280×1024/1280×960 | WSXGA | 1440×900 |
| SXGA+ | 1400×1050 | WSXGA+ | 1680×1050 |
| UXGA | 1600×1200 | WUXGA | 1920×1200 |
| QXGA | 2048×1536 | WQXGA | 2560×1600 |
照相機
| 百萬像素 | 4:3解析度 | 16:9解析度 |
| 0.3M | 640×480 | 720×405 |
| 0.5M | 800×600 | 960×540 |
| 0.6M | 1024×576 | |
| 0.7M | 960×720 | |
| 0.8M | 1024×768 | |
| 0.9M | 1280×720 | |
| 1M | 1152×864 | 1366×768 |
| 1.2M | 1280×960 | 1440×810 |
| 1.5M | 1400×1050 | 1600×900 |
| 2M | 1600×1200 | 1920×1080 |
| 2.4M | 1792×1344 | 2048×1152 |
| 3M | 2048×1536 | 2304×1296 |
| 4M | 2304×1728 | 2560×1440 |
| 5M | 2592×1944 | 3072×1728 |
| 6M | 2816×2112 | 3264×1836 |
| 7M | 3072×2304 | 3552×2000 |
| 7.5M | 3200×2400 | 3640×2048 |
| 8M | 3264×2448 | 3840×2160 |
| 9M | 3456×2592 | 3984×2240 |
| 9.5M | 3600×2700 | 4096×2304 |
| 10M | 3648×2736 | 4240×2384 |
| 11M | 3840×2880 | 4480×2520 |
| 12M | 4000×3000 | 4608×2592 |
| 13M | 4096×3072 | 4800×2700 |
| 15M | 4800×3600 | 5120×2880 |
| 20M | 5120×3840 | 6016×3384 |
| 30M | 6400×4800 | 7280×4096 |
代碼對照表
| 序號 | 顯示模式代碼 | 水平象素×垂直象素 | 比例 |
| 1 | QQCIF | 88×72 | 11:9 |
| 2 | SUB-QCIF | 128×96 | 4:3 |
| 3 | QQVGA | 160×120 | 4:3 |
| 4 | QCIF | 176×144 | 11:9 |
| 5 | Sub-QVGA- | 208×176 | 13:11 |
| 6 | Sub-QVGA | 220×176 | 5:4 |
| 7 | HQVGA | 240×160 | 3:2 |
| 8 | Sub-QVGA+ | 240×176 | 15:11 |
| 9 | CGA | 320×200 | 16:10 |
| 10 | QVGA | 320×240 | 4:3 |
| 11 | CIF | 352×288 | 11:9 |
| 12 | WQVGA | 360×240 | 3:2 |
| 13 | WQVGA | 384×240 | 16:10 |
| 14 | WQVGA | 400×240 | 5:3 |
| 15 | WQVGA | 400×320 | 5:4 |
| 16 | FWQVGA | 432×240 | 16:9 |
| 17 | WQVGA | 480×240 | 2:1 |
| 18 | WQVGA | 480×272 | 16:9 |
| 19 | HVGA | 480×320 | 3:2 |
| 20 | EGA | 640×350 | 64:35 |
| 21 | nHD | 640×360 | 16:9 |
| 22 | VGA | 640×480 | 4:3 |
| 23 | VGA+ | 720×480 | 3:2 |
| 24 | WVGA | 768×480 | 16:10 |
