定義
要了解複利終值,必須先了解單利。
單利是在任一個計息期均僅按照初始資本計算利息,而不計算到期利息的利息的一種計息方式。銀行存款多用這種計息方式。公式為:
複利終值相對的,複利是在任一個計息期均按照本息和計算利息,而僅不計算初始資金的利息的一種計息方式。銀行貸款多用這種計息方式。公式為:
複利終值
複利終值
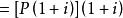
複利終值上述是計算複利終值的一般公式,其中的被稱為複利終值係數或1元的複利終值,用符號(F/P,i,n)表示。例如,(F/P,6%,3)表示利率為6%的3期複利終值的係數。為了便於計算,可編制“複利終值係數表”備用。該表的第一行是利率i,第一列是計息期數n,相應的值在其縱橫相交處。通過該表可以查出,(S/P,6%,3)=1.1910(保留四位小數的近似值)。在時間價值為6%的情況下,存入時的1元和3年後的1.1910元在經濟上是等效的,根據這個係數可以把現值換算成終值。
公式
公式推導:根據複利的概念,計算某一筆錢的終值,可用以下公式計算:
複利終值但是由於這樣計算的話,如果期限太長的話,這個累加計算是非常麻煩的,因此,我們通常把公式簡化、因式分解為:
複利終值
複利終值而其中提取掉x後的冪指數稱為複利終值係數。
示例
實例一
例:張三擬投資10萬元於一項目,該項目的投資期為5年,每年的投資報酬率為20%,張三盤算著:這10萬元本金投入此項目後,5年後可以收回的本息合計為多少?
分析:由於貨幣隨時間的增長過程與複利的計算過程在數學上是相似的,因此,在計算貨幣的時間價值時,可以使用複利計算的各種方法。張三的這筆賬實際上是關於"複利終值"的計算問題。
假如張三在期初投入資金100000元,利息用i表示,那么:
經過1年的時間後,張三的本利和
複利終值
複利終值
複利終值
複利終值
複利終值(元)
經過2年的時間後,張三的本利和
複利終值
複利終值
複利終值
複利終值
複利終值
複利終值(元)
依次類推,5年後,張三的本利和
複利終值
複利終值
複利終值
複利終值
複利終值(元)
我們稱(1+i)n為複利終值係數,在實際運用時,通常查表得到其解。查複利終值表,得知當i=20%,n=5時,複利終值係數為2.4883,那么5年後張三的本利和=100000×2.4883=248830元。當然,之所以係數表中的係數使用時與直接的冪指數計算結果有微小的差異,那是因為係數表中的係數不可能每一個係數精確到它的最後一位小數位,而是保留至多4位小數。
複利終值S為複利終值 P為複利現值 i為年收益率或利率 n為投資期限
實例二
例如,某人將10000元投資於一項事業,年報酬率為6%。按單利計算:
經過1年時間的期終金額為:
複利終值
複利終值
複利終值
複利終值=10600(元)
其中:P——現值或初始值;
i——報酬率或利率;
S——終值或本利和。
若此人不提走現金,則第2年本利和為:
複利終值
複利終值
複利終值
複利終值=11200(元)
同理,第3年的期終金額為:
複利終值
複利終值
複利終值
複利終值=11800(元)
……
仍以上例為例,按複利計算:
經過1年時間的期終金額為:
複利終值
複利終值
複利終值=10600(元)
若此人不提走現金,則第2年本利和為:
複利終值
複利終值
複利終值=11236(元)
同理,第3年的期終金額為:
複利終值
複利終值
複利終值=11910.16(元)
……
C語言計算
#include "stdio.h"
#include <math.h>
void main()
{
float p,s,x,z,n;
float i;
printf("輸入現金回車輸入收益率回車輸入投資年限回車\n");
scanf("%f%f%f",&p,&i,&x);//您投資了多少現金%d,您的年收益率是多少%d,您的投資了多少年
n=1+i;
z=(float)(pow(n,x));
s=p*z;
printf("您的現金終值為%f",s);
}
係數表
本詞條提供1%~50%利率1~50期的複利終值係數(精確到萬分位)供查詢。但因利率越高、期數越長,會導致數據過長,所以本表特意每5個百分點分出一張表格,合計10張表格,以免係數出現表內換行的情形。
表一(1%~5%利率)
| 利息 —— 期數 | 1% | 2% | 3% | 4% | 5% |
| 1 | 1.0100 | 1.0200 | 1.0300 | 1.0400 | 1.0500 |
| 2 | 1.0201 | 1.0404 | 1.0609 | 1.0816 | 1.1025 |
| 3 | 1.0303 | 1.0612 | 1.0927 | 1.1249 | 1.1576 |
| 4 | 1.0406 | 1.0824 | 1.1255 | 1.1699 | 1.2155 |
| 5 | 1.0510 | 1.1041 | 1.1527 | 1.2167 | 1.2763 |
| 6 | 1.0615 | 1.1262 | 1.1941 | 1.2653 | 1.3401 |
| 7 | 1.0721 | 1.1487 | 1.2299 | 1.3159 | 1.4071 |
| 8 | 1.0829 | 1.1717 | 1.2668 | 1.3686 | 1.4775 |
| 9 | 1.0937 | 1.1951 | 1.3048 | 1.4233 | 1.5513 |
| 10 | 1.1046 | 1.2190 | 1.3439 | 1.4802 | 1.6289 |
| 11 | 1.1157 | 1.2434 | 1.3842 | 1.5395 | 1.7103 |
| 12 | 1.1268 | 1.2684 | 1.4258 | 1.6010 | 1.7959 |
| 13 | 1.1381 | 1.2936 | 1.4685 | 1.6651 | 1.8856 |
| 14 | 1.1495 | 1.3195 | 1.5126 | 1.7317 | 1.9799 |
| 15 | 1.1610 | 1.3459 | 1.5580 | 1.8009 | 2.0789 |
| 16 | 1.1726 | 1.3728 | 1.6047 | 1.8730 | 2.1829 |
| 17 | 1.1843 | 3.4002 | 1.6528 | 1.9479 | 2.2920 |
| 18 | 1.1961 | 1.4282 | 1.7024 | 2.0258 | 2.4066 |
| 19 | 1.2081 | 1.4568 | 1.7535 | 2.1068 | 2.5270 |
| 20 | 1.2202 | 1.4859 | 1.8061 | 2.1911 | 2.6533 |
| 21 | 1.2324 | 1.5157 | 1.8603 | 2.2788 | 2.7860 |
| 22 | 1.2447 | 1.5460 | 1.9161 | 2.3699 | 2.9253 |
| 23 | 1.2572 | 1.5769 | 1.9735 | 2.4647 | 3.0715 |
| 24 | 1.2697 | 1.6084 | 2.0328 | 2.5633 | 3.2251 |
| 25 | 1.2824 | 1.6406 | 2.0938 | 2.6658 | 3.3864 |
| 26 | 1.2953 | 1.6734 | 2.1566 | 2.7725 | 3.5557 |
| 27 | 1.3082 | 1.7069 | 2.2213 | 2.8834 | 3.7335 |
| 28 | 1.3213 | 1.7410 | 2.2879 | 2.9987 | 3.9201 |
| 29 | 1.3345 | 1.7758 | 2.3566 | 3.1187 | 4.1161 |
| 30 | 1.3478 | 1.8114 | 2.4273 | 3.2434 | 4.3219 |
| 31 | 1.3613 | 1.8476 | 2.5001 | 3.3731 | 4.5380 |
| 32 | 1.3749 | 1.8845 | 2.5751 | 3.5081 | 4.7649 |
| 33 | 1.3887 | 1.9222 | 2.6523 | 3.6484 | 5.0032 |
| 34 | 1.4026 | 1.9607 | 2.7319 | 3.7943 | 5.2533 |
| 35 | 1.4166 | 1.9999 | 2.8139 | 3.9461 | 5.5160 |
| 36 | 1.4308 | 2.0399 | 2.8983 | 4.1039 | 5.7918 |
| 37 | 1.4451 | 2.0807 | 2.9852 | 4.2681 | 6.0814 |
| 38 | 1.4595 | 2.1223 | 3.0748 | 4.4388 | 6.3855 |
| 39 | 1.4741 | 2.1647 | 3.1670 | 4.6164 | 6.7048 |
| 40 | 1.4889 | 2.2080 | 3.2620 | 4.8010 | 7.0400 |
| 41 | 1.5038 | 2.2522 | 3.3599 | 4.9931 | 7.3920 |
| 42 | 1.5188 | 2.2972 | 3.4607 | 5.1928 | 7.7616 |
| 43 | 1.5340 | 2.3432 | 3.5645 | 5.4005 | 8.1500 |
| 44 | 1.5493 | 2.3901 | 3.6715 | 5.6165 | 8.5572 |
| 45 | 1.5648 | 2.4379 | 3.7816 | 5.8412 | 8.9850 |
| 46 | 1.5805 | 2.4866 | 3.8950 | 6.0748 | 9.4343 |
| 47 | 1.5963 | 2.5363 | 4.0119 | 6.3178 | 9.9060 |
| 48 | 1.6122 | 2.5871 | 4.1323 | 6.5705 | 10.4013 |
