採用門限檢測的方法時,由於門限機制和噪聲的普遍存在,使用雷達探測目標時,判斷是否有回波信號時,會出現4種不同的情況,這4種情況分別可以用4個機率進行描述。
虛警機率存在目標時,判為有目標,判斷正確,這種情況稱為“發現”,其機率稱為“發現機率”,符號表述為 ;
虛警機率存在目標時,判為無目標,判斷錯誤,這種情況稱為“漏報”,其機率稱為“漏報機率”,符號表述為 ;
虛警機率不存在目標時,判為無目標,判斷正確,這種情況稱為“正確不發現”,其機率稱為“正確不發現機率”,符號表述為 ;
虛警機率不存在目標時,判為有目標,判斷錯誤,這種情況稱為“虛警”,其機率稱為“虛警機率”,符號表述為 ;
虛警機率
虛警機率
虛警機率
虛警機率其中存在目標時, + =1;不存在目標時, + =1.
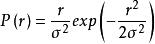
對於虛警機率,其計算方式為
虛警機率
虛警機率其中,高斯噪聲通過窄帶中頻濾波器後加到包絡檢波器,包絡振幅的機率密度函式按瑞利分布為 ,
通過積分,可以得到虛警機率的表達式為
虛警機率虛警機率的套用體現在,由於雷達探測的過程中,採用門限機制時,探測員可以通過調整門限值來調節雷達探測到信號的機率或靈敏度。因此,虛警機率作為理論機率可以對以上過程起到指導作用。
