萬有引力定律
萬有引力[自然科學領域定律]萬有引力定律:自然界中任何兩個物體都是相互吸引的,引力的大小跟這兩個物體的質量乘積成正比,跟它們的距離的二次方成反比。
概述
萬有引力定律公式萬有引力定律是牛頓在1687年出版的《自然哲學的數學原理》一書中首先提出的。牛頓利用萬有引力定律不僅說明了行星運動規律,而且還指出木星、土星的衛星圍繞行星也有同樣的運動規律。他認為月球除了受到地球的引力外,還受到太陽的引力,從而解釋了月球運動中早已發現的二均差,出差等;另外,他還解釋了彗星的運動軌道和地球上的潮汐現象。根據萬有引力定律成功地預言並發現了海王星。萬有引力定律出現後,才正式把研究天體的運動建立在力學理論的基礎上,從而創立了天體力學。 簡單的說,質量越大的東西產生的引力越大,這個力與兩個物體的質量均成正比,與兩個物體間的距離平方成反比。地球的質量產生的引力足夠把地球上的東西全部抓牢。
萬有引力定律傳入中國:《自然哲學的數學原理》牛頓最重要的著作,1687年出版。該書總結了他一生中許多重要發現和研究成果,其中包括上述關於物體運動的定律。他說,該書“所研究的主要是關於重、輕流體抵抗力及其他吸引運動的力的狀況,所以我們研究的是自然哲學的數學原理。”該書傳入中國後,中國數學家李善蘭曾譯出一部分,但未出版,譯稿也遺失了。現有的中譯本是數學家鄭太朴翻譯的,書名為《自然哲學之數學原理》,1931年商務印書館初版,1957和1958年兩次重印。
詳細內容
萬有引力[自然科學領域定律]兩個可看作質點的物體之間的萬有引力,可以用以下公式計算:
。即萬有引力等於引力常量乘以兩物體質量的乘積除以它們距離的平方。其中G代表引力常量,其值約為6.67×10N·m/kg,為英國物理學家、化學家亨利·卡文迪許通過扭秤實驗測得。此外,庫侖定律也可以用這種扭秤證明。萬有引力的推導
若將行星的軌道近似的看成圓形,從克卜勒第二定律可得行星運動的角速度是一定的,即:
萬有引力[自然科學領域定律](T為運動周期)
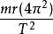
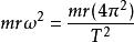
如果行星的質量是m,離太陽的距離是r,周期是T,那么由運動方程式可得,行星受到的力的作用大小為
萬有引力[自然科學領域定律]另外,設k′為常數,由克卜勒第三定律可得
萬有引力[自然科學領域定律]k′=
行星受到的力的作用大小為:
萬有引力[自然科學領域定律]代入上式的k′的值,得行星受到的力的作用大小為:
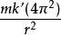
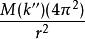
萬有引力[自然科學領域定律]由作用力和反作用力的關係可知,太陽也受到以上相同大小的力。設太陽的質量為M,從太陽的角度看,太陽受到沿行星方向的力為
萬有引力[自然科學領域定律]因為行星受到的作用力和太陽受到的作用力是相同大小的力,由這兩個式子比較可知,k′包含了太陽的質量M,k″包含了行星的質量m。由此可知,這兩個力與兩個天體質量的乘積成正比,它稱為萬有引力。
萬有引力[自然科學領域定律]如果引入一個新的常數G(稱萬有引力常數),再考慮太陽和行星的質量,以及先前得出的4·π ,那么可以表示為:萬有引力 ,(G=6.67×10 N·m /kg )。
