成份
本品主要成分為螺旋黴素Ⅰ、Ⅱ、Ⅲ的混合物。
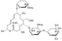
其結構式為:
螺旋黴素膠囊螺旋黴素Ⅰ:R=H
螺旋黴素Ⅱ:R=COCH3
螺旋黴素Ⅲ:R=COCH2CH3
性狀
本品為膠囊劑, 內容物為白色或微黃色顆粒。
適應症
適用於敏感菌引起的下列各種感染:
1.呼吸道感染:咽炎、支氣管炎、肺炎、鼻炎、鼻竇炎、扁桃體炎、蜂窩組織炎、耳炎、頰口部感染等。
2.泌尿系統感染:衣原體感染、前列腺感染等。
3.骨科:骨髓炎等。
4.寄生蟲感染:弓形體病、隱孢子蟲病。
5.其他:皮膚軟組織感染。
規格
37.5萬單位/粒
用法用量
用法:口服。食物影響本品吸收,空腹時服用。
用量:
1.成人:常用量一日450萬單位(12粒),分2~3次口服;重症感染患者劑量,可遵醫囑增加到一日600萬單位(16粒)。
2.兒童:20公斤以上兒童,一次每公斤體重7.5萬單位,一日二次,或一次每公斤體重5萬單位,一日三次,或遵醫囑。
不良反應
不良反應輕微,偶見胃腸道輕微不適,如噁心、腹瀉,不影響治療。有白細胞減少、血小板減少以及QT間期延長的報導。
禁忌
對本品過敏者禁用。
注意事項
1. 本品與其他大環內酯類藥物有交叉過敏反應,對大環內酯類藥物過敏者慎用。
2. 有肝功能損害、腎功能不全患者慎用。
3. 有胃腸道疾病的患者,使用本品可能加重疾病。
4. 因藥物可延長QT間期,心血管病患者慎用
孕婦及哺乳期婦女用藥
孕婦及哺乳期婦女禁用。
兒童用藥
兒童用藥的安全性尚未確立,兒童用藥需利弊權衡。必需使用時請參照用法用量項相關內容。
老年用藥
老年患者用藥的安全性尚未確立。
藥物相互作用
目前尚缺乏詳細的研究資料。
藥物過量
未見報導。
藥理毒理
螺旋黴素為大環內酯類抗生素,其活性成分為鏈黴菌屬產生的一組混合物。本品的抗菌活性與紅黴素相似。體外試驗表明,本品對革蘭氏陽性菌和部分革蘭氏陰性菌有較好的抗菌作用,如金黃色葡萄球菌、肺炎球菌、溶血性鏈球菌、奈瑟氏菌、白喉桿菌等。另外本品對弓形蟲和解脲支原體、隱孢子蟲也有一定作用。本品的作用機理是通過抑制微生物的蛋白質合成而起作用。與紅黴素比較,本品具有較長的抗生素後效應(PAE)。
藥代動力學
據文獻資料:空腹口服本品450萬單位在體內吸收速率常數為1.3±2.5L/h,經3.9±0.7小時達到峰濃度(Cmax)6.8±1.7U/ml,消除相半衰期(t )為33±0.5小時,表觀分布容積(Vd)為389±192L,比清除率為80±32L/h。血清蛋白結合率為18%,組織中的濃度比血清中的濃度高,且在炎性液中持續時間久。本藥部分以原型經尿液排泄,其餘由糞便排泄。
貯藏
密封,在陰涼乾燥處保存。
包裝
鋁塑包裝。12粒/板 2板/盒
有效期
暫定12個月。