| 49 | 1.6283 | 2.6388 | 4.2562 | 6.8333 | 10.9213 |
| 50 | 1.6446 | 2.6916 | 4.3839 | 7.1067 | 11.4674 |
表二(6%~10%利率)
| 利率 —— 期數 | 6% | 7% | 8% | 9% | 10% |
| 1 | 1.0600 | 1.0700 | 1.0800 | 1.0900 | 1.1000 |
| 2 | 1.1236 | 1.1449 | 1.1664 | 1.1881 | 1.2100 |
| 3 | 1.1910 | 1.2250 | 1.2597 | 1.2950 | 1.3310 |
| 4 | 1.2625 | 1.3108 | 1.3605 | 1.4116 | 1.4641 |
| 5 | 1.3382 | 1.4026 | 1.4693 | 1.5386 | 1.6105 |
| 6 | 1.4185 | 1.5007 | 1.5869 | 1.6771 | 1.7716 |
| 7 | 1.5036 | 1.6058 | 1.7138 | 1.8280 | 1.9487 |
| 8 | 1.5938 | 1.7182 | 1.8509 | 1.9926 | 2.1436 |
| 9 | 1.6895 | 1.8385 | 1.9990 | 2.1719 | 2.3579 |
| 10 | 1.7908 | 1.9672 | 2.1589 | 2.3674 | 2.5937 |
| 11 | 1.8983 | 2.1049 | 2.3316 | 2.5804 | 2.8531 |
| 12 | 2.0122 | 2.2522 | 2.5182 | 2.8127 | 3.1384 |
| 13 | 2.1329 | 2.4098 | 2.7196 | 3.0658 | 3.4522 |
| 14 | 2.2609 | 2.5785 | 2.9372 | 3.3417 | 3.7975 |
| 15 | 2.3966 | 2.7590 | 3.1722 | 3.6425 | 4.1772 |
| 16 | 2.5404 | 2.9522 | 3.4259 | 3.9703 | 4.5950 |
| 17 | 2.6928 | 3.1588 | 3.7000 | 4.3276 | 5.0545 |
| 18 | 2.8543 | 3.3799 | 3.9960 | 4.7171 | 5.5599 |
| 19 | 3.0256 | 3.6165 | 4.3157 | 5.1417 | 6.1159 |
| 20 | 3.2071 | 3.8697 | 4.6610 | 5.6044 | 6.7275 |
| 21 | 3.3996 | 4.1406 | 5.0338 | 6.1088 | 7.4002 |
| 22 | 3.6035 | 4.4304 | 5.4365 | 6.6586 | 8.1403 |
| 23 | 3.8198 | 4.7405 | 5.8715 | 7.2579 | 8.9543 |
| 24 | 4.0489 | 5.0724 | 6.3412 | 7.9111 | 9.8497 |
| 25 | 4.2919 | 5.4274 | 6.8485 | 8.6231 | 10.8347 |
| 26 | 4.5494 | 5.8074 | 7.3964 | 9.3992 | 11.9182 |
| 27 | 4.8223 | 6.2139 | 7.9881 | 10.2451 | 13.1100 |
| 28 | 5.1117 | 6.6488 | 8.6271 | 11.1671 | 14.4210 |
| 29 | 5.4184 | 7.1143 | 9.3173 | 12.1722 | 15.8631 |
| 30 | 5.7435 | 7.6123 | 10.0627 | 13.2677 | 17.4494 |
| 31 | 6.0881 | 8.1451 | 10.8677 | 14.4618 | 19.1943 |
| 32 | 6.4534 | 8.7153 | 11.7371 | 15.7633 | 21.1138 |
| 33 | 6.8406 | 9.3253 | 12.6760 | 17.1820 | 23.2252 |
| 34 | 7.2510 | 9.9781 | 13.6901 | 18.7284 | 25.5477 |
| 35 | 7.6861 | 10.6766 | 14.7853 | 20.4140 | 28.1024 |
| 36 | 8.1473 | 11.4239 | 15.9682 | 22.2512 | 30.9127 |
| 37 | 8.6361 | 12.2236 | 17.2456 | 24.2538 | 34.0039 |
| 38 | 9.1543 | 13.0793 | 18.6253 | 26.4367 | 37.4043 |
| 39 | 9.7035 | 13.9948 | 20.1153 | 28.8160 | 41.1448 |
| 40 | 10.2857 | 14.9745 | 21.7245 | 31.4094 | 45.2593 |
| 41 | 10.9029 | 16.0227 | 23.4625 | 34.2363 | 49.7852 |
| 42 | 11.5570 | 17.1443 | 25.3395 | 37.3175 | 54.7637 |
| 43 | 12.2505 | 18.3444 | 27.3666 | 40.6761 | 60.2401 |
| 44 | 12.9855 | 19.6285 | 29.5560 | 44.3370 | 66.2641 |
| 45 | 13.7646 | 21.0025 | 31.9204 | 48.3273 | 72.8905 |
| 46 | 14.5905 | 22.4726 | 34.4741 | 52.6767 | 80.1795 |
| 47 | 15.4659 | 24.0457 | 37.2320 | 57.4176 | 88.1975 |
| 48 | 16.3939 | 25.7289 | 40.2106 | 62.5852 | 97.0172 |
| 49 | 17.3775 | 27.5299 | 43.4274 | 68.2179 | 106.7190 |
| 50 | 18.4202 | 29.4570 | 46.9016 | 74.3575 | 117.3909 |
表三(11%~15%利率)
| 利率 —— 期數 | 11% | 12% | 13% | 14% | 15% |
| 1 | 1.1100 | 1.1200 | 1.1300 | 1.1400 | 1.1500 |
| 2 | 1.2321 | 1.2544 | 1.2769 | 1.2996 | 1.3225 |
| 3 | 1.3676 | 1.4049 | 1.4429 | 1.4815 | 1.5209 |
| 4 | 1.5181 | 1.5735 | 1.6305 | 1.6890 | 1.7490 |
| 5 | 1.6851 | 1.7623 | 1.8424 | 1.9254 | 2.0114 |
| 6 | 1.8704 | 1.9738 | 2.0820 | 2.1950 | 2.3131 |
| 7 | 2.0762 | 2.2107 | 2.3526 | 2.5023 | 2.6600 |
| 8 | 2.3045 | 2.4760 | 2.6584 | 2.8526 | 3.0590 |
| 9 | 2.5580 | 2.7731 | 3.0040 | 3.2519 | 3.5179 |
| 10 | 2.8394 | 3.1058 | 3.3946 | 3.7072 | 4.0456 |
| 11 | 3.1518 | 3.4785 | 3.8359 | 4.2262 | 4.6524 |
| 12 | 3.4985 | 3.8960 | 4.3345 | 4.8179 | 5.3503 |
| 13 | 3.8833 | 4.3635 | 4.8980 | 5.4924 | 6.1528 |
| 14 | 4.3104 | 4.8871 | 5.5348 | 6.2613 | 7.0757 |
| 15 | 4.7846 | 5.4736 | 6.2543 | 7.1379 | 8.1371 |
| 16 | 5.3109 | 6.1304 | 7.0673 | 8.1372 | 9.3576 |
| 17 | 5.8951 | 6.8660 | 7.9861 | 9.2765 | 10.7613 |
| 18 | 6.5436 | 7.6900 | 9.0243 | 10.5752 | 12.3755 |
| 19 | 7.2633 | 8.6128 | 10.1974 | 12.0557 | 14.2318 |
| 20 | 8.0623 | 9.6463 | 11.5231 | 13.7435 | 16.3665 |
| 21 | 8.9492 | 10.8038 | 13.0211 | 15.6676 | 18.8215 |
| 22 | 9.9336 | 12.1003 | 14.7138 | 17.8610 | 21.6447 |
| 23 | 11.0263 | 13.5523 | 16.6266 | 20.3616 | 24.8915 |
| 24 | 12.2392 | 15.1786 | 18.7881 | 23.2122 | 28.6252 |
| 25 | 13.5855 | 17.0001 | 21.2305 | 26.4619 | 32.9190 |
| 26 | 15.0799 | 19.0401 | 23.9905 | 30.1666 | 37.8568 |
| 27 | 16.7386 | 21.3249 | 27.1093 | 34.3899 | 43.5353 |