兩個通常物體之間的萬有引力極其微小,我們察覺不到它,可以不予考慮。比如,兩個質量都是60千克的人,相距0.5米,他們之間的萬有引力還不足百萬分之一牛頓,而一隻螞蟻拖動細草梗的力竟是這個引力的1000倍!但是,天體系統中,由於天體的質量很大,萬有引力就起著決定性的作用。在天體中質量還算很小的地球,對其他的物體的萬有引力已經具有巨大的影響,它把人類、大氣和所有地面物體束縛在地球上,它使月球和人造地球衛星繞地球鏇轉而不離去。
重力
在人類航天事業興起之前,萬有引力早已被套用於宇宙天體的研究。重力雖然早被發現,但是重力的研究進入宇宙這個領域,是航天科學帶領的。從地面出發進行的宇宙航行的路上,物體受的重力要發生巨大變化。到達目標天體或人造天體後,物體受的重力也會與地球上有很大區別。要考慮人如何耐受體重的巨大變化,要研究支撐物如何承受物體重量帶來的壓力的巨大變化。但是重力的研究難於萬有引力。至今重力的定義只停留在地面附近,重力的概念也沒有深入本質。重力研究停留在下面的小範圍之內。
重力,就是由於地面附近的物體受到地球的萬有引力而產生的。但是需要注意的是,因為地球在自轉,除了在南極北極端點,在地球上任意一點的物體,其重力並不等於萬有引力。此時可看作繞地球的向心力和重力合成萬有引力(矢量和—平行四邊形法則)。由於繞地球自轉的向心力遠小於重力,故一般就認為重力就略等於萬有引力了,其實重力是略小於萬有引力的,只有在南北極物體繞地球自轉的向心力為零時,重力才等於萬有引力。重力和萬有引力的方向不同,重力是豎直向下,萬有引力是指向地心,豎直向下和指向地心是不同的,不能混淆。
上面研究重力的方法只適用於地面,宇宙航行中的重力和宇宙中天體或人造天體上的重力的研究,離不開下面重力的概念和定義。
在靜力學範圍內,以放置物體的支撐物或物體本身為參照物,來研究重力能得到最好的保障。萬有引力和慣性力都是同時作用在物體的每一個微小部分,因此都能使物體獲得重量。在沒有其他的力具有這樣的作用效果。因此將萬有引力和慣性力的共同作用,即它們的合力叫做重力。這種研究重力得到的結果與上面提到在地面上的研究方法得到的結果完全相同,因為地球也是宇宙天體之一。
會從這裡發現,在地面研究重力,怎么只考慮地球的引力,卻沒有考慮把地球吸引得團團轉的太陽的萬有引力和其他眾星球的萬有引力?新的概念和定義能很好地做出解釋。把各星球看做質點,那么太陽的萬有引力和其他眾星球的萬有引力,都分別和與它們對應的慣性力相互抵消。因此在求地面上物體的重力時除地球萬有引力以外,其他的萬有引力可以不參與重力的計算。但是不加考慮是不可以的。宇宙航行中物體的超重、失重現象的解釋和物體在其他星球上的重力計算,都可以在新定義下,用物體所受 重力的變化或說 重量的變化來解決。
這樣重力的研究就會伴隨萬有引力的研究進入宇宙空間。
偉大意義
17世紀早期,人們已經能夠區分很多力,比如摩擦力、重力、空氣阻力、電力和人力等。牛頓首次將其中一些看似不同的力準確地歸結到萬有引力概念里:蘋果落地,人有體重,月亮圍繞地球轉,所有這些現象都是由相同原因引起的。牛頓的萬有引力定律 簡單易懂,涵蓋面廣。
萬有引力的發現,是17世紀自然科學最偉大的成果之一。它把地面上的物體運動的規律和天體運動的規律統一了起來,對以後物理學和天文學的發展具有深遠的影響。它第一次揭示了自然界中一種基本相互作用的規律,在人類認識自然的歷史上樹立了一座里程碑。
牛頓的萬有引力概念是所有科學中最實用的概念之一。牛頓認為萬有引力是所有物質的基本特徵,這成為大部分物理科學的理論基石。
發現過程
原因
牛頓發現萬有引力的原因很多,主要因為以下幾點。
1.科學發展的要求:牛頓之前,有很多天文學家在對宇宙中的星球進行觀察。經過幾位天文學家的觀察記錄,到克卜勒時,他對這些觀測結果進行了分析總結,得到克卜勒三大定律:
1.所有行星都繞太陽做橢圓運行,太陽在所有橢圓的公共焦點上。
2.行星的向徑在相等的時間內掃過相等的面積。
3. 所有行星軌道半長軸的三次方跟公轉周期的二次方的比值都相等,即r^3/T^2=k。
克卜勒三定律是不容置疑的,但為什麼會這樣呢?是什麼讓它們做加速度非零的運動?牛頓經過研究思考解決了這個問題:物體之間存在萬有引力。當然他發現萬有引力定量是一個漫長而曲折的過程。
2.個人原因:牛頓發現萬有引力定律,雖然是科學發展的要求,生產力發展的原因,但我們不能忽略牛頓本人的一些因素:聰明 勤于思考 擁有一定的知識量。據《物理學史》說:牛頓在發現萬有引力定律的那一段時間,廢寢忘食(每天魂不守舍,在食堂吃飯,飯碗在前,他在發獃。去食堂吃飯,卻走錯了方向。一些老師在校園後的沙灘上散步時,看見了一些古怪的算式和符號)。1669年,他年僅27歲,就擔任了劍橋的數學教授。 還有1672年當選為英國皇家學會會員。
過程
1666年,23歲的牛頓還是劍橋大學聖三一學院三年級的學生。看到他白皙的皮膚和金色的長髮,很多人以為他還是個孩子。他身體瘦小,沉默寡言,性格嚴肅,這使人們更加相信他還是個孩子。他那雙銳利的眼睛和整天寫滿怒氣的表情更是拒人於千里之外。
黑死病席捲了倫敦,奪走了很多人的生命,那確實是段可怕的日子。大學被迫關閉,像艾薩克·牛頓這樣熱衷於學術的人只好返回安全的鄉村,期待著席捲城市的病魔早日離去。
在鄉村的日子裡,牛頓一直被這樣的問題困惑:是什麼力量驅使月球圍繞地球轉,地球圍繞太陽轉?為什麼月球不會掉落到地球上?為什麼地球不會掉落到太陽上?
在隨後的幾年裡,牛頓聲稱這種事情已經發生過。坐在姐姐的果園裡,牛頓聽到熟悉的聲音,“咚”的一聲,一隻蘋果落到草地上。他急忙轉頭觀察第二隻蘋果落地。第二隻蘋果從外伸的樹枝上落下,在地上反彈了一下,靜靜地躺在草地上。這隻蘋果肯定不是牛頓見到的第一隻落地的蘋果,當然第二隻和第一隻沒有什麼差別。蘋果落地雖沒有給牛頓提供答案,但卻激發這位年輕的科學家思考一個新問題:蘋果會落地,而月球卻不會掉落到地球上,蘋果和月亮之間存在什麼不同呢?
第二天早晨,天氣晴朗,牛頓看見小外甥正在玩小球。他手上拴著一條皮筋,皮筋的另一端繫著小球。他先慢慢地搖擺小球,然後越來越快,最後小球就徑直拋出。
牛頓猛地意識到月球和小球的運動極為相像。兩種力量作用於小球,這兩種力量是向外的推動力和皮筋的拉力。同樣,也有兩種力量作用於月球,即月球運行的推動力和重力的拉力。正是在重力作用下,蘋果才會落地。
牛頓首次認為,重力不僅僅是行星和恆星之間的作用力,有可能是普遍存在的吸引力。他深信鍊金術,認為物質之間相互吸引,這使他斷言,相互吸引力不但適用於碩大的天體之間,而且適用於各種體積的物體之間。蘋果落地、雨滴降落和行星沿著軌道圍繞太陽運行都是重力作用的結果。
人們普遍認為,適用於地球的自然定律與太空中的定律大相逕庭。牛頓的萬有引力定律沉重打擊了這一觀點,它告訴人們,支配自然和宇宙的法則是很簡單的。
萬有引力[自然科學領域定律]牛頓推動了引力定律的發展,指出萬有引力不僅僅是星體的特徵,也是所有物體的特徵。作為所有最重要的科學定律之一,萬有引力定律及其數學公式已成為整個物理學的基石。
當然,當時牛頓提出了萬有引力理論,卻未能得出萬有引力的公式,因為公式中的“G”實在太小了,因此他提出:F∝mM/r 。直到1798年英國物理學家卡文迪許利用著名的卡文迪許扭秤(即卡文迪許實驗)較精確地測出了引力恆量的數值。
簡單涵義