| 25 | PAL | 768×576 | 4:3 |
| 26 | WVGA | 800×480 | 5:3 |
| 27 | FWVGA | 854×480 | 16:9 |
| 28 | SVGA | 800×600 | 4:3 |
| 29 | qHD | 960×540 | 16:9 |
| 30 | DVGA | 960×640 | 3:2 |
| 31 | WSVGA | 1024×576 | 16:9 |
| 32 | WSVGA | 1024×600 | 128:75 |
| 33 | XGA | 1024×768 | 4:3 |
| 34 | WXGA | 1152×768 | 3:2 |
| 35 | XGA+ | 1152×864 | 4:3 |
| 36 | HD/WXGA | 1280×720 | 16:9 |
| 37 | WXGA | 1280×768 | 15:9 |
| 38 | WXGA | 1280×800 | 16:10 |
| 39 | SXGA-/UVGA | 1280×960 | 4:3 |
| 40 | SXGA | 1280×1024 | 25:16 |
| 41 | FWXGA | 1366×768 | 16:9 |
| 42 | SXGA+ | 1400×1050 | 4:3 |
| 43 | FWXGA+ | 1440×960 | 3:2 |
| 44 | WXGA+ | 1440×900 | 16:10 |
| 45 | HD+ | 1600×900 | 16:9 |
| 46 | WSXGA | 1600×1024 | 25:16 |
| 47 | WSXGA+ | 1600×1050 | 32:21 |
| 48 | USVGA/UXGA/UGA | 1600×1200 | 4:3 |
| 49 | WSXGA+ | 1680×1050 | 16:10 |
| 50 | UXGA | 1900×1200 | 19:12 |
| 51 | WSUVGA+(WSUGA/HDTV) | 1920×1080 | 16:9 |
| 52 | WUXGA | 1920×1200 | 16:10 |
| 53 | DCI 2K | 2048×1280 | 16:10 |
| 54 | SUVGA(QXGA) | 2048×1536 | 4:3 |
| 55 | QWXGA | 2048×1152 | 16:9 |
| 56 | FHD+ | 2160×1440 | 16:9 |
| 57 | QHD/WQHD | 2560×1440 | 16:9 |
| 58 | UWXGA | 2560×1600 | 16:10 |
| 59 | USXGA | 2560×2048 | 5:4 |
| 60 | QWXGA+ | 2880×1800 | 16:10 |
| 61 | WQXGA+ | 3200×1800 | 16:9 |
| 62 | WQSXGA | 3200×2048 | 16:10 |
| 63 | QUXGA | 3200×2400 | 4:3 |
| 64 | UWQHD | 3440×1440 | 43:18 |
| 65 | UW4K | 3840×1600 | 12:5 |
| 66 | UHD | 3840×2160 | 16:9 |
| 67 | WQUXGA | 3840×2400 | 16:10 |
| 68 | DCI 4K | 4096×2160 | 19:10 |
| 69 | HXGA | 4096×3072 | 4:3 |
| 70 | UHD+ | 5120×2880 | 16:9 |
| 71 | WHXGA | 5120×3200 | 16:10 |
| 72 | HSXGA | 5120×4096 | 5:4 |
| 73 | WHSXGA | 6400×4096 | 16:10 |
| 74 | HUXGA | 6400×4800 | 4:3 |
| 75 | 8K UHD | 7680×4320 | 16:9 |
| 76 | WHUXGA | 7680×4800 | 16:10 |