| 28 | 18.5799 | 23.8839 | 30.6335 | 39.2045 | 50.0656 |
| 29 | 20.6237 | 26.7499 | 34.6158 | 44.6931 | 57.5755 |
| 30 | 22.8923 | 29.9599 | 39.1159 | 50.9502 | 66.2118 |
| 31 | 25.4104 | 33.5551 | 44.2010 | 58.0832 | 76.1435 |
| 32 | 28.2056 | 37.5817 | 49.9471 | 66.2148 | 87.5651 |
| 33 | 31.3082 | 42.0915 | 56.4402 | 75.4849 | 100.6998 |
| 34 | 34.7521 | 47.1425 | 63.7774 | 86.0528 | 115.8048 |
| 35 | 38.5749 | 52.7996 | 72.0685 | 98.1002 | 133.1755 |
| 36 | 42.8181 | 59.1356 | 81.4374 | 111.8342 | 153.1519 |
| 37 | 47.5281 | 66.2318 | 92.0243 | 127.4910 | 176.1246 |
| 38 | 52.7562 | 74.1797 | 103.9874 | 145.3397 | 202.5433 |
| 39 | 58.5593 | 83.0812 | 117.5058 | 165.6873 | 232.9248 |
| 40 | 65.0009 | 93.0510 | 132.7816 | 188.8835 | 267.8635 |
| 41 | 72.1510 | 104.2171 | 150.0432 | 215.3272 | 308.0431 |
| 42 | 80.0876 | 116.2314 | 169.5488 | 245.4730 | 354.2495 |
| 43 | 88.8972 | 130.7299 | 191.5901 | 279.8392 | 407.3870 |
| 44 | 98.6759 | 146.4175 | 216.4968 | 319.0167 | 468.4950 |
| 45 | 109.5302 | 163.9876 | 244.6414 | 363.6791 | 538.7693 |
| 46 | 121.5786 | 183.6661 | 276.4448 | 414.5941 | 619.5847 |
| 47 | 134.9522 | 205.7061 | 312.3826 | 472.6373 | 712.5224 |
| 48 | 149.7970 | 230.3908 | 352.9923 | 538.8065 | 819.4007 |
| 49 | 166.2746 | 258.0377 | 398.8813 | 614.2395 | 942.3108 |
| 50 | 184.5648 | 289.0022 | 450.7359 | 700.2330 | 1,083.6574 |
表四(16%~20%利率)
| 利率 —— 期數 | 16% | 17% | 18% | 19% | 20% |
| 1 | 1.1600 | 1.1700 | 1.1800 | 1.1900 | 1.2000 |
| 2 | 1.3456 | 1.3689 | 1.3924 | 1.4161 | 1.4400 |
| 3 | 1.5609 | 1.6016 | 1.6430 | 1.6852 | 1.7280 |
| 4 | 1.8106 | 1.8739 | 1.9388 | 2.0053 | 2.0736 |
| 5 | 2.1003 | 2.1924 | 2.2878 | 2.3864 | 2.4883 |
| 6 | 2.4364 | 2.5652 | 2.6996 | 2.8398 | 2.9860 |
| 7 | 2.8262 | 3.0012 | 3.1855 | 3.3793 | 3.5832 |
| 8 | 3.2784 | 3.5115 | 3.7589 | 4.0214 | 4.2998 |
| 9 | 3.8030 | 4.1084 | 4.4355 | 4.7854 | 5.1598 |
| 10 | 4.4114 | 4.8068 | 5.2338 | 5.6947 | 6.1917 |
| 11 | 5.1173 | 5.6240 | 6.1759 | 6.7767 | 7.4301 |
| 12 | 5.9360 | 6.5801 | 7.2876 | 8.0642 | 8.9161 |
| 13 | 6.8858 | 7.6987 | 8.5994 | 9.5964 | 10.6993 |
| 14 | 7.9875 | 9.0075 | 10.1472 | 11.4198 | 12.8392 |
| 15 | 9.2655 | 10.5387 | 11.9737 | 13.5895 | 15.4070 |
| 16 | 10.7480 | 12.3303 | 14.1290 | 16.1715 | 18.4884 |
| 17 | 12.4677 | 14.4265 | 16.6722 | 19.2441 | 22.1861 |
| 18 | 14.4625 | 16.8790 | 19.6733 | 22.9005 | 26.6233 |
| 19 | 16.7765 | 19.7484 | 23.2144 | 27.2516 | 31.9480 |
| 20 | 19.4608 | 23.1056 | 27.3930 | 32.4294 | 38.3376 |
| 21 | 22.5745 | 27.0336 | 32.3238 | 38.5910 | 46.0051 |
| 22 | 26.1864 | 31.6293 | 38.1421 | 45.9233 | 55.2061 |
| 23 | 30.3762 | 37.0062 | 45.0076 | 54.6487 | 66.2474 |
| 24 | 35.2364 | 43.2973 | 53.1090 | 65.0320 | 79.4968 |
| 25 | 40.8742 | 50.6578 | 62.6686 | 77.3881 | 95.3962 |
| 26 | 47.4141 | 59.2697 | 73.9490 | 92.0918 | 114.4755 |
| 27 | 55.0004 | 69.3455 | 87.2598 | 109.5893 | 137.3706 |
| 28 | 63.8004 | 81.1342 | 102.9666 | 130.4112 | 164.8447 |
| 29 | 74.0085 | 94.9271 | 121.5005 | 155.1893 | 197.8136 |
| 30 | 85.8499 | 111.0647 | 143.3706 | 184.6753 | 237.3763 |
| 31 | 99.5859 | 129.9456 | 169.1774 | 219.7636 | 284.8516 |
| 32 | 115.5196 | 152.0364 | 199.6293 | 261.5187 | 341.8219 |
| 33 | 134.0027 | 177.8826 | 235.5625 | 311.2073 | 410.1863 |
| 34 | 155.4432 | 208.1226 | 277.9638 | 370.3366 | 492.2235 |
| 35 | 180.3141 | 243.5035 | 327.9973 | 440.7006 | 590.6682 |
| 36 | 209.1643 | 284.8991 | 387.0368 | 524.4337 | 708.8019 |
| 37 | 242.6306 | 333.3319 | 456.7034 | 624.0761 | 850.5623 |
| 38 | 281.4515 | 389.9983 | 538.9100 | 742.6506 | 1,020.6747 |
| 39 | 326.4838 | 456.2980 | 635.9139 | 883.7542 | 1,224.8096 |
| 40 | 378.7212 | 533.8687 | 750.3783 | 1,051.6675 | 1,469.7716 |
| 41 | 439.3165 | 624.6264 | 885.4464 | 1,251.4843 | 1,763.7259 |
| 42 | 509.6072 | 730.8129 | 1,044.8268 | 1,489.2664 | 2,116.4711 |
| 43 | 591.1443 | 855.0511 | 1,232.8956 | 1,772.2270 | 2,539.7653 |
| 44 | 685.7274 | 1,000.4098 | 1,454.8168 | 2,108.9501 | 3,047.7183 |
| 45 | 795.4438 | 1,170.4794 | 1,716.6839 | 2,509.6506 | 3,657.2620 |
| 46 | 922.7148 | 1,369.4609 | 2,025.6870 | 2,986.4842 | 4,388.7144 |
| 47 | 1,070.3492 | 1,602.2692 | 2,390.3106 | 3,553.9162 | 5,266.4573 |
| 48 | 1,241.6051 | 1,874.6550 | 2,820.5665 | 4,229.1603 | 6,319.7487 |
| 49 | 1,440.2619 | 2,193.3464 | 3,328.2685 | 5,032.7008 | 7,583.6985 |
