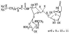
衣黴素衣黴素tunicamycin 。
可抑制具有被膜(envelope,含糖蛋白)的病毒的繁殖。
作用機理是抑制合成糖蛋白糖鏈必需的擬脂(多萜醇,dolichol)中間產物的生成。比如:在天冬醯胺的糖蛋白糖鏈的生物合成中,抑制N-乙醯葡萄糖胺-1-磷酸 轉移到脂質載體上。。又因為它可抑制在合成細菌細胞壁的肽聚糖或胞壁酸中必需的擬脂(細菌萜醇,多聚萜醇)中間產物的形成,所以顯示對革蘭氏陽性菌的抗菌性。利用這種抑制擬脂中間產物形成的作用,來探索糖類複合物的活體合成及其功能。

衣黴素tunicamycin,為放線菌 Streptomyces lysosuperficus產生的核苷酸抗生素。可抑制具有被膜(envelope,含糖蛋白)的病毒的繁殖。
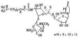
衣黴素衣黴素tunicamycin 。
可抑制具有被膜(envelope,含糖蛋白)的病毒的繁殖。
作用機理是抑制合成糖蛋白糖鏈必需的擬脂(多萜醇,dolichol)中間產物的生成。比如:在天冬醯胺的糖蛋白糖鏈的生物合成中,抑制N-乙醯葡萄糖胺-1-磷酸 轉移到脂質載體上。。又因為它可抑制在合成細菌細胞壁的肽聚糖或胞壁酸中必需的擬脂(細菌萜醇,多聚萜醇)中間產物的形成,所以顯示對革蘭氏陽性菌的抗菌性。利用這種抑制擬脂中間產物形成的作用,來探索糖類複合物的活體合成及其功能。
本品為薄膜衣片,除去薄膜衣後,顯白色或類白色。主要成分為乳糖酸克拉黴素,適用於對其敏感的致病菌引起感染。最常見的不良反應是胃腸不適,如噁心、消化不良、腹...
藥物介紹 藥理毒理 藥動力學 適應症狀 用法用量省市:安徽-阜陽藥品通用名:克拉黴素片(薄膜衣)藥品商品名:甲力劑型:薄膜衣片規格:0.25g×6包裝:盒單位:中標價(元):18.5中標企業:麗珠集團...
"[商標/商品名]:克林黴素磷酸酯注射液[產品類型]:抗感染藥
多西黴素又名多西環多西黴素為土黴素經6α-位上脫氧而得到的一種半合成四環素類抗生素,製劑為鹽酸鹽。其機制與四環素相同,主要是干擾敏感菌的蛋白質合成。它可...
藥品信息 藥理作用 藥代動力學 適應證 禁忌證利福黴素鈉 ,藥物別名: 利福黴素SV,英文名稱: Rifamycin Sodium。抗生素類藥物,用於結核桿菌感染的疾病和重症耐甲氧西林金黃色葡萄球菌...
基本信息 藥理作用 動力學 適應症 用法用量寧南黴素是中國科學院成都生物研究所歷經七五、八五、九五國家科技攻關並研製成功的專利技術產品,這種菌是在四川省寧南縣土壤分離而得,為首次發現的胞嘧啶核苷肽...
概述 基本信息 優點 防治類型 注意事項克拉黴素緩釋片,本品主要成份為克拉黴素,其化學名稱為:6-0-甲基紅黴素。藥品為薄膜衣片,除去薄膜衣後片芯顯白色或類白色。適應症為克拉黴素緩釋片適用於對...
功能主治 用法用量 不良反應 藥理作用 相互作用克拉黴素顆粒劑屬大環內酯類抗生素,其機制是通過阻礙細胞核蛋白50S亞基的聯結,抑制蛋白質的合成而產生抑菌作用,對革蘭氏陽性菌,如金黃色葡萄球菌、鏈球菌、...
藥品介紹 注意事項克拉黴素乾糖漿,適用於克拉黴素敏感菌所引起的下列感染: 1.鼻咽部感染:包括扁桃體炎、咽炎、副鼻竇炎。 2.下呼吸道感染:包括支氣管炎、細菌性肺炎、非典...
成份 適應症 用法用量 不良反應 禁忌