牛頓並不是發現了重力,他是發現重力是“萬有”的。每個物體都會吸引其他物體,而這股引力的大小隻跟物體的質量與物體間的距離有關。牛頓的萬有引力定律說明,每一個物體都吸引著其他每一個物體,而兩個物體間的引力大小,正比於這它們的質量,會隨著兩物體中心連線距離的平方而遞減。牛頓為了證明只有球形體可把“球的總質量集中到球的質心點”來代表整個球的萬有引力作用的總效果而發展了微積分。然而不管距離地球多遠,地球的重力永遠不會變成零,即使你被帶到宇宙的邊緣,地球的重力還是會作用到你身上,雖然地球重力的作用可能會被你附近質量巨大的物體所掩蓋,但它還是存在。不管是多小還是多遠,每一個物體都會受到引力作用,而且遍布整個太空,正如我們所說的“萬有”。
基本力
萬有引力是任意兩個物體或兩個粒子間的與其質量乘積相關的吸引力,自然界中最普遍的力,簡稱引力。在粒子物理學中則稱引力和強力、弱力、電磁力合稱4種基本相互作用。引力是其中最弱的一種,兩個質子間的萬有引力只有它們間的電磁力的1/10 ,質子受地球的引力也只有它在一個不強的電場1000伏/米的電磁力的1/10 。因此研究粒子間的作用或粒子在電子顯微鏡和加速器中運動時,都不考慮萬有引力的作用 。
一般物體之間的引力也是很小的,例如兩個直徑為1米的鐵球 ,緊靠在一起時,引力也只有1.14×10 牛頓,相當於0.03克的一小滴水的重量 。但地球的質量很大,這兩個鐵球分別受到4×10 牛頓的地球引力,所以研究物體在地球引力場中的運動時,通常都不考慮周圍其他物體的引力。天體如太陽和地球的質量都很大,乘積就更大,巨大的引力就能使龐然大物繞太陽轉動。引力就成了支配天體運動的唯一的一種力。恆星的形成,在高溫狀態下不彌散反而逐漸收縮,最後坍縮為白矮星、中子星和黑洞, 也都是由於引力的作用,因此引力也是促使天體演化的重要因素。
迄今為止,我們已經知道,引力是一種與時空基本結構緊密關聯的普適力。應該視其為基本力。換句話說,我們應該用引力來度量其他東西,而不是用其他東西來度量引力。因此,在絕對意義上來說,引力不是微弱的——它本來就是這樣子的。事實上,引力顯得如此之微弱一直讓理論物理學界感到困惑。
大統一理論
萬有引力、電磁力、強相互作用力、弱相互作用力這四種作用力是基本力。它們都是通過在粒子之間交換的一種“傳播子”實現的互動作用的,這就像兩個人托排球,通過他們之間的排球把他們聯繫在一起一樣。帶電粒子之間電磁相互作用的傳播子是質量為零、自鏇為1的光子。 原來有學者認為,核子之間的強相互作用(核力)是靠π介子傳遞的,但由於核子和π介子都是由夸克組成的,所以歸根結底它們是夸克之間的相互作用。傳遞夸克之間強相互作用的傳播子稱為“膠子”。注意光子不帶電,且只有一種,而膠子帶“色荷”,分為八種不同的膠子。不過它和光子一樣,都是自鏇為1的玻色子。 弱相互作用的傳播子是“中間玻色子”,它的自鏇也為1。有三種帶電情況:把帶有正負單位電荷的中間玻色子記為W 、W ,把不帶電的中間玻色子記為Z 。1983年歐洲核子研究中心的盧比亞和范德梅爾,在質子-反質子對撞機實驗中發現了這三種中間玻色子,第二年即獲得諾貝爾獎。
在現代物理學中,能量概念比質量概念更具有核心地位。這表現在許多方面。真正守恆的是能量而非質量。出現在各類基本方程,如統計力學的波爾茲曼方程,量子力學的薛丁格方程和關於引力的愛因斯坦方程等方程中也是能量。而質量似乎更多地與技術途徑相聯繫,例如作為龐加萊群不可約表示的符號。
因此,愛因斯坦方程提出了一項挑戰。如果能夠用能量來解釋質量,這將有助於改進科學家們對於世界的描述,這樣,構建世界所需要的構件可能變得更少。
藉助於愛因斯坦定律,我們可以更好地解決或者回答牛頓所未曾解決的問題:什麼是質量的起源?引力與其他基本力之間到底有什麼關聯?
