發現
He-Ne雷射器發明兩年後,1962年,蘭姆位移的發現者,諾貝爾物理獎得主小W.E.蘭姆教授正在耶魯大學對氦氖雷射器作理論分析。他的目的是要根據原子在電磁場作用下振盪的經典模型,計算雷射強度隨空腔參數改變的關係。他原來預計,空腔原子有一定的自然躍遷頻率,當空腔頻率與原子躍遷頻率一致時,會因為諧振而使雷射強度達最高值。可是出乎他的意料,計算所得的曲線卻在諧振處呈現極小值,形成一凹陷。他花了許多時間反覆核算,沒有找出錯誤,肯定計算是正確的。當時,蘭姆並不知道這就是由於飽和和都卜勒頻寬引起燒孔效應的後果(不久就清楚了),但是他敏感地預見到,這一凹陷有助於頻率的穩定,因為他在理論計算中參考了二十年代電子學家范德泡爾(vanderPol)關於多頻振盪器的理論,這一理論證明只要滿足一定條件就可以出現頻率鎖定現象。
證實存在
蘭姆凹陷雷射器穩頻方法
蘭姆凹陷可用於雷射穩頻要使雷射器輸出功率保持極小值,常用的方法是在雷射器諧振腔長上施加一微小的周期性調製信號,使雷射器的輸出功率存在對應的微小波動;信號處理電路將輸出功率的微小波動進行帶通放大、相敏檢波,得到信號的相位信息;該相位信息作為PID控制電路的輸入信號,輸出信號經過高壓放大後驅動壓電陶瓷管,調整雷射器諧振腔長。通過這一閉環控制過程保持相敏檢波信號輸出為零,即可將雷射器諧振頻率調整到工作物質中心頻率v0處。
通過腔長調製判斷輸出功率所處蘭姆凹陷曲線上位置的方法,實際上是利用蘭姆凹陷曲線的一次導數曲線在中心頻率v0處有一過零點這一規律工作的。根據蘭姆凹陷曲線的特點,可知其一次導數曲線不是單調曲線,因此無法保證整個工作區間內控制系統始終處於負反饋狀態,即無法實現控制系統在任意初始狀態均能實現穩頻鎖定#只有在凹陷點附近很小的區域內,控制電壓與相敏檢波輸出的關係才是單調關係,閉環控制系統才能形成負反饋,正常工作。
模擬式蘭姆凹陷穩頻雷射器結構原理如圖所示。圖中蘭姆凹陷波形的掃描由手動掃描部分實現,操作者通過示波器觀察輸出功率的變化,判斷蘭姆凹陷點,在凹陷點附近將控制電路切換為閉環模式,PID控制電路將自動跟蹤鎖定到蘭姆凹陷點。
雷射管是採用熱膨脹係數很小的石英做成外腔式結構,諧振腔的兩個反射鏡安置在殷鋼架上,其中一個貼在壓電陶瓷環上;陶瓷環的長度約為幾厘米,環的內外表面接有兩個電機,加有頻率為f的調製電壓,當外表面為正電壓,內表面為負電壓時陶瓷環伸長,反之則縮短。改變陶瓷環上的電壓即可調整諧振腔的長度,以補償外界因素所造成的腔長變化。光電接收器一般採用矽光電三極體,它能將光信號轉變成相應的電信號。
選頻放大器只是對某一特定頻率信號進行有選擇性的放大與輸出。相敏檢波器的作用是將選頻放大後的信號電壓與參考信號電壓進行相位比較。當選頻放大信號為零時,相敏輸出為零;當選頻放大信號和參考信號同相位時,相敏輸出的直流電壓為負,反之則為正。振盪器除供給相敏檢波器以參考信號電壓外,還給出一個頻率為f(約為1kHz)、幅度很小(只有零點幾伏)的交流訊號,稱為“搜尋訊號”]的正弦調製信號加到壓電陶瓷環上對腔長進行調製。
總之,蘭姆凹陷穩頻的實質是:以譜線的中心頻率υD作為參考標準,當雷射振盪頻率偏離υD時,即輸出一誤差信號→通過伺服系統鑑別出頻率偏移的大小和方向,輸出一直流電壓調節壓電陶瓷的伸縮來控制腔長→把雷射振盪頻率自動的鎖定在蘭姆凹陷中心處。
公式推導
燒孔寬度
總燒孔面積
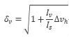
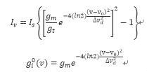
增益係數其中,單向傳播光強Is和都卜勒加寬小信號增益係數gi(v)分別為
式中:gm為中心頻率v0處的增益係數,∆vd為都卜勒加寬譜線寬度。當雷射器及其工作條件確定後,v0,gm,gt,∆vh、∆vd為常數#雷射器的輸出功率正比於總燒孔面積,即P=kS,其中k為比例係數。