名詞縮寫
VGA:Video Graphics Array;S:Super(超過),×:E×tended(擴展),U:Ultra(終極),第一個Q:Quarter(四分之一),最後一個Q:Quantum(量化)
VGA: Video Graphics Array
解析度QVGA: Quarter Video Graphics Array
QQVGA: Quarter QVGA
Sub-QVGA: Sub Quarter QVGA
CIF: Common Intermediate Format
QCIF: Quarter Common Intermediate Format
QQCIF: Quarter QCIF Sub-QCIF: Sub Quarter QCIF
註:
VGA:Video Graphics Array(視頻圖像解析度);S:Super,X:Extended(擴展),U:Ultra(終極),第一個Q:Quarter(四分之一),最後一個Q:Quantum(量化)。
解析
解析度高 解析度是保證彩色顯示器清晰度的重要前提。顯示器的點距是高解析度的基礎之一,大螢幕彩色顯示器的點距一般為0.28,0.26,0.25。高解析度的另一方面是指顯示器在水平和垂直顯示方面能夠達到的最大像素點,一般有320×240,640×480,1024×768,1280×1024等幾種,好的大螢幕彩顯通常能夠達到1600×1280的解析度。較高的解析度不僅意味著較高的清晰度,也意味著在同樣的顯示區域內能夠顯示更多的內容。比如在640×480解析度下只能顯示一頁內容,在1600×1280解析度下則能同時顯示兩頁。
解析度是度量點陣圖圖像內數據量多少的一個參數。通常表示成每英寸像素(Pixel per inch, ppi)和每英寸點(Dot per inch, dpi)。包含的數據越多,圖形檔案的長度就越大,也能表現更豐富的細節。但更大的檔案需要耗用更多的計算機資源,更多的記憶體,更大的硬碟空間等。假如圖像包含的數據不夠充分(圖形解析度較低),就會顯得相當粗糙,特別是把圖像放大為一個較大尺寸觀看的時候。所以在圖片創建期間,我們必須根據圖像最終的用途決定正確的解析度。這裡的技巧是要保證圖像包含足夠多的數據,能滿足最終輸出的需要。同時要適量,儘量少占用一些計算機的資源。
通常,“解析度”被表示成每一個方向上的像素數量,比如640X480等。某些情況下也可以同時表示成“每英寸像素”(ppi)以及圖形的長度和寬度。比如72ppi,和8X6英寸。
1280 1024解析度ppi 和dpi經常都會出現混用現象。從技術角度說,“像素”(P)只存在於計算機顯示領域,而“點”(d)只出現於列印或印刷領域。
解析度和圖像的像素有直接關係。我們來算一算,一張解析度為640 x 480的圖片,那它的解析度就達到了307200像素,也就是我們常說的30萬像素,而一張解析度為1600 x 1200的圖片,它的像素就是200萬。這樣,我們就知道,解析度的兩個數字表示的是圖片在長和寬上占的點數的單位。一張數碼圖片的長寬比通常是4:3。LCD液晶顯示器和傳統的CRT顯示器,解析度都是重要的參數之一。傳統CRT顯示器所支持的解析度較有彈性,而LCD的像素間距已經固定,所以支持的顯示模式不像CRT那么多。LCD的最佳解析度,也叫最大解析度,在該解析度下,液晶顯示器才能顯現最佳影像。
目前15英寸LCD的最佳解析度為1024×768,17~19英寸的最佳解析度通常為1280×1024,更大尺寸擁有更大的最佳解析度。
解析度LCD 顯示器呈現解析度較低的顯示模式時,有兩種方式進行顯示。第一種為居中顯示:例如在XGA1024×768的螢幕上顯示SVGA800×600的畫面時,只有螢幕居中的800×600個像素被呈現出來,其它沒有被呈現出來的像素則維持黑暗,該方法較少採用。另一種稱為擴展顯示:在顯示低於最佳解析度的畫面時,各像素點通過差動算法擴充到相鄰像素點顯示,從而使整個畫面被充滿。這樣也使畫面失去原來的清晰度和真實的色彩。
由於現在相同尺寸的液晶顯示器的最大解析度通常是一致的,所以同尺寸的LCD的價格一般與解析度基本上沒有關係。