| 50 | 1,670.7038 | 2,566.2153 | 3,927.3569 | 5,988.9139 | 9,100.4182 |
表五(21%~25%利率)
| 利率 —— 期數 | 21% | 22% | 23% | 24% | 25% |
| 1 | 1.2100 | 1.2200 | 1.2300 | 1.2400 | 1.2500 |
| 2 | 1.4641 | 1.4884 | 1.5129 | 1.5376 | 1.5625 |
| 3 | 1.7716 | 1.8158 | 1.8609 | 1.9066 | 1.9531 |
| 4 | 2.1436 | 2.2153 | 2.2889 | 2.3642 | 2.4414 |
| 5 | 2.5937 | 2.7027 | 2.8153 | 2.9316 | 3.0518 |
| 6 | 3.1384 | 3.2973 | 3.4628 | 3.6352 | 3.8147 |
| 7 | 3.7975 | 4.0227 | 4.2593 | 4.5077 | 4.7684 |
| 8 | 4.5950 | 4.9077 | 5.2389 | 5.5895 | 5.9605 |
| 9 | 5.5599 | 5.9874 | 6.4439 | 6.9310 | 7.4506 |
| 10 | 6.7275 | 7.3046 | 7.9259 | 8.5944 | 9.3132 |
| 11 | 8.1403 | 8.9117 | 9.7489 | 10.6571 | 11.6415 |
| 12 | 9.8497 | 10.8722 | 11.9912 | 13.2148 | 14.5519 |
| 13 | 11.9182 | 13.2641 | 14.7491 | 16.3863 | 18.1899 |
| 14 | 14.4210 | 16.1822 | 18.1414 | 20.3191 | 22.7374 |
| 15 | 17.4494 | 19.7423 | 22.3140 | 25.1956 | 28.4217 |
| 16 | 21.1138 | 24.0856 | 27.4462 | 31.2426 | 35.5271 |
| 17 | 25.5477 | 29.3844 | 33.7588 | 38.7408 | 44.4089 |
| 18 | 30.9127 | 35.8490 | 41.5233 | 48.0386 | 55.5112 |
| 19 | 37.4043 | 43.7358 | 51.0737 | 59.5679 | 69.3889 |
| 20 | 45.2593 | 53.3576 | 62.8206 | 73.8641 | 86.7362 |
| 21 | 54.7637 | 65.0963 | 77.2694 | 91.5915 | 108.4202 |
| 22 | 66.2641 | 79.4175 | 95.0413 | 113.5735 | 135.5253 |
| 23 | 80.1795 | 96.8893 | 116.9008 | 140.8312 | 169.4066 |
| 24 | 97.0172 | 118.2050 | 143.7880 | 174.6306 | 211.7582 |
| 25 | 117.3909 | 144.2101 | 176.8593 | 216.5420 | 264.6978 |
| 26 | 142.0429 | 175.9364 | 217.5369 | 268.5121 | 330.8722 |
| 27 | 171.8719 | 214.6424 | 267.5704 | 332.9550 | 413.5903 |
| 28 | 207.9651 | 261.8637 | 329.1115 | 412.8642 | 516.9879 |
| 29 | 251.6377 | 319.4737 | 404.8072 | 511.9516 | 646.2349 |
| 30 | 304.4816 | 389.7579 | 497.9129 | 634.8199 | 807.7936 |
| 31 | 368.4228 | 475.5046 | 612.4328 | 787.1767 | 1,009.7420 |
| 32 | 445.7916 | 580.1156 | 753.2924 | 976.0991 | 1,262.1774 |
| 33 | 539.4078 | 707.7411 | 926.5496 | 1,210.3629 | 1,577.7218 |
| 34 | 652.6834 | 863.4441 | 1,139.6560 | 1,500.8500 | 1,972.1523 |
| 35 | 789.7470 | 1,053.4018 | 1,401.7769 | 1,861.0540 | 2,465.1903 |
| 36 | 955.5938 | 1,285.1502 | 1,724.1856 | 2,307.7070 | 3,081.4879 |
| 37 | 1,156.2685 | 1,567.8833 | 2,120.7483 | 2,861.5567 | 3,851.8599 |
| 38 | 1,399.0849 | 1,912.8176 | 2,608.5204 | 3,548.3303 | 4,814.8249 |
| 39 | 1,692.8927 | 2,333.6375 | 3,208.4801 | 4,399.9295 | 6,018.5311 |
| 40 | 2,048.4002 | 2,847.0378 | 3,946.4305 | 5,455.9126 | 7,523.1638 |
| 41 | 2,478.5643 | 3,473.3861 | 4,854.1095 | 6,765.3317 | 9,403.9548 |
| 42 | 2,999.0628 | 4,237.5310 | 5,970.5547 | 8,389.0113 | 11,754.9435 |
| 43 | 3,628.8659 | 5,169.7878 | 7,343.7823 | 10,402.3740 | 14,693.6794 |
| 44 | 4,390.9278 | 6,307.1411 | 9,032.8522 | 12,898.9437 | 18,367.0992 |
| 45 | 5,313.0226 | 7,694.7122 | 11,110.4082 | 15,994.6902 | 22,958.8740 |
| 46 | 6,428.7574 | 9,387.5489 | 13,665.8021 | 19,833.4158 | 28,698.5926 |
| 47 | 7,778.7964 | 11,452.8096 | 16,808.9365 | 24,593.4356 | 35,873.2407 |
| 48 | 9,412.3437 | 13,972.4277 | 20,674.9920 | 30,495.8602 | 44,841.5509 |
| 49 | 11,388.9358 | 17,046.3619 | 25,430.2401 | 37,814.8666 | 56,051.9386 |
| 50 | 13,780.6123 | 20,796.5615 | 31,279.1953 | 46,890.4346 | 70,064.9232 |
表六(26%~30%利率)
| 利率 —— 期數 | 26% | 27% | 28% | 29% | 30% |
| 1 | 1.2600 | 1.2700 | 1.2800 | 1.2900 | 1.3000 |
| 2 | 1.5876 | 1.6129 | 1.6834 | 1.6641 | 1.6900 |
| 3 | 2.0004 | 2.0484 | 2.0972 | 2.1467 | 2.1970 |
| 4 | 2.5205 | 2.6014 | 2.6844 | 2.7692 | 2.8561 |
| 5 | 3.1758 | 3.3038 | 3.4360 | 3.5723 | 3.7129 |
| 6 | 4.0015 | 4.1959 | 4.3980 | 4.6083 | 4.8268 |
| 7 | 5.0419 | 5.3288 | 5.6295 | 5.9447 | 6.2749 |
| 8 | 6.3528 | 6.7675 | 7.2058 | 7.6686 | 8.1573 |
| 9 | 8.0045 | 8.5947 | 9.2234 | 9.8925 | 10.6045 |
| 10 | 10.0857 | 10.9153 | 11.8059 | 12.7614 | 13.7858 |
| 11 | 12.7080 | 13.8625 | 15.1116 | 16.4622 | 17.9216 |
| 12 | 16.0120 | 17.6053 | 19.3428 | 21.2362 | 23.2981 |
| 13 | 20.1752 | 22.3588 | 24.7588 | 27.3947 | 30.2875 |
| 14 | 25.4207 | 28.3957 | 31.6913 | 35.3391 | 39.3738 |
| 15 | 32.0301 | 36.0625 | 40.5648 | 45.5875 | 51.1859 |
| 16 | 40.3579 | 45.7994 | 51.9230 | 58.8079 | 66.5417 |
| 17 | 50.8510 | 58.1652 | 66.4614 | 75.8621 | 86.5042 |
| 18 | 64.0722 | 73.8698 | 85.0706 | 97.8622 | 112.4554 |
| 19 | 80.7310 | 93.8147 | 108.8904 | 126.2422 | 146.1920 |
