萬有引力概述
萬有引力使行星按照自身的軌道圍繞太陽運轉在地球上重力的吸引作用賦予物體重量並使它們向地面下落。此外,萬有引力是太陽和地球等天體之所以存在的原因;沒有萬有引力天體將無法相互吸引形成天體系統,而我們所知的生命形式也將不會出現。萬有引力同時也使地球和其它天體按照它們自身的軌道圍繞太陽運轉,按照自身的軌道圍繞地球運轉,形成潮汐,以及其它我們所觀察到的各種各樣的自然現象。
萬有引力使行星按照自身的軌道圍繞太陽運轉
重力和萬有引力
萬有引力
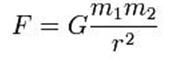
萬有引力是兩個具有質量的物體間相互吸引的作用,存在於任何有質量的物體之間。實驗表明,萬有引力的大小與兩個物體的質量分別成正比,與他們質心間的距離的平方成反比。用公式表達為:
萬有引力其中m1、m2分別是兩個物體的質量,r為兩者質心間的距離,G為一個常數,稱為萬有引力常數,其值約等於6.67259×10-11公斤-1•公尺3•秒-2。
重力的量與單位
在一般文獻中,重力(或引力)表示物體在天體(特別是地球)表面或附近所受到的萬有引力。重力的量度值一般稱為重量。需要注意的是即使在經典力學中,重量也不同於質量,並不是物體本身固有的屬性,而與所處的天體有關。另一方面,天體的自轉使得物體在地面參照系中表現為受到向心力(科里奧利力)的作用。由於一般來說科里奧利力相對於萬有引力十分微小,在粗略計算時通常不考慮後者,或者將兩者的合力稱為重力。
重力的符號是W,公式為W=mg。這裡m表示物體的質量,g表示物體所在點的重力加速度。重力的單位有牛頓(N)或是達因(cgs)。
重力加速度
地球表面重力加速度的數值受高度、緯度及地球自轉的影響。一般計算中g可近似的取作標準重力加速度,即g=gn=9.80665m/s2。
兩者的微妙差別
在中國,重力的確切定義是:在地面或地面附近物體受到地球吸引的萬有引力和隨地球自轉所需的向心力相減的合力。除此之外,重力和萬有引力還有一些微妙的差別,以下列舉了一些不同的說法:
•重力是天體(如地球)對相對微小物體(如皮球)的引力。
•重力特指地球對物體的引力(這裡不包括因物體受到的向心力而耗損的那部分引力)。
另外,在某些文獻中,萬有引力在本質上也不等於重力。萬有引力所描述的現象並不依賴於其它特殊的原因。一些理論認為有可能萬有引力的存在不取決於力的作用;依照於廣義相對論,這的確是正確的。“重力”特別代表地球產生的吸引力,用“萬有引力”代表普遍意義上的物質間的相互吸引力。在專業使用上,“萬有引力”是指物體加速靠近另一個物體的趨勢,“重力”則是某些理論用於解釋導致這種加速行為的“力”。
在17世紀艾薩克•牛頓闡明他的萬有引力定律前,大多數人對重力並不了解。儘管牛頓萬有引力定律已被愛因斯坦的廣義相對論上更進一步的解釋所取代,但由於牛頓的理論非常簡明,且在一般情況下所得結果的準確性與廣義相對論並無差別,因此在許多日常實際套用中仍廣泛使用。雖然科學界對大多數重力的性質已經了解,但萬有引力的形成原因仍是一個未決的問題,因而重力研究還是科學上的一個重要課題。
理論的歷史
在古代和中世紀,萬有引力被認為是位置的一種性質,而不是物質的性質。
從公元前4世紀的希臘哲學家亞里士多德起,歷史上對萬有引力就有著眾多的猜想或解釋。亞里士多德認為沒有起因就沒有結果,因此沒有力的作用的運動是不存在的。他推斷在水晶球模型中,所有物體都有朝它們正確的位置靠近的趨勢,並且物體按他們自身的重量的比例向地球的中心墜落。在公元628年,印度天文學家婆羅摩笈多(Brahmagupta)首先認識到重力是一種吸引力的作用。他解釋說:“物體向地球墜落是因為地球對物體自然地吸引,就如同水自然地流動一般”。他用了一個梵語術語“gruhtvaakarshan”代表重力,在發音上,與英語中的“gravity”相像,並且都表示同一個意思“吸引力”。婆羅摩笈多亦堅持阿里亞哈塔(Aryabhata)於公元499年提出的以萬有引力維持的太陽為中心的太陽系觀點。因此,他理解到了太陽和地球之間存在著一種吸引力的作用。
從17世紀起,科學家把萬有引力看作是物質的一個屬性。一個物體吸引另一個物體的力量大小,視物體所含物質的多少和隔開它們的距離而定,這種力量是相互作用的。哥白尼認為萬有引力是物質集聚的一種方式,萬有引力的中心是一個幾何性質的點。
