基本概念
恆虛警率CFAR是Constant False-Alarm Rate的縮寫。在雷達信號檢測中,當外界干擾強度變化時,雷達能自動調整其靈敏度,使雷達的虛警機率保持不變,這種特性稱為恆虛警率特性。恆虛警率的獲得方法有兩種:參量法和非參量法。
恆虛警率檢測是雷達目標自動檢測的一個重要組成部分,可以作為從SAR圖像中提取目標的第一步,是進一步識別目標的基礎。虛警率是指偵察設備在單位時間內將噪聲或其他干擾信號誤判為威脅輻射源信號的機率。而恆虛警率檢測則證明了檢測算法的穩定性和可靠性。
恆虛警率檢測
雷達信號恆虛警率檢測就是要求虛警機率保持恆定,這主要是因為在雷達信號檢測中,信號的最佳檢測通常採用奈曼-皮爾遜準則,即在保持恆定的虛警機率的條件下,使正確檢測的機率達到最大值。在雷達信號的檢測過程中,如果虛警目標太多。使計算機的處理能力達到飽和,勢必影響正常目標的檢測,保持雷達信號的恆虛警率檢測可以有效地解決這個問題,所以恆虛警率檢測具有很大的實際意義。但遺憾的是:在雷達信號檢測中,由於各種干擾強度是隨機的,如果採用固定門限,將難以保證信號的恆虛警機率檢測。
恆虛警率
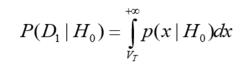
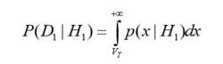
恆虛警率在雷達信號檢測中,事先常常不知道目標在一定條件下的出現機率,也不知道一次漏檢所造成的損失。故在檢測中常採用奈曼-皮爾遜準則:在給定虛警機率 條件下,使檢測機率 達到最大。
對於對於一給定的檢測系統,輸入信號及理想的判決結果可表示為:
恆虛警率(1) ,僅有噪聲,表示無信號;
恆虛警率(2) ,信號加噪聲,表示有信號。
從統計分析角度出發,有下列關係成立。
恆虛警率
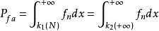
恆虛警率僅有噪聲時,設噪聲機率密度函式為 ,因噪聲電平超過判決門限而造成虛警的機率表示為:
恆虛警率
恆虛警率
恆虛警率其中由假定條件決定。
恆虛警率
恆虛警率
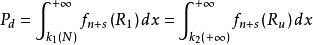
恆虛警率信號和噪聲同時輸入時,設信號加噪聲的機率密度函式為,則判決結果為的機率可表示為:
恆虛警率判決規則為:
恆虛警率檢測器
原理
一般說來,檢測提取的雷達信息都是我們所感興趣的信息,如距離、都卜勒、俯仰、方位等。為了提高檢測的性能,這些回波通常要先經過濾波以後,才交給恆虛警率檢測器處理。濾波過程包括都卜勒濾波、自適應時空二維譜估計、白化、通道均衡等等。
根據恆虛警率檢測器對雜波的敏感程度可將恆虛警率檢測器分為非參量型恆虛警率檢’測器和參量型恆虛警率檢測器。其中非參量檢測器對雜波類型沒有嚴格要求,參量型恆虛警率檢測器則需要預知雜波的類型。目前實際套用較多的、典型的參量型恆虛警率檢測器如圖所,它首先假定雷達雜波的類型,然後通過對檢測單元附近的參考單元的,數據採用某種算法,對檢測單元中雜波的參數進行估計,再對檢測單元中的雜波進行歸一化,形成一個與雜波參數無關的量,將這個量與一個跟虛警機率和參考單元數有關的門限進行比較,判斷有無目標的存在。由於經過歸一化後檢測單元中的值與雜波參數無關、所以能夠起到恆虛警率檢測的作用。
恆虛警率雷達目標所處的雜波環境是非常複雜的,要設計參量型恆虛警率檢測器,使得雷達落信號檢測的虛警機率保持恆定,就必須考慮多種環境因素。一般說來主要考慮以下3個因素:
(1)雜波類型
這裡所說的雜波類型主要是指雜波的幅度分布。通常雷達雜波幅度的統計特性可由瑞利、韋伯、對數正態以及K分布來模擬。根據上述雜波類型,這可以將參量型檢測器分為瑞利雜波(單參數)恆虛警率檢測器和非瑞利雜波丈雙參數)恆虛警率檢測器(包括韋伯雜波恆虛警率檢廁器、對數正態恆虛警率檢測器和K分布雜波恆虛警率檢測器等)。