| 20 | 101.7211 | 119.1446 | 139.3797 | 162.8524 | 190.0496 |
| 21 | 128.1685 | 151.3137 | 178.4060 | 210.0796 | 247.0645 |
| 22 | 161.4624 | 192.1683 | 228.3596 | 271.0027 | 321.1839 |
| 23 | 203.4804 | 244.0538 | 292.3003 | 349.5935 | 417.5391 |
| 24 | 256.3853 | 309.0483 | 374.1444 | 450.9756 | 542.8008 |
| 25 | 323.0454 | 393.6344 | 478.9049 | 581.7585 | 705.6410 |
| 26 | 407.0373 | 499.9157 | 612.9982 | 750.4685 | 917.3333 |
| 27 | 512.8670 | 634.8929 | 784.6377 | 968.1044 | 1,192.5333 |
| 28 | 646.2124 | 806.3140 | 1,004.3363 | 1,248.8546 | 1,550.2933 |
| 29 | 814.2276 | 1,024.0187 | 1,285.5504 | 1,611.0225 | 2,015.3813 |
| 30 | 1,025.9267 | 1,300.5038 | 1,645.5046 | 2,078.2190 | 2,619.9956 |
| 31 | 1,292.6677 | 1,651.6398 | 2,106.2458 | 2,680.9025 | 3,405.9943 |
| 32 | 1,628.7613 | 2,097.5826 | 2,695.9947 | 3,458.3642 | 4,427.7926 |
| 33 | 2,052.2392 | 2,663.9299 | 3,450.8732 | 4,461.2898 | 5,756.1304 |
| 34 | 2,585.8215 | 3,383.1910 | 4,417.1177 | 5,755.0639 | 7,482.9696 |
| 35 | 3,258.1350 | 4,296.6525 | 5,653.9106 | 7,424.0324 | 9,727.8604 |
| 36 | 4,105.2501 | 5,456.7487 | 7,237.0056 | 9,577.0018 | 12,646.2186 |
| 37 | 5,172.6152 | 6,930.0709 | 9,263.3671 | 12,354.3324 | 16,440.0841 |
| 38 | 6,517.4951 | 8,801.1900 | 11,857.1099 | 15,937.0888 | 21,372.1094 |
| 39 | 8,212.0438 | 11,177.5113 | 15,177.1007 | 20,558.8445 | 27,783.7422 |
| 40 | 10,347.1753 | 14,195.4393 | 19,426.6889 | 26,520.9094 | 36,118.8648 |
| 41 | 13,037.4408 | 18,028.2080 | 24,866.1618 | 34,211.9731 | 46,954.5243 |
| 42 | 16,427.1754 | 22,895.8241 | 31,828.6871 | 44,133.4453 | 61,040.8815 |
| 43 | 20,698.2410 | 29,077.6966 | 40,740.7195 | 56,932.1445 | 79,353.1460 |
| 44 | 26,079.7837 | 36928.6747 | 52,148.1210 | 73,442.4664 | 103,159.0898 |
| 45 | 32,860.5275 | 46,899.4169 | 66,749.5949 | 94,740.7816 | 134,106.8167 |
| 46 | 41,404.2646 | 59,562.2594 | 85,439.4814 | 122,215.6083 | 174,338.8617 |
| 47 | 52,169.3734 | 75,644.0695 | 109,362.5362 | 157,658.1347 | 226,640.5202 |
| 48 | 65,733.4105 | 96,067.9683 | 139,984.0464 | 203,378.9938 | 294,632.6763 |
| 49 | 82,824.0972 | 122,006.3197 | 179,179.5794 | 262,358.9020 | 383,022.4792 |
| 50 | 104,358.3625 | 154,948.0260 | 229,349.8616 | 338,442.9836 | 497,929.2230 |
表七(31%~35%利率)
| 利率 —— 期數 | 31% | 32% | 33% | 34% | 35% |
| 1 | 1.3100 | 1.3200 | 1.3300 | 1.3400 | 1.3500 |
| 2 | 1.7161 | 1.7424 | 1.7689 | 1.7956 | 1.8225 |
| 3 | 2.2481 | 2.2999 | 2.3526 | 2.4061 | 2.4604 |
| 4 | 2.9450 | 3.0360 | 3.1290 | 3.2242 | 3.3215 |
| 5 | 3.8579 | 4.0075 | 4.1616 | 4.3204 | 4.4840 |
| 6 | 5.0539 | 5.2899 | 5.5349 | 5.7893 | 6.0534 |
| 7 | 6.6206 | 6.9826 | 7.3614 | 7.7577 | 8.1722 |
| 8 | 8.6730 | 9.2170 | 9.7907 | 10.3953 | 11.0324 |
| 9 | 11.3617 | 12.1665 | 13.0216 | 13.9297 | 14.8937 |
| 10 | 14.8838 | 16.0598 | 17.3187 | 18.6659 | 20.1066 |
| 11 | 19.4977 | 21.1989 | 23.0339 | 25.0113 | 27.1439 |
| 12 | 25.5420 | 27.9825 | 30.6351 | 33.5164 | 36.6442 |
| 13 | 33.4601 | 36.9370 | 40.7447 | 44.9120 | 49.4697 |
| 14 | 43.8327 | 48.7568 | 54.1905 | 60.1821 | 66.7841 |
| 15 | 57.4208 | 64.3590 | 72.0733 | 80.6440 | 90.1585 |
| 16 | 75.2213 | 84.9538 | 95.8575 | 108.0629 | 121.7139 |
| 17 | 98.5399 | 112.1390 | 127.4905 | 144.8043 | 164.3138 |
| 18 | 129.0872 | 148.0235 | 169.5624 | 194.0378 | 221.8236 |
| 19 | 169.1043 | 195.3911 | 225.5180 | 260.0107 | 299.4619 |
| 20 | 221.5266 | 257.9162 | 299.9389 | 348.4143 | 404.2736 |
| 21 | 290.1999 | 340.4494 | 398.9188 | 466.8752 | 545.7693 |
| 22 | 380.1618 | 449.3932 | 530.5620 | 625.6127 | 736.7886 |
| 23 | 498.0120 | 593.1990 | 705.6474 | 838.3210 | 994.6646 |
| 24 | 652.3957 | 783.0227 | 938.5110 | 1,123.3502 | 1,342.7973 |
| 25 | 854.6384 | 1,033.5900 | 1,248.2197 | 1,505.2892 | 1,812.7763 |
| 26 | 1,119.5763 | 1,364.3387 | 1,660.1322 | 2,017.0876 | 2,447.2480 |
| 27 | 1,466.6449 | 1,800.9271 | 2,207.9758 | 2,702.8974 | 3,303.7848 |
| 28 | 1,921.3048 | 2,377.2238 | 2,936.6078 | 3,621.8825 | 4,460.1095 |
| 29 | 2,516.9093 | 3,137.9354 | 3,905.6884 | 4,853.3225 | 6,021.1478 |
| 30 | 3,297.1512 | 4,142.0748 | 5,194.5655 | 6,503.4522 | 8,128.5495 |
| 31 | 4,319.2681 | 5,467.5387 | 6,908.7722 | 8,714.6259 | 10,973.5418 |
| 32 | 5,658.2413 | 7,217.1511 | 9,188.6670 | 11,677.5987 | 14,814.2815 |
| 33 | 7,412.2960 | 9,526.6395 | 12,220.9271 | 15,647.9823 | 19,999.2800 |
