證明
以下使用無窮遞降法:
1.在平面上有有限多點,若它們都共線,那我們就找到想要的東西;若非,定義一條“連線”為一條連起來至少有兩點的線。設I為一條連線,因為不是所有點都共線,至少有一點P不屬於I。
西爾維斯特-加萊定理
西爾維斯特-加萊定理2.若I不是有剛好兩點,I便至少有三點,稱為A,B,C。不失一般性,設B在A和C之間,因為,所以兩隻角不可能同時是鈍角。不失一般性設不是鈍角,而是銳角或直角。
3.設連結C和P的線為m,m是不包括B的連線,而且B和m的距離比P和I的距離小。
西爾維斯特-加萊定理4.以B和m取代第二步的P和I。這個動作不可能無窮次重複,因為若能無窮次重複,連線和某一不在連線上的點距離便會得出一個無窮遞降的序列,但只有有限個點和有限條連線,這是不可能的。因此,至少有一條線剛好有兩點。
推廣
這個定理說明了在所有點至少有一條線有剛好兩點。在什麼情況下,只有一條線有剛好兩點呢?沒有的這樣的例子。Dirac猜想在平面上若有n點,則有至少有n/2條線有剛好兩點 。
可惜這個猜想是不對的。但截至2006年,已知有兩個反例:
•一個等邊三角形的三個頂點、各邊的中點和三角形中心,共有7點,但只有三條線有剛好兩點。
•兩個大小相等的正五邊形,其中一邊重疊。取這兩個五邊形的所有頂點(8點),加上重疊邊的中點(1點),再加上取四組平行線上的無限遠點(4點)。該四組平行線分別是跟重疊邊成0°、90°、+36°和-36°的。在經過這13點的線中,只有6條線有剛好兩點。
西爾維斯特-加萊定理
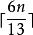
西爾維斯特-加萊定理雖然Dirac的猜想不對,但有較弱的結果:在 n點中,至有有條線剛好有兩點通過。
Beck定理則說明了,存在常數C,K,使以下其中一個論述為真:
•有一條線有n/C點。
•至少有n/K條線,線上至少有兩點。
歷史
1893年,詹姆斯·約瑟夫·西爾維斯特將此問題提出。保羅·艾狄胥也曾在1943年獨立提出這個定理。1944年蒂博爾·加萊發表了的證明。 不過,1940年E. Melchior已證明了。
