鬼臼毒素
【產品名稱】鬼臼毒素
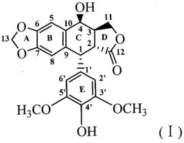
【化學名稱】5R-5,8,8a,9-四氫-9-羥-5-(3,4,5-三甲氧苯基)呋喃(3',4':6,7)萘並-[2,3-d]-1,3-間二氧雜環烯-6(5aH)-酮
【CAS號】518-28-5
【理化性質】白色針狀結晶粉末。易溶於氯仿、丙酮、乙酸乙酯和苯,可溶于于乙醇,乙醚,不溶於水。
桃兒七【規格】98%,99%(和霖生物)
【功能與主治】鬼臼毒素針對尖銳濕疣、多發性淺表性上皮瘤病(如多發性淺表性或浸潤性基底細胞上皮瘤,鱗狀細胞上皮瘤和基底鱗狀細胞上皮瘤),前上皮瘤性角化病,脂溢性角化、日光性角化和射線角化病,幼年喉頭乳頭瘤、疣(尋常疣、絲狀疣)。
鬼臼毒素酊:
【用法及用量】
1.病變部位周圍以凡士林保護,避免藥液污染,或治療部位塗藥後立即以滑石粉撒布。
2.以牙籤或玻璃棒蘸藥液後,先滴一滴,乾後再滴,使藥液病損,保留1~6小時,隨後以肥皂和水洗淨,如藥液含安息香酊,以酒精棉球擦淨,塗藥後立即洗手。兩次治療間隔至少7天,可治療4次,如仍無效,需更換其他療法。通常套用濃度為25%,大面積損害(〉10~20cm)套用5%~10%濃度。
3.對尖銳濕疣,使用10%~25%溶液,保持1~6小時,每周1次,共4次。
4.對多發性淺表性上皮瘤病或前上皮瘤性角化病,以25%溶液外塗,每日1次,連續數天。
5.對幼年喉頭乳頭瘤,外用以等量95%酒精稀釋至12.5%,每日1次,當損害縮小時,可延長間隔塗藥。
不良反應和注意
外用和誤服可引起嚴重系統性毒性作用,通常是可逆的,但亦有致死的。口服本品300mg即可致死。大面積外塗、過量塗搽、較長時間塗用可發生嚴重毒性反應。本品塗在鬆脆、出血或新近活檢疣的部位或將本品塗在病變部位周圍的正常皮膚或黏膜,可增加系統中毒的危險。外用可發生腎功能衰竭和肝臟中毒(血清乳酸脫氫酶、門冬氨酸氨基轉移酶和鹼性磷酸增高)。神經系統反應發生較遲,持續時間較長,腦中毒可表現觸性皮炎,系統性中毒的初起症狀有腹疼或胃部疼痛、手腳不靈活覺、噁心、嘔吐、腹瀉,嚴重者或日久,可致白細胞及血小板減少,系統中毒的延緩症狀有植物神經紊亂,如排尿困難、尿痛、頭暈或頭輕感(特別從坐位或臥位起立時),心跳加快、呼吸困難、倦睡、麻痹性腸梗阻(便秘、噁心、嘔吐、胃痛)、周圍神經病變(麻木、刺痛、疼痛或手足軟弱)、抽搐。本品可有交叉過敏反應。
是否醫保用藥:非醫保
是否非處方藥:處方
其它:本品可有交叉過敏反應,對安息香不耐吸收,能穿過胎盤,因有致畸作用,孕婦禁用。勿接觸眼睛和黏膜。
2.