| 34 | 9,710.1078 | 12,575.1641 | 16,253.8330 | 20,968.2963 | 26,999.0280 |
| 35 | 12,720.2412 | 16,599.2166 | 21,617.5979 | 28,097.5170 | 36,448.6878 |
| 36 | 16,663.5160 | 21,910.9659 | 28,751.4052 | 37,650.6728 | 49,205.7285 |
| 37 | 21,829.2060 | 28,922.4750 | 38,239.3689 | 50,451.9015 | 66,427.7335 |
| 38 | 28,596.2599 | 38,177.6670 | 50,858.3606 | 67,705.5481 | 89,677.4402 |
| 39 | 37,461.1004 | 50,394.5205 | 67,641.6196 | 90,591.4344 | 121,064.5442 |
| 40 | 49,074.0415 | 66,520.7670 | 89,963.3541 | 121,392.5221 | 163,437.1347 |
| 41 | 64,286.9944 | 87,807.4125 | 119,651.2609 | 162,665.9796 | 220,640.1318 |
| 42 | 84,215.9627 | 115,905.7845 | 159,136.1770 | 217,972.4127 | 297,864.1780 |
| 43 | 110,322.9111 | 152,995.6355 | 211,651.1154 | 292,083.0330 | 402,116.6402 |
| 44 | 144,523.0136 | 201,954.2388 | 281,495.9835 | 391,391.2642 | 542,857.4643 |
| 45 | 189,325.1478 | 266,579.5953 | 374,389.6581 | 524,464.2940 | 732,857.5768 |
| 46 | 248,015.9436 | 351,885.0658 | 497,938.2452 | 702,782.1540 | 989,357.7287 |
| 47 | 324,900.8861 | 464,488.2868 | 662,257.8662 | 941,728.0864 | 1,335,632.9338 |
| 48 | 425,620.1608 | 614,124.5386 | 880,802.9620 | 1,261,915.6358 | 1,803,104.4606 |
| 49 | 557,562.4107 | 809,324.3909 | 1,171,467.9394 | 1,690,966.9519 | 2,434,191.0218 |
| 50 | 730,406.7580 | 1,068,308.1960 | 1,558,052.3594 | 2,265,895.7156 | 3,286,157.8794 |
表八(36%~40%利率)
| 利率 —— 期數 | 36% | 37% | 38% | 39% | 40% |
| 1 | 1.3600 | 1.3700 | 1.3800 | 1.3900 | 1.4000 |
| 2 | 1.8496 | 1.8769 | 1.9044 | 1.9321 | 1.9600 |
| 3 | 2.5155 | 2.5714 | 2.6281 | 2.6856 | 2.7440 |
| 4 | 3.4210 | 3.5228 | 3.6267 | 3.7330 | 3.8416 |
| 5 | 4.6526 | 4.8262 | 5.0049 | 5.1889 | 5.3782 |
| 6 | 6.3275 | 6.6119 | 6.9068 | 7.2125 | 7.5295 |
| 7 | 8.6054 | 9.0582 | 9.5313 | 10.0254 | 10.5414 |
| 8 | 11.7034 | 12.4098 | 13.1532 | 13.9354 | 14.7579 |
| 9 | 15.9166 | 17.0014 | 18.1515 | 19.3702 | 20.6610 |
| 10 | 21.6466 | 23.2919 | 25.0490 | 26.9245 | 28.9255 |
| 11 | 29.4393 | 31.9100 | 34.5677 | 37.4251 | 40.4957 |
| 12 | 40.0375 | 43.7166 | 47.7034 | 52.0209 | 56.6939 |
| 13 | 54.4510 | 59.8918 | 65.8306 | 72.3090 | 79.3915 |
| 14 | 74.0535 | 82.0517 | 90.8463 | 100.5095 | 111.1201 |
| 15 | 100.7126 | 112.4109 | 125.3679 | 139.7082 | 155.5681 |
| 16 | 136.9691 | 154.0030 | 173.0077 | 194.1944 | 217.7953 |
| 17 | 186.2779 | 210.9841 | 238.7506 | 269.9303 | 304.9135 |
| 18 | 253.3380 | 289.0482 | 329.4758 | 375.2031 | 426.8789 |
| 19 | 344.5396 | 395.9960 | 454.6766 | 521.5323 | 597.6304 |
| 20 | 468.5740 | 542.5145 | 627.4538 | 724.9299 | 836.6826 |
| 21 | 637.2606 | 743.2449 | 865.8862 | 1,007.6525 | 1,171.3556 |
| 22 | 866.6744 | 1,018.2454 | 1,194.9229 | 1,400.6370 | 1,639.8978 |
| 23 | 1,178.6772 | 1,394.9963 | 1,648.9937 | 1,946.8855 | 2,295.8569 |
| 24 | 1,603.0010 | 1,911.1449 | 2,275.6113 | 2,706.1708 | 3,214.1997 |
| 25 | 2,180.0813 | 2,618.2685 | 3,761.5774 | 3,761.5774 | 4,499.7958 |
| 26 | 2,964.9107 | 3,587.0278 | 4,333.6741 | 5,228.5926 | 6,299.8314 |
| 27 | 4,032.2786 | 4,914.2281 | 5,980.4702 | 7,267.7438 | 8,819.7640 |
| 28 | 5,483.8988 | 6,732.4925 | 8,253.0489 | 10,102.1638 | 12,347.6696 |
| 29 | 7,458.1024 | 9,223.5150 | 11,389.2075 | 14,042.0077 | 17,286.7374 |
| 30 | 10,143.0192 | 12,636.2153 | ·15,717.1064 | 19,518.3907 | 24,201.4323 |
| 31 | 13,794.5062 | 17,311.6149 | 21,689.6068 | 27,130.5631 | 33,882.0053 |
| 32 | 18,760.5285 | 23,716.9124 | 29,931.6574 | 37,711.4827 | 47,434.8074 |
| 33 | 25,514.3187 | 32,492.1700 | 41,305.6871 | 52,418.9610 | 66,408.7304 |
| 34 | 34,699.4735 | 44,514.2728 | 57,001.8483 | 72,862.3558 | 92,972.2226 |
| 35 | 47,191.2839 | 60,984.5538 | 78,662.5506 | 101,278.6745 | 130,161.1116 |
| 36 | 64,180.1461 | 83,548.8387 | 108,554.3198 | 140,777.3576 | 182,225.5562 |
| 37 | 87,284.9987 | 114,461.9090 | 149,804.9613 | 195,680.5270 | 255,115.7786 |
| 38 | 118,707.5982 | 156,812.8153 | 206,730.8466 | 271,995.9326 | 357,162.0901 |
| 39 | 161,442.3336 | 214,833.5570 | 285,288.5684 | 378,074.3463 | 500,026.9261 |
| 40 | 219,561.5736 | 294,321.9731 | 393,698.2244 | 525,523.3413 | 700,037.6966 |
| 41 | 298,603.7402 | 403,221.1031 | 543,303.5496 | 730,477.4445 | 980,052.7752 |
| 42 | 406,101,0866 | 552,412.9113 | 749,758.8985 | 1,015,363.6478 | 1,372,073.8853 |
| 43 | 552,297.4778 | 756,805.6884 | 1,034,667.2800 | 1,411,355.4704 | 1,920,903.4394 |