問題1:如果E=mc ,那么,質量正比於能量。因此如果能量守恆,是不是意味著質量也守恆?然而,愛因斯坦的方程只能運用到靜止的孤立的物體上。一般來說,兩個物體相互作用時,能量和質量不成正比。E=mc 根本不適用。
問題2:用無質量的構件搭建起來的物體如何感知引力?牛頓定律說物體受到的引力與質量成正比,但事實上,通常被認為是零質量的光子卻會受到引力的作用而發生彎曲。這是1919年為嚴驗證在愛因斯坦廣義相對論所提出的假設進行的一次科學實觀測所證實了的。那么這是否意味著光子質量非零還是牛頓引力定律缺少普適性?
光的問題是一個值得重視的首要性問題。《聖經·創世紀》中上帝在造物的第一日所創造之物便是光,上帝在聖經中也多次把光當成自己的化身。光是“所有事物”中最重要的元素,當然它截然不同於原子。人們本能地認為光是與物質完全不同的另一類東西,是非物質的甚至是精神層面的,這很自然。光也的確表現出完全不同於可觸摸物質的特性——後者是那種你踢一下就會傷著腳趾頭或者是流過吹過你身邊的東西。如果你要跟費恩曼例子裡的災後遺民講授物理學,你大可告訴他們,光是物質的另一種形式,他們也會理解。你甚至可以告訴他們,光是由粒子——光子——組成的。光子在真空中運動速度很大,但是在超導狀態下,光運行的速度很慢,大體跟目前世界跑得最快的奧運會短跑冠軍的速度相近,而且,光子在這種狀態下也具有了質量。
其次,值得提及的是原子不是故事的結束,它們是由更基本的構件組成的。因為所有的物質都能發光,所以我們可以假設所有的物質都是由原子和光子組成的。原子是由原子核和電子組成的。原子核很小,其大小大約為原子的10萬分之一,但它卻包含所有的正電荷和構成了幾乎所有的質量。沿此思路走下去,我們將很快將費恩曼故事中災後遺民引領到正確理解科學的化學和電子學的道路上來,從而重建我們的世界。原子因為原子核和電子之間的電性吸引而保持穩定。最後,原子核又由質子和中子組成。原子核卻由另一種力來維持,這種力要比電性力強大很多,但作用的距離卻很短。這種對於物質認識狀態,大約是1935年前後的情形。而我們所了解的當然要大大跨越這一時期的知識水準。
1932年,詹姆斯·查德威克發現了中子,這是一個里程碑。在查德威克的發現之後,理解原子核的道路似乎變得通暢了。人們認為原子核的構件已被發現,它們就是質子和中子。這是兩種重量近似的的粒子,而且有著類似的強相互作用。質子和中子的最明顯的差別就是質子帶正電荷,而中子呈電中性。此外,孤立的中子不穩定,大約會在15分鐘的壽命期限內衰變成一個質子(加一個正電荷和一個中微子)。將質子和中子簡單相加,你就可以得到不同電荷數和質量的模型原子核,它與已知原子核基本相符。
牛頓在1704年發表的《光學》一書中,這樣表述了他對物質的終極性質的構想:
“在我看來,事實上可能是,上帝開始造物的時,將物質做成了結實、沉重、堅硬、不可入但可運動的微粒,其大小、形狀和其它一些屬性以及空間上的比例都恰好有助於他實現創造它們的目的。由於這些原始微粒是些固體,所以它們比任何由它們合成的多孔的物體都要堅固得無可比擬。它們甚至堅硬得永遠不會磨損或破裂,沒有任何普通的力量能把上帝在他第一次創世時他自己造出來的東西分開。”
物質的科學實質,其不可再分的核心是質量。質量規定了物質反抗運動的能力,也就是它的慣性。質量是不變的,即具有“保守性”。它可以從一個物體轉移到另一個物體,但是永遠不會增生或被消滅。對於牛頓來說,質量定義了物質的多少。在牛頓物理學中,質量提供了力和運動以及引力源之間聯繫的橋樑。而在拉瓦錫看來,質量的穩定性及其精確的守恆性,則構成了化學的基礎和富有成果的發現指南。
我們在化學的經驗表明,對所有這些複雜性給予解釋是可能的。也許質子、中子和其它強子不是基本粒子。它們也許是由性質更為簡單的更為基本的對象構成。