WVGA:800*480
QVGA: 320*240
VGA: 640*480
HVGA: 480*320
QVGA即"Quarter VGA"。顧名思義就是VGA的四分之一尺寸,也就是在液晶螢幕(LCD)上輸出的解析度為240×320像素。QVGA支持螢幕旋轉,可以開發出相應的程式以顯示旋轉90°、180°、270°螢幕位置。由HandEra公司發布,多用於手持/移動設備。
解析度需要說 明的是有些媒體把QVGA螢幕當成與TFT和TFD等LCD材質相同的東西是錯誤的。QVGA螢幕多見於日本的一些手機中,採用微軟Pocket PC作業系統的智慧型手機螢幕也大多是320×240像素的QVGA螢幕。
所謂QVGA液晶技術,就是在液晶螢幕上輸出的解析度是240×320的液晶輸出方式。這個解析度其實和螢幕本身的大小並沒有關係。比如說,若2.1英寸液晶顯示螢幕可以顯示240×320解析度的圖像,就叫做“QVGA 2.1英寸液晶顯示屏”;如果3.8英寸液晶顯示螢幕可以顯示240×320的圖像,就叫做“QVGA 3.8英寸液晶顯示屏”,以上兩種情況雖然具有相同的解析度,但是由於尺寸的不同實際的視覺效果也不同,一般來說螢幕小的一個畫面自然也會細膩一些。
HVGA 即VGA(640*480)的一半,解析度為(480*320),(3:2寬高比)
它是用於各種各樣的PDA設備,首先是2002年的索尼Clie PEG - NR70,
WVGA 數碼產品螢幕材質的一種,VGA的另一種形式,比VGA解析度高,別名 : Wide VGA, ,其解析度為800×480像素,是擴大了VGA(640×480)的解析度。套用於PDA和手機等,因為很多網頁的寬度都是800,所以WVGA的螢幕會更加適合於瀏覽網頁,可以說是未來手持設備解析度的大趨勢。
最高解析度
數位相機能夠拍攝最大圖片的面積就是這台數位相機的最高解析度,通常以像素為單位。
PPI
圖像解析度(ImageResolution)指圖像中存儲的信息量。這種解析度有多種衡量方法,典型的是以每英寸的像素數(PPI,pixel per inch)來衡量。當然也有以每厘米的像素數(PPC,pixel per centimeter)來衡量的。圖像解析度決定了圖像輸出的質量,圖像解析度和圖像尺寸(高寬)的值一起決定了檔案的大小,且該值越大圖形檔案所占用的磁碟空間也就越多。圖像解析度以比例關係影響著檔案的大小, 即檔案大小與其圖像解析度的平方成正比。如果保持圖像尺寸不變,將圖像解析度提高一倍,則其檔案大小增大為原來的四倍。
計算方程式
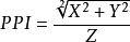
解析度[顯示解析度與圖像解析度](X:長度像素數;Y:寬度像素數;Z:螢幕尺寸即對角線長度)
PPD
PPD (Pixels Per Degree) 角解析度 或稱 空間解析度,指視場角中的平均每 1° 夾角內填充的像素點的數量。
對於頭戴顯示類產品(如 VR眼鏡、VR一體機、頭戴影院、頭戴 AR 等),PPD 數值越大,就說明對細節的顯示越精細,用戶對顯示畫面的感受就越清晰。
不同於手機螢幕用 PPI(Pixel per inch) 來判定螢幕清晰度,頭顯產品的清晰度是通過 PPD 這個參數來衡量。因為頭顯是透過光學系統看螢幕放大的虛擬圖像(簡稱:虛像),而不是直接看螢幕,單用 PPI 是無法衡量頭顯清晰度的。
使用頭顯產品時,人眼視野中單位區域的畫面內填充的像素點的數量越多,視覺感受越清晰細膩(在清晰感達到人眼對所能分辨的極限之前)。
視野的單位區域可用【平均1°視場角FOV的區域】來表示,而對於頭顯產品來說【平均1°視場角FOV的區域】即為【以PPD為直徑的圓】。通過圓的面積公式可以得出:【平均1°視場角FOV的區域】的像素點數量與【PPD的值的平方】成正比。所以PPD越大,人眼視野中單位區域的畫面內填充的像素點的數量越多,用戶對顯示畫面的感受就越清晰。PPD 提高一倍,則代表著同一視野區域內填充的像素電數量增加為原來的4倍。
計算方程式
解析度[顯示解析度與圖像解析度]PPD = 線段ab ÷ FOV
(線段ab:單眼成像外接圓的直徑像素點數量;FOV:視場角)