| 44 | 751,124.5698 | 1,036,823.7932 | 1,427,840.8462 | 1,961,784.1039 | 2,689,264.8152 |
| 45 | 1,029,529.4149 | 1,420,448.5966 | 1,970,420.3678 | 2,726,879.9044 | 3,764,970.7413 |
| 46 | 1,389,280.0043 | 1,946,014.5774 | 2,719,180.1075 | 3,790,363.0672 | 5,270,959.0378 |
| 47 | 1,889,420.8509 | 2,666,039.9710 | 3,752,468.5484 | 5,268,604.6634 | 7,379,342.6530 |
| 48 | 2,569,612.2960 | 3,652,474.7603 | 5,178,406.5968 | 7,323,360.4821 | 10,331,079.7142 |
| 49 | 3,494,672.7225 | 5,003,890.4215 | 7,146,201.1035 | 10,179,471.0701 | 14,463,511.5998 |
| 50 | 4,752,754.9027 | 6,855,329.8775 | 9,861,757.5229 | 14,149,464.7874 | 20,248,916.239 |
表九(41%~45%利率)
| 利率 —— 期數 | 41% | 42% | 43% | 44% | 45% |
| 1 | 1.4100 | 1.4200 | 1.4300 | 1.4400 | 1.4500 |
| 2 | 1.9881 | 2.0164 | 2.0449 | 2.0736 | 2.1025 |
| 3 | 2.8032 | 2.8633 | 2.9242 | 2.9860 | 3.0486 |
| 4 | 3.9525 | 4.0659 | 4.1816 | 4.2998 | 4.4205 |
| 5 | 5.5731 | 5.7735 | 5.9797 | 6.1917 | 6.4097 |
| 6 | 7.8580 | 8.1984 | 8.5510 | 8.9161 | 9.2941 |
| 7 | 11.0798 | 8.5510 | 12.2279 | 12.8392 | 13.4765 |
| 8 | 15.6226 | 16.5313 | 17.4859 | 18.4884 | 19.5409 |
| 9 | 22.0278 | 23.4744 | 25.0049 | 26.6233 | 28.3342 |
| 10 | 31.0593 | 33.3337 | 35.7569 | 38.3376 | 41.0847 |
| 11 | 43.7396 | 47.3338 | 51.1324 | 55.2061 | 59.5728 |
| 12 | 61.7489 | 67.2141 | 73.1194 | 79.4968 | 86.3806 |
| 13 | 87.0660 | 95.4440 | 104.5607 | 114.4755 | 125.2518 |
| 14 | 122.7630 | 135.5304 | 149.5218 | 164.8447 | 181.6151 |
| 15 | 173.0959 | 192.4532 | 213.8162 | 237.3763 | 263.3419 |
| 16 | 244.0652 | 273.2836 | 305.7571 | 341.8219 | 381.8458 |
| 17 | 344.1319 | 388.0627 | 437.2327 | 492.2235 | 553.6764 |
| 18 | 485.2260 | 551.0490 | 625.2428 | 708.8019 | 802.8308 |
| 19 | 684.1686 | 782.4895 | 894.0972 | 1,020.6747 | 1,164.1047 |
| 20 | 964.6777 | 1,111.1351 | 1,278.5589 | 1,469.7716 | 1,687.9518 |
| 21 | 1,360.1956 | 1,577.8119 | 1,828.3393 | 2,116.4711 | 2,447.5301 |
| 22 | 1,917.8758 | 2,240.4929 | 2,614.5252 | 3,047.7183 | 3,548.9187 |
| 23 | 2,704.2049 | 3,181.5000 | 3,738.7710 | 4,388.7144 | 5,145.9321 |
| 24 | 3,812.9289 | 4,517.7299 | 5,346.4425 | 6,319.7847 | 7,461.6015 |
| 25 | 5,376.2297 | 6,415.1765 | 7,645.4128 | 9,100.4382 | 10,819.3222 |
| 26 | 7,580.4839 | 9,109.5506 | 10,932.9402 | 13,104.6309 | 15,688.0173 |
| 27 | 10,688.4823 | 12,935.5619 | 15,634.1045 | 18,870.6686 | 22,747.6250 |
| 28 | 15,070.7600 | 18,368.4979 | 22,356.7695 | 27,173.7627 | 32,984.0563 |
| 29 | 21,249.7716 | 26,083.2670 | 31,970.1804 | 39,130.2183 | 47,826.8816 |
| 30 | 29,962.1780 | 37,038.2392 | 45,717.3579 | 56,347.5144 | 69,348.9783 |
| 31 | 42,246.6710 | 52,594.2996 | 65,375.8218 | 81,140.4207 | 100,556.0185 |
| 32 | 59,567.8061 | 74,683.9054 | 93,487.4252 | 116,842.2058 | 145,806.2269 |
| 33 | 83,990.6066 | 106,051.1457 | 133,687.0181 | 168,252.7762 | 211,419.0289 |
| 34 | 118,426.7552 | 150,592.6269 | 191,172.4358 | 242,283.9979 | 306,557.5920 |
| 35 | 166,981.7249 | 213,841.5302 | 273,376.5833 | 348,888.9569 | 444,508.5083 |
| 36 | 235,444.2321 | 303,654.9728 | 390,928.5141 | 502,400.0980 | 644,537.3371 |
| 37 | 331,976.3673 | 431,190.0614 | 559,027.7751 | 723,456.1411 | 934,579.1388 |
| 38 | 468,086.6778 | 612,289.8872 | 799,409.7184 | 1,041,776.8432 | 1,355,139.7513 |
| 39 | 660,002.2158 | 869,451.6399 | 1,143,155.8973 | 1,500,158.6542 | 1,964,952.6393 |
| 40 | 930,603.1242 | 1,234,621.3286 | 1,634,712.9332 | 2,160,228.4620 | 2,849,181.3270 |
| 41 | 1,312,150.4052 | 1,753,162.2866 | 2,337,639.4945 | 3,110,728.9853 | 4,131,312.9242 |
| 42 | 1,850,132.0713 | 2,489,490.4470 | 3,342,824.4771 | 4,479,449.7388 | 5,990,403.7400 |
| 43 | 2,608,686.2205 | 3,535,076.4348 | 4,780,239.0022 | 6,450,407.6239 | 8,686,085.4230 |
| 44 | 3,678,247.5709 | 5,019,808.5374 | 6,835,741.7732 | 9,288,586.9784 | 12,594,823.8634 |
| 45 | 5,186,329.0750 | 7,128,128.1231 | 9,775,110.7357 | 13,375,565.2489 | 18,262,494.6019 |
| 46 | 7,312,623.9957 | 10,121,941.9348 | 13,978,408.3520 | 19,260,813.9585 | 26,480,617.1729 |
| 47 | 10,310,940.8339 | 14,373,157.5474 | 19,989,123.9434 | 27,735,572.1001 | 38,396,894.9007 |
| 48 | 14,538,426.5758 | 20,409,883.7173 | 28,584,447.2390 | 39,939,223.8242 | 55,675,497.6060 |
| 49 | 20,499,181.4719 | 28,982,034.8786 | 40,875,759.5516 | 57,512,482.3069 | 80,729,471.5287 |
| 50 | 28,903,845.8754 | 41,154,489.5276 | 58,452,336.1591 | 82,817,974.5219 | 117,057,733.7166 |