1600年威廉•吉爾伯特提出磁力可能是維持太陽系存在的原理。他構想萬有引力就是地球這塊龐大磁石作用於周圍物體的磁力,而且遍及整個太陽系,成為宇宙的外膜。吉爾伯特證明,磁石對一塊鐵的吸力大小視磁石的大小而定,磁石越大,對鐵塊的吸力也越大。而且吸引是互相作用的,磁石吸鐵,鐵也同樣吸引磁石。他的研究為近代引力觀念提供了一個模型。萬有引力的中心並不是什麼幾何點,而是具體的一堆物質,它的力量隨著物質數量的增加而增加。
克卜勒發展了吉爾伯特的萬有引力觀念,他假定萬有引力是和磁力類似的東西,是同性物體之間的一種相互感應,這種力視物體的大小而定。
在這些基礎上,英國數學家艾薩克•牛頓爵士於1687年發表了著名的《原理》一書,第一次假定了萬有引力定律。他寫道:“我推斷這種使行星圍繞既定軌道運動的力一定與它們與繞軸轉動中心的距離平方成反比;而依此將使月球圍繞她的軌道運動的力與地表的重力進行比較之後,發現它們的結果是如此的接近。”絕大多數現代非相對論性萬有引力的計算都賴以牛頓當年的工作。
引力的速度
對於引力的速度基本有三種理論:
1.牛頓的超距作用觀點,認為引力的傳遞不需要時間(速度無限大)
2.愛因斯坦認為引力傳播的速度就是真空中的光速
3.引力是超光速的某值
相關內容
地心引力
各個行星天體,包括地球,都具有其自身的萬有引力特性,特別是在水平面上所測量出的萬有引力特性。地球表面的重力加速度被表示為g,近似地等於9.81m/s2或者32.2ft/S2。這表明,如果忽視空氣阻力的影響,在地表附近正在自由落體的物體速度每秒將增加9.81M/S(大約22mph)。因此,一個從靜止開始下落的物體在一秒後的速度將達到9.81m/s,第二秒將達到19.62m/s,以後的情況也將依此類推。地球同時也受到下落的物體等值反向的力的作用,意味著地球也將加速向物體運動。但是,由於地球巨大的質量,這個加速度小到難以察覺。
由落體方程組
在一般情況下,物體因不變的重力持續作用而運動時,一組動力學方程組可描述它運動的軌道。例如,牛頓萬有引力定律給出了一個簡單的方程F=mg,其中m代表物體的質量。當物體自由落體向地球的距離可以以我們日常用到的距離衡量時,這個猜想是合理的;但若用於對大距離譬如宇宙飛船的軌道進行計算時,這將導致極大的誤差。
萬有引力和天文學
牛頓的萬有引力定律的發現和套用被用於計算和了解我們的太陽系內各個行星的詳細信息、太陽的質量、恆星間的距離,甚至被用於推測暗物質理論。儘管人類還沒有去過太陽和其它星球,我們都可以知道它們的質量。這些都是通過萬有引力定律研究得出的。在空間中任何物體都按照一定的軌道圍繞某些大質量物體運轉,它們之間的萬有引力保持著它們的軌道。行星圍繞恆星運轉,恆星圍繞星系中心運轉,星系圍繞星團中心運轉,星團圍繞超星系團運轉。
萬有引力和基本相互作用
在上個世紀,另外三大基本相互作用:強相互作用、弱相互作用和電磁相互作用的產生機制已經通過載力粒子的觀念加以解決。現在人們正在嘗試將載力粒子、相對論與萬有引力聯合成為一個統一的整體。因此,重力相互作用是如何與其它三個基本作用互相影響的是一個未決問題。
套用
極大數量的機械發明的正常運行在某種程度上依賴於重力而實現。例如,高度差可以提供有用的液壓,這是靜脈滴注和水塔的運作原理。利用水的重力勢能發電的水力發電裝置亦可以這種能量將電車推上斜坡。同樣,纜繩上懸掛的重物可通過滑輪使纜繩及纜繩位於滑輪另一邊的那一部分持續地繃緊。
還有更多的例子:比如說熔鉛,當鉛水從散彈塔的頂端灌入後,會變成一顆顆如雨點一般散落的鉛彈——首先被分離成為多個小液滴,形成熔融狀態的球體,之後逐漸凝固為固體,並在被眾多相同的熔融石的共同作用下,最終在自由落體中冷卻形成球形或近球形。重力驅動時鐘由重力勢能提供運行的能量,擺鐘則依賴於重力來校準時間。人造衛星的正常運行則是運用牛頓《原理》計算的結果。
![萬有引力[物理學] 萬有引力[物理學]](/img/d/5a8/nBnauM3X1ITN5MTM2EzM0QTM1QTM5ATOyITMzQTNwAzMwIzLxMzLxIzLt92YucmbvRWdo5Cd0FmLzE2LvoDc0RHa.jpg)