解析度[顯示解析度與圖像解析度]平均1°視場角FOV的區域像素點數量
SPI
掃描解析度指在掃描一幅圖像之前所設定的解析度,它影響所生成的圖像檔案的質量和使用性能,決定了圖像將以何種方式顯示或列印。如果掃描圖像用於640×480像素的螢幕顯示,則掃描解析度不必大於一般顯示器螢幕的設備解析度,即一般不超過120DPI。
大多數情況下,掃描圖像是為了通過高解析度的設備輸出。如果圖像掃描解析度過低,會導致輸出的效果非常粗糙。但如果掃描解析度過高,數字圖像中會產生超過列印所需要的信息,不但減慢列印速度,而且會在列印輸出時使圖像色調的細微過渡丟失。一般情況下,圖像解析度應該是網屏解析度的2倍,這是中國大多數輸出中心和印刷廠都採用的標準。然而實際上,圖像解析度應該是網幕頻率的1.5 倍。關於這個問題,恐怕會有爭議,具體到不同的圖像本身,情況各不相同。要了解詳細內容,請看《網屏角度及輸出解析度》。
可能有很多朋友沒有明白這其中是如何計算的,下面筆者就簡單的講解一下PPI的計算方法。首先,我們先了解一下什麼叫PPI,PPI是英文Pixels per inch的縮寫,意思就是每英寸所擁有的像素(Pixel)數目。搞清楚了PPI是什麼意思,我們就能很容易理解PPI的計算方式了,首先我們需要算出手機螢幕的對角線等效像素,然後除以對角線(我們平常所說的手機螢幕尺寸就是說的手機螢幕對角線的長度)長度,就可以得到PPI了。準確的計算公示大家可以參照下圖。比較有意思的是,根據公式計算出來的iPhone 4的PPI為330,要比蘋果官方公布的326要高一點點。
LPI
網屏解析度(ScreenResolution)又稱網幕頻率(是印刷術語),指的是印刷圖像所用網屏的每英寸的網線數(即掛網網線數),以(LPI)來表示。例如150LPI是指每英寸加有150條網線。
DPI
設備解析度(DeviceResolution)又稱輸出解析度,指的是各類輸出設備每英寸上可產生的點數,如顯示器、噴墨印表機、雷射印表機、繪圖儀的解析度。這種解析度通過DPI來衡量,PC顯示器的設備解析度在60至120DPI之間,列印設備的解析度在360至2400DPI之間。
位解析度
圖像的位解析度(BitResolution)又稱位深,是用來衡量每個像素儲存信息的位數。這種解析度決定可以標記為多少種色彩等級的可能性。一般常見的有8位、16位、24位或32位色彩。有時我們也將位解析度稱為顏色深度。所謂“位”,實際上是指“2”的平方次數,8位即是2的八次方,也就是8個2相乘,等於256。所以,一幅8位色彩深度的圖像,所能表現的色彩等級是256級。
印表機
某台為360DPI,是指在用該印表機輸出圖像時,在每英寸列印紙上可以列印出360個表征圖像輸出效果的色點。印表機解析度的這個數越大,表明圖像輸出的色點越小,輸出的圖像效果就越精細。印表機色點的大小隻同印表機的硬體工藝有關,與要輸出圖像的解析度無關。
掃瞄器
要從三個方面來確定:光學部分、硬體部分和軟體部分。也就是說,掃瞄器的解析度等於其光學部件的解析度加上其自身通過硬體及軟體進行處理分析所得到的解析度。光學解析度是掃瞄器的光學部件在每平方英寸面積內所能捕捉到的實際光點數,是指掃瞄器CCD 的物理解析度,也是掃瞄器的真實解析度,它的數值是由CCD的像素點除以掃瞄器水平最大可掃尺寸得到的數值。解析度為1200DPI的掃瞄器,其光學部分的解析度只占400~600DPI。擴充部分的解析度是通過計算機對圖像進行分析,對空白部分進行科學填充所產生的(由硬體和軟體所生成,這一過程也叫“插值”處理)。光學掃描與輸出是一對一的,掃描到什麼,輸出的就是什麼。經過計算機軟硬體處理之後,輸出的圖像就會變得更逼真,解析度會更高。市面上出售的掃瞄器大都具有對解析度的軟、硬體擴充功能。有的掃瞄器廣告上寫9600×9600DPI,這只是通過軟體"插值"所得到的最大解析度,並不是掃瞄器真正光學解析度。所以對掃瞄器來講,其解析度有光學解析度(或稱光學解析度)和最大解析度之說。我們說某台掃瞄器的解析度高達4800DPI(這個4800DPI 是光學解析度和軟體差值處理的總和)是指用掃瞄器輸入圖像時,在1平方英寸的掃描幅面上,可採集到4800×4800個像素點(Pixel)。1英寸見方的掃描區域,用4800DPI的解析度掃描後生成的圖像大小是4800Pixel×4800Pixel。在掃描圖像時,掃描解析度設得越高,生成的圖像效果就越精細,生成的圖像檔案也就越大,但插值成分也越多。關於掃瞄器、印表機、顯示器的解析度對掃瞄器、印表機及顯示器等硬體設備來說,其解析度用每英寸可產生的點數即DPI(Dots Per Inch)來度量。
