定義
具有一定速度的運動物體, 向著靜止的構件衝擊時, 衝擊物的速度在很短的時間內發生了很大變化, 即衝擊物得到了很大的負值加速度。 這表明, 衝擊物受到與其運動方向相反的很大的力作用。 同時, 衝擊物也將很大的力施加於被衝擊的構件上, 這種力在工程上稱為 “衝擊力”或“衝擊載荷”(impact load)。
衝擊載荷計算方法
現以簡支梁為例, 說明衝擊載荷的計算方法。如上圖所示之簡支梁, 在其上方高度h處, 有一重量為W
的物體自由下落後,衝擊在梁的中點。
在衝擊過程中, 構件上的應力和變形分布比較複雜, 因此,精確地計算衝擊載荷, 以及被衝擊構件中由衝擊載荷引起的應力和變形是很困難的。 工程中大都採用簡化計算方法, 它以如下假設為前提:
(1)假設衝擊物的變形忽略不計, 即認為衝擊物是剛體。 從開始衝擊到衝擊產生最大位移時, 衝擊物與被衝擊構件一起運動, 而不發生回彈。
(2)忽略被衝擊構件的質量, 認為衝擊載荷引起的應力和變形在衝擊瞬間遍及被衝擊構件;並假設被衝擊構件仍處在彈性範圍內。
(3)假設衝擊過程中沒有其他形式的能量轉換, 機械能守恆定律仍成立。
運動過程:
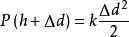
衝擊載荷對應的能量轉換: 重物的機械能(勢能)轉換為桿件彈性能
機械能:E=P(h+△d)
衝擊載荷應變能:
衝擊載荷衝擊載荷位移方程:
衝擊載荷衝擊位移:
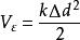
衝擊載荷最大衝擊載荷:
相關內容
衝擊試驗
是在衝擊載荷作用下,用於測定材料抗沖性能的方法。衝擊強度是評價材料抵抗衝擊能力或判斷材料脆性與韌性程度的量度。抗衝擊性能是難於準確表征力學參數之一,即使是用標準試樣及標準實驗方法,也只能得出在特定條件下只有相對比較意義的實驗結果。高分子材料衝擊試驗的方法有擺錘式、落錘式和拉伸衝擊式。
衝擊斷裂形式
主要分塑性和脆性兩大類。在衝擊下的塑性斷裂有明顯的屈服的現象,是在頸縮中斷裂。脆性斷裂是一種多裂口斷裂,有細小尖片,並有表面光滑的區域。衝擊中首批活動裂紋,瞬時轉變成不穩定生長的裂縫,觸發斷裂。無定形聚合物的斷裂斷面上,除光滑的鏡面外,其餘為較粗糙的指紋狀。結晶型聚合物的斷裂斷面,多數呈麻紋狀態。
落錘式衝擊儀能改變落錘重量和高度,將板狀或片狀試樣擊成開裂或斷裂,也適用於泡沫塑膠的抗衝擊性能分析。它是一種平板彎曲的衝擊試驗。儀器化的落錘衝擊儀,能測出衝擊能量,還能落得試樣材料的衝擊應力-應變曲線。