(2)雜波的均勻性
雜波是否均勻也是設計恆虛警率檢測器時需要重點考慮的因素之一。實際的雜波嚴格來說都是不均勻的,尤其在雜波邊緣,幅度的變化最為劇烈。如果恆虛警率檢測器設計的有欠缺,參考單元估計出的雜波的參數與檢測單元的參數不相符合,極有可能引起雜波掩蓋目標,或虛警機率太大,超過設備容量的情況。所以在設計恆虛警率檢測器時,必須考慮波的均勻性,尤其是雜波邊緣的情況。
(3)多目標干擾
在單目標的情況下,參考單元中的信號可近似地認為是雜波,可以用來估計雜波參數。但在多目標情況下,很容易出現參考單元中含有目標信息的情況,此時目標信號的幅度可能大於雜波的幅度,這樣估計出的門限偏高,導致檢測機率降低,很有可能出現兩個目標互相“掩蓋”的情況,所以在設計恆虛普率檢測器時,還應儘可能考慮多目標因素。
以上三種因素中,雜波的類型是最主要的因素,實際雜波類型與恆虛警率檢測器不匹配,將引起較大的恆虛警率損失。一般恆虛警率檢測器首先都要根據雜波的類型來設計,在此基礎上再考慮雜波的均勻性和多目標因素。
性能
恆虛警率
恆虛警率
恆虛警率
恆虛警率
恆虛警率
恆虛警率評價一個恆虛警率檢測器設計的好壞,主要是它的實用性和恆虛警率損失兩個方面。實用性主要指它使用起來的可靠性、複雜性、處理時間的長短以及由此而引起的硬體設備量、軟體編程量的大小等等。恆虛警率損失主要是指使用恆虛警普率檢測器後對信號檢測的影響程度,對於參量型恆虛警率檢測器來說,假設雜波是獨立同分布的,如果參考單元數無限大時,雜波參數的估值為真實值,這時恆虛警率檢測能夠達到理論上的最佳檢測;如果參考單元數有限、雜波參數的估值將產生起伏,參考單元數越少,起伏越大。經過歸一化後,雜波參數估值的起伏將引起輸出起伏的加大,檢測門限一定時。這種起伏加大將引起虛警機率的增加。如果要保持原來虛普機率和檢測機率,就必須提高門限和輸入的信雜比,這個所提高的信雜比就稱為恆虛警率損失。設參考單元有限時,達到某虛警機率需要的門限為,達到某檢測機率所需要的信雜比為;當參考單元為無限時,達到同樣的虛誓機率需要的門限為,達到同樣的檢測機率所需要的信雜比為,則虛警機率和檢測機率可表達為:
恆虛警率
恆虛警率恆虛警率損失可表達為:
恆虛警率實際上,由於雜波都不是均勻分布的,參考單元數取的過多勢必增加雜波的不均勻性,所以實際的恆虛警率檢測器所用的參考單元數必然是有限的,這樣就必然會帶來恆虛警率損失。恆虛警率檢測器不同,其恆虛替率損失一般也不相同,實用性亦不相同,所以評價和選擇恆虛警率檢測器需要綜合考慮才能得出結論。
發展和套用
雷達信號的檢測總是在干擾背景下進行的,這些干擾包括接收機內部的熱噪聲,以及地物、雨雪、海浪等雜波干擾,有時還有敵人施放的有源和無源干擾。雜波和敵人施放干擾的強度常比接收機內部噪聲電平高得多。因此,在強幹擾中提取信號,不僅要求有一定的信噪比,而且必須對信號作恆虛警處理。在自動檢測系統中,對一定的檢測門限來說,當干擾電平增大幾分貝,虛警率就會大大增加,致使顯示器畫面飽和或計算機過載,這時即使有足夠大的信噪比,也不可能做出正確的判決。為此在自動檢測雷達中,必須具備恆虛警處理設備,使之在強雜波干擾下仍能繼續工作。
從60年代開始至今,人們對恆虛警率技術進行了大量的研究,也取得了許多成果。開始由於對雜波的特性沒有足夠的了解,通常假設雜波是瑞利型的,主要採用瑞利型恆虛警率檢測器以及對雜波類型要求不高的非參量型恆虛警率檢測器,其魯棒性也比較差。隨著對雜波特性了解的日益探入,人們發現採用雙參數雜波模型模擬雷達雜波更為合適,因而針對雙參數雜波的恆虛警率檢測器也逐漸得到發展。近十幾年來。人們在提高恆虛警率檢測器的性能、魯棒性等方面,做了大量的工作,得到了許多性能良好的恆虛警率檢測器。下表中列出了目前套用較廣、實用性較強的幾種恆虛警率檢測器 。
恆虛警率