顯示器
顯示裝置能有效辨別的最小的示值差。顯示器的解析度為80DPI是指在顯示器的有效顯示範圍內,顯示器的顯像設備可以在每英寸螢光屏上產生80個光點。舉個例子來說,一台14英寸的顯示器(螢光屏對角線長度為14英寸),其點距為0.28mm,那么顯示器解析度=25.4mm/inch÷0.28mm/Dot≈91DPI(1inch=2.54cm)。顯示器出廠時一般不標出表征顯示器解析度的DPI值,只給出點距。我們根據上述公式即可算出顯示器的解析度。根據我們算出的DPI值,進而可以推算出顯示器可支持的最高顯示模式。假設該14英寸顯示器螢光屏有效顯示範圍的對角線長度為11.5英寸,因顯示器的水平方向和垂直方向的顯示比例為4:3,故可設有效顯示範圍水平寬度為4x 英寸,垂直高度為3x 英寸,根據數學上的勾股定理,可得x=11.5÷5=2.3英寸。所以有效顯示範圍寬度為2.3×4=9.2英寸,垂直高度為2.3×3=6.9英寸。最高顯示模式約為:800(9.2×90)×600(6.8×90),這時是用一個點(Dot)表示一個像素(pixel)。
上面主要講述了掃瞄器、印表機和顯示器的設備解析度。
特別提醒:設備解析度與用該設備處理的圖像的解析度是兩個既有聯繫又有區別的概念。
數位相機
數位相機解析度的高低決定了所拍攝的影像最終能夠列印出高質量畫面的大小,或在計算機顯示器上所能夠顯示畫面的大小。數位相機解析度的高低,取決於相機中CCD(Charge Coupled Device:電荷耦合器件)晶片上像素的多少,像素越多,解析度越高。數位相機的最大解析度也是由其生產工藝決定的,但用戶可以調整到更低解析度以減少照片占用的空間。就同類數位相機而言,最大解析度越高,相機檔次越高。但高解析度的相機生成的數據檔案很大,對加工、處理的計算機的速度、記憶體和硬碟的容量以及相應軟體都有較高的要求。
數位相機像素水平的高低與最終所能列印一定解析度照片的尺寸可用以下方法簡單計算:假如彩色印表機的解析度為N DPI,數位相機水平像素為M,最大可列印出的照片為M÷N英寸。比如印表機的解析度為300DPI,那么水平像素為3600的數位相機,其所攝的影像檔案不作插值處理能夠列印出的最大照片尺寸為12英寸(3600÷300)。要列印出尺寸越大的數碼照片,就需要越高像素水平的數位相機。計算顯示尺寸的方法與列印尺寸的方法相同。
投影機
投影機的解析度有兩種常見的表示方式,一種是以電視線(TV線)的方式表示,另一種是以像素的方式表示。以電視線表示時,其解析度的含義與電視相似,這種解析度表示方式主要是為了匹配接入投影機的電視信號。以像素方式表示時,通常表示為1024×768等形式,從某種意義上講這種解析度的限制是對輸入投影機的VGA信號的行頻及場頻作的要求。VGA信號的行頻或場頻超過這個限制後,投影機就不能正常投顯了。
印刷領域
在商業印刷領域,解析度以每英寸上等距離排列多少條網線即LPI(Lines Per Inch)表示。在傳統商業印刷製版過程中,製版時要在原始圖像前加一個網屏,這一網屏由呈方格狀的透明與不透明部分相等的網線構成。這些網線也就是光柵,其作用是切割光線解剖圖像。由於光線具有衍射的物理特性,因此光線通過網線後,形成了反映原始圖像影像變化的大小不同的點,這些點就是半色調點,一個半色調點最大不會超過一個格線的面積。網線越多,表現圖像的層次越多,圖像質量也就越好。因此商業印刷行業中採用了LPI表示解析度。
電視
在電視工業中,解析度指的是在螢光屏等於像高的距離內人眼所能分辨的黑白條紋數,單位是電視線(TV線)。
