衍射
衍射(英語:diffraction)是指波遇到障礙物時偏離原來直線傳播的物理現象。
在經典物理學中,波在穿過狹縫、小孔或圓盤之類的障礙物後會發生不同程度的彎散傳播。假設將一個障礙物置放在光源和觀察屏之間,則會有光亮區域與陰晦區域出現於觀察屏,而且這些區域的邊界並不銳利,是一種明暗相間的複雜圖樣。這現象稱為衍射,當波在其傳播路徑上遇到障礙物時,都有可能發生這種現象。除此之外,當光波穿過折射率不均勻的介質時,或當聲波穿過聲阻抗(acoustic impedance)不均勻的介質時,也會發生類似的效應。在一定條件下,不僅水波、光波能夠產生肉眼可見的衍射現象,其他類型的電磁波(例如X射線和無線電波等)也能夠發生衍射。由於原子尺度的實際物體具有類似波的性質,它們也會表現出衍射現象,可以通過量子力學進行研究其性質。
在適當情況下,任何波都具有衍射的固有性質。然而,不同情況中波發生衍射的程度有所不同。如果障礙物具有多個密集分布的孔隙,就會造成較為複雜的衍射強度分布圖樣。這是因為波的不同部分以不同的路徑傳播到觀察者的位置,發生波疊加而形成的現象。
衍射的形式論還可以用來描述有限波(量度為有限尺寸的波)在自由空間的傳播情況。例如,雷射束的發散性質、雷達天線的波束形狀以及超音波感測器的視野範圍都可以利用衍射方程來加以分析。
光的衍射
光在傳播路徑中,遇到不透明或透明的障礙物或者小孔(窄縫),繞過障礙物,產生偏離直線傳播的現象稱為光的衍射。衍射時產生的明暗條紋或光環,叫衍射條紋。包括:單縫衍射、圓孔衍射、圓板衍射及泊松亮斑。
產生衍射的條件是:由於光的波長很短,只有十分之幾微米,通常物體都比它大得多,但是當光射向一個針孔、一條狹縫、一根細絲時,可以清楚地看到光的衍射。用單色光照射時效果好一些,如果用複色光,則看到的衍射圖案是彩色的。
任何障礙物都可以使光發生衍射現象,但發生明顯衍射現象的條件是“苛刻”的。
衍射條紋
衍射條紋當障礙物的尺寸遠大於光波的波長時,光可看成沿直線傳播。注意,光的直線傳播只是一種近似的規律,當光的波長比孔或障礙物小得多時,光可看成沿直線傳播;在孔或障礙物可以跟波長相比,甚至比波長還要小時,衍射就十分明顯。由於可見光波長範圍為m至m之間,所以日常生活中很少見到明顯的光的衍射現象。
單縫衍射
單縫衍射是光在傳播過程中遇到障礙物,光波會繞過障礙物繼續傳播的一種現象。如果波長與縫、孔或障礙物尺寸相當或者更大時,衍射現象最明顯。
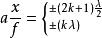
單縫衍射明暗條紋位置的計算公式為:
衍射條紋
衍射條紋a為單縫寬度,x為光波匯聚點距中心位置,f為焦距,為波長。
超聲光柵實驗
超音波在透明媒質中傳播時,將引起介質的彈性應變作時間和空間上的周期性變化,導致介質的折射率也作相應的變化。若聲光作用距離L較小,光波通過時,介質折射率的空間周期性變化性質可近似認為是時間不變的,其位相受到的調製,如同經過一個正弦位相光柵,稱為超聲光柵。正弦位相光柵與普通平面矩形光柵的衍射主極大滿足類似的光柵方程,但它們衍射條紋強度分布的規律不同,缺級現象的規律也不相同。另外,超聲光柵是一種動態光柵,其衍射譜線的頻率將發生相應的改變。
根據的研究結果,可將超聲光柵與普通的平面矩形光柵作如下對比:
(1)衍射主極大滿足類似的光柵方程,但衍射條紋強度分布的規律不同;
(2)都能產生缺級現象,但規律不同。當譜線的相對強度等於零時,超聲光柵便產生9級主極大缺級現象。正弦位相光柵的這種可控制的缺級現象在光計算及信息處理中具有重要的套用!s爪
(3)超聲光柵是一種動態光柵,衍射譜線的頻率將發生改變。對行波超聲光柵,各級譜線產生了相應的頻移;對駐波超聲光柵,各級譜線是含有多種頻率的複合光。