表十(46%~50%利率)
| 利率 —— 期數 | 46% | 47% | 48% | 49% | 50% |
| 1 | 1.4600 | 1.4700 | 1.4800 | 1.4900 | 1.5000 |
| 2 | 2.1316 | 2.1609 | 2.1904 | 2.2201 | 2.2500 |
| 3 | 3.1121 | 3.1765 | 3.2418 | 3.3079 | 3.3750 |
| 4 | 4.5437 | 4.6695 | 4.7979 | 4.9288 | 5.5625 |
| 5 | 6.6338 | 6.8641 | 7.1008 | 7.3440 | 7.5938 |
| 6 | 9.6854 | 10.0903 | 10.5092 | 10.9425 | 11.3906 |
| 7 | 14.1407 | 14.8327 | 15.5537 | 16.3044 | 17.0859 |
| 8 | 20.6454 | 21.8041 | 23.0194 | 24.2935 | 25.6289 |
| 9 | 30.1423 | 32.0521 | 34.0687 | 36.1973 | 38.4434 |
| 10 | 44.0077 | 47.1165 | 50.4217 | 53.9340 | 57.6650 |
| 11 | 64.2512 | 69.2613 | 74.6241 | 80.3617 | 86.4976 |
| 12 | 93.8068 | 101.8141 | 110.4436 | 119.7389 | 129.7463 |
| 13 | 136.9579 | 149.6668 | 163.4565 | 178.4109 | 194.6195 |
| 14 | 199.9586 | 220.0101 | 241.9157 | 265.8323 | 291.9293 |
| 15 | 291.9395 | 323.4149 | 358.0352 | 396.0901 | 437.8939 |
| 16 | 426.2316 | 475.4199 | 529.8921 | 590.1743 | 656.8408 |
| 17 | 622.2982 | 698.8673 | 784.2403 | 879.3597 | 985.2613 |
| 18 | 908.5554 | 1,027.3349 | 1,160.6757 | 1,310.2460 | 1,477.8919 |
| 19 | 1,326.4909 | 1,510.1822 | 1,717.8000 | 1,952.2665 | 2,216.8378 |
| 20 | 1,936.6766 | 2,219.9679 | 2,542.3440 | 2,908.8771 | 3,325.2567 |
| 21 | 2,824.5479 | 3,263.3528 | 3,762.6691 | 4,334.2268 | 4,987.8850 |
| 22 | 4,128.2199 | 4,797.1286 | 5,568.7502 | 6,457.9980 | 7,481.8276 |
| 23 | 6,027.2011 | 7,051.7791 | 8,241.7503 | 9,622.4170 | 11,222.7415 |
| 24 | 8,799.7136 | 10,366.1153 | 12,197.7905 | 14,337.4013 | 16,834.1122 |
| 25 | 12,847.5819 | 15,238.1895 | 18,052.7299 | 21,362.7280 | 25,251.1683 |
| 26 | 18,757.4696 | 22,400.1385 | 26,718.0403 | 31,830.4647 | 37,876.7524 |
| 27 | 27,385.9056 | 32,928.2386 | 39,542.6996 | 47,427.3924 | 56,815.1287 |
| 28 | 39,983.4221 | 48,404.4593 | 58,523.1954 | 70,666.8146 | 85,222.6930 |
| 29 | 58,375.7963 | 71,154.5551 | 86,614.3292 | 105,293.5538 | 127,834.0395 |
| 30 | 85,228.6626 | 104,597.1960 | 128,189.2073 | 156,887.3952 | 191,751.0592 |
| 31 | 124,433.8474 | 153,757.8782 | 189,720.0268 | 233,762.2188 | 287,626.5888 |
| 32 | 181,673.4172 | 226,024.0809 | 280,785.6396 | 348,305.7060 | 431,439.8833 |
| 33 | 265,243.1891 | 332,255.3989 | 415,562.7466 | 518,975.5019 | 647,159.8249 |
| 34 | 387,255.0561 | 488,415.4364 | 615,032.8650 | 773,273.4979 | 970,739.7374 |
| 35 | 565,382.3818 | 717,970.6916 | 910,248.6402 | 1,152,177.5118 | 1,456,109.6060 |
| 36 | 825,472.8775 | 1,055,416.9166 | 1,347,167.9875 | 1,716,744.4926 | 2,184,164.4091 |
| 37 | 1,205,190.4011 | 1,551,462.8674 | 1,993,808.6215 | 2,557,949.2940 | 3,276,246.6136 |
| 38 | 1,759,577.9856 | 2,280,650.4151 | 2,950,836.7598 | 3,811,344.4481 | 4,914,369.9204 |
| 39 | 2,568,983.8590 | 3,352,556.1102 | 4,367,238.4045 | 5,678,903.2277 | 7,371,554.8806 |
| 40 | 3,750,716.4342 | 4,928,257.4821 | 6,463,512.8387 | 8,461,565.8093 | 11,057,332.3209 |
| 41 | 5,476,045.9939 | 7,244,538.4986 | 9,565,999.0012 | 12,607,733.0558 | 16,585,998.4814 |
| 42 | 7,995,027.1511 | 10,649,471.5930 | 14,157,678.5218 | 18,785,522.2531 | 24,878,997.7221 |
| 43 | 11,672,739.6405 | 15,654,723.2417 | 20,953,364.2123 | 27,990,428.1572 | 37,318,496.5832 |
| 44 | 17,042,199.8752 | 23,012,443.1652 | 31,010,979.0342 | 41,705,737.9542 | 55,977,744.8747 |
| 45 | 24,881,611.8177 | 33,828,291.4529 | 45,896,248.9706 | 62,141,549.5517 | 83,966,617.3121 |
| 46 | 36,327,153.2539 | 49,727,588.4357 | 67,926,448.4765 | 92,590,908.8321 | 125,949,925.9681 |
| 47 | 53,037,643.7507 | 73,099,555.0007 | 100,531,143.7453 | 137,960,454.1598 | 188,924,888.9522 |
| 48 | 77,434,959.8762 | 107,456,345.8511 | 148,786,092.7430 | 205,561,076.6982 | 283,387,333.4283 |
| 49 | 113,055,041.4189 | 157,960,828.4011 | 220,203,417.2597 | 306,286,004.2803 | 425,081,000.1424 |
| 50 | 165,060,360.4716 | 232,202,417.7496 | 325,901,057.5443 | 456,050,366.3776 | 637,621,500.2135 |
插值法
概念
插值法,是指在係數表中找不到對應利率,但想知道對應利率時利用的一種求名義利率的方法。之所以說求得的是名義利率而非實際利率,是因為在求這個利率時沒有(也無法)考慮通貨膨脹率、貨幣實際貶值率等因素的數據。
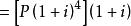
公式
複利終值這樣可以立即知道所求的利率。
套用
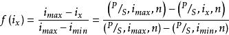
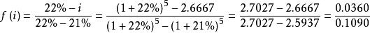
假設老張投入資金150000元進行理財,希望獲得額外收益250000元。該筆投資期限為5年,按年計息,那么老張期望的終值係數應該不低於:
複利終值則老張期望的年化收益率應該不低於:
複利終值
複利終值
複利終值
複利終值求得利率(這裡就是年化收益率)i的值至少為,即,得出,換句話說,老張的理財投資的年化收益率不得低於21.67%(保留四位小數),否則老張是不願意去做這一理財產品的。