我們國家採用的電視標準是PAL制式,它規定每秒25幀,每幀625掃描行。由於採用了隔行掃描方式,625行掃描線分為奇數行和偶數行,這分別構成了每一幀的奇、偶兩場,由於在每一幀中電子束都要從上面開始掃描,因此存在著電子束從終點回到起點的掃描逆程期,在這期間被消隱的掃描行是不可能分解圖像的。掃描逆程期約占整個掃描時間的8%,625行中用於掃描圖像的有效行數只有576行,故推導出圖像在垂直方向上的解析度為576點。按現行4:3寬高比的電視標準,圖像在水平方向上的解析度應為576×4/3=768點,這就得到了768×576這一常見的圖像大小。另外,在計算機視頻捕捉時,我們還會遇到遵循CCIR601標準的PAL制式圖像尺寸,其大小為720×576。對我們接觸到的NTSC制式來講,它規定每秒30幀,每幀525行,同樣採用了隔行掃描方式,每一幀由兩場組成,其圖像大小是720×486。
日本的D端子採用了類似計算機的多針D型插接頭,用來直接傳輸數字圖像信號,根據傳輸數位訊號的規格不同,D端子已經形成了一個系列的型號,目前有D1、D2、D3、D4、D5。系列序號越高,傳輸數據的規格越高。
| D端子 | 格式 | 解析度 | 行頻 | 規格 |
| D1 | 480i | 720×480 | 15.25kHz | 數字標清(SDTV) |
| D2 | 480p | 720×480 | 31.5kHz | 數字標清(SDTV) |
| D3 | 1080i | 1920×1080 | 33.75kHz | 數字高清(HDTV) |
| D4 | 720p | 1280×720 | 45kHz | 數字高清(HDTV) |
| D5 | 1080p | 1920×1080 | 67.5kHz | 全高清(Full HDTV) |
標準幀率均為60Hz,通常採用24Hz,25Hz,30Hz。
滑鼠
滑鼠的解析度是指每移動一英寸能檢測出的點數,解析度越高,質量也就越高。以前滑鼠的解析度通常為100DPI,滑鼠解析度從200DPI到1000DPI不等。高解析度的滑鼠通常用於製圖和精確計算機繪圖等。
觸控螢幕
觸控螢幕的解析度是指將螢幕分割成可識別的觸點數目。通常用水平和垂直方向上的觸點數目來表示,如32×32。有人認為觸控螢幕的解析度越高越好,其實並非如此,在選用觸控螢幕時應考慮具體用途。採用模擬量技術的觸控螢幕解析度很高,可達到1024×1024,能勝任一些類似螢幕繪畫和寫字(手寫識別)的工作。在多數場合下,觸摸技術的套用只是讓人們用手觸摸來選擇軟體設計的“按鈕”,沒有必要使用非常高的解析度。例如在14英寸顯示器上使用觸控螢幕時,顯示區域的實際大小一般是25cm×18.5cm,一個解析度為32×32的觸控螢幕就能把螢幕分割成1024個0.78cm×0.58cm(比一支香菸還細小)的觸點。人的手指按壓觸控螢幕的觸點比香菸的直徑大多了,所以這樣一個觸點就已經足夠了。
望遠鏡
分辨力示意望遠鏡的解析度,也可以說是光學透鏡的解析度。光具有波動性和粒子性,所以通過透鏡匯聚的光線投射到感光元件上,如果兩個像點距離很小,就會發生干涉,如右圖。角度這個參數就是望遠鏡或者透鏡的理論解析度,一般用弧度表示。這個數值越小,也就是可以分辨的物體越細小,透鏡的解析度越高,這個角度與透鏡的口徑和所使用波長有關,理論計算可得最小分辨角:r=1.22λ/D,其中λ為觀測波長,D為望遠鏡的口徑,二者取同一單位時,r的單位為弧度。對於目視觀測,通常取λ為肉眼最敏感的550nm。這個數值是一個理論結果,實際上地面觀測受到氣流、污染物、雜光等的影響,也就達不到這個最好的效果,故解析度會下降。對於人眼,平均瞳孔直徑7mm,有60角秒的解析度,而對於口徑116mm口徑的小型望遠鏡,具有1角秒的解析度。
顯微物鏡
顯微物鏡的解析度即物面上能分開的最短距離,用以下公式計算:
σ=0.61λ/NA
其中σ為顯微物鏡解析度,λ為光源波長,NA為顯微物鏡的數值孔徑。
計量用儀表
儀表解析度,它是儀表輸出能回響和分辨的最小輸入量,又稱儀表靈敏限。
![解析度[顯示解析度與圖像解析度] 解析度[顯示解析度與圖像解析度]](/img/2/1bb/nBnauM3X0YTO5UDN3AjNzgjM2UTM1QDN5MjM5ADMwAjMwUzLwYzL2EzLt92YucmbvRWdo5Cd0FmLyE2LvoDc0RHa.jpg)