事實上,如果我們針對原子和分子水平上做在質子和中子水平上做的散射實驗,來研究原子和分子在近距離碰撞下會發生什麼,我們會得到同樣複雜的結果:重新分布的分子和碎裂而成的類新型分子(或處於激發態的原子、離子或自由基),換句話說,得到的各種化學反應。服從簡單的力定律的只是基本的電子與原子核,而由多個電子和原子核組成的原子和分子則不。而且在亞原子粒子情形下,質量也不守恆。如果你將質子轟擊得足夠緻密,你就會發現得到的是更多的質子,有時還會伴有其它強子。一個典型的情形是,讓兩個高能質子相互碰撞,得到卻是3個質子,一個反中子和若干個介子。這些粒子的總質量會大於反應前兩個質子的質量之和。
光沒有質量。光不用推動就可以產生巨大的速度從光源傳遞到接受器。光很容易就可以產生(發射)或湮沒(被吸收)。光也不具備引力那樣的拉力。但光有能量,能輕而易舉地被轉化並儲藏起來,例如植物的葉綠素在光合作用下,可以把空氣中的二氧化碳和植物根系吸收的水分、礦物質轉換成多糖、胺基酸或纖維素的化學鍵里。在元素周期表我們找不到光的位置,而這個周期表里分布都是構成物質的各種構件。
在近代科學誕生前的幾百年以及誕生後的兩個半世紀裡,實在分為物質和光似乎是不言自明的。物質有質量且守恆,光沒有質量。如果有質量物質和無質量的光始終彼此隔絕,那么物理世界就始終無法實現統一的描述。
在20世紀的前半葉,相對論和量子物理學的出現摧毀了經典物理學的基礎。現存的物質和光的理論幾同廢墟。這一創新性的破壞過程,使得物理學家有可能在20世紀的下半葉建造起一個新的更深刻的物質-光理論,它將徹底破除自古以來對兩者分離的認識。新的理論認為,世界是建立在充滿以太的多層級空間基礎上的。這裡借用的“以太”雖然是十七世紀的哲學家笛卡爾的概念,在十九世紀時麥克斯韋則稱之為“場”,而在1970年代中,維爾切克則將其稱之為“格線”。
新的世界模型儘管看起來有點稀奇古怪,但卻非常成功而且精確。它為我們提供了對普通物質質量起源的新認識。簡單來說,物質的出現於相對論、量子場論和色動力學均有關係——後者是研究支配夸克和膠子行為特有規律的學問。如果不深入了解並熟悉地運用這些概念,我們就無法理解質量的起源。而且迄今為止,量子場論和色動力學仍然是活躍的研究領域,還有許許多多的問題有待解決。
不久以前,人們曾經認為普通物質的基本構件就是質子和中子。之後,科學家們又發現,普通物質的基本構件——質子和中子——內有些小東西。這些小東西叫做夸克和膠子。當然,知道它們的名字並不等於告訴我們他們是什麼,正如莎士比亞筆下的羅密歐所解釋的那樣:
“名字有什麼意義?我們叫做玫瑰的東西,換個名字,還是一樣的香艷。”
但是,如果夸克和膠子只是物質內部永無止境的複雜結構的又一層級,那么它們的名字只不過提供一種讓人們炫耀的非流行語詞。然而夸克和膠子並不“只是又一層級”。在膠子本身被發現之前,人們已經發現了描述膠子的方程。1954年楊振寧和羅伯特·米爾斯發現作為電動力學的麥克斯韋方程組自然數學推廣的一類方程組,表明麥克斯韋方程組的自然數學推廣方程組支持所有已知荷的對稱性,而在楊-米爾斯方程組基礎上由大衛·格羅斯和弗蘭克·維爾切克於1973年推導出了適用於現實世界中強相互作用膠子方程的過程中使用了三種“荷”。出現在強相互作用理論中的這三種荷通常稱為色荷,或簡稱為荷。
在20世紀60年代初,實驗者發現了幾十種強子,它們的質量、壽命和固有的自鏇均不相同。其中,希格斯玻色子是粒子物理學標準模型預言的一種自鏇為零的玻色子,至今尚未在實驗中觀察到。它也是標準模型中最後一種未被發現的粒子。物理學家希格斯提出了希格斯機制。在此機制中,希格斯場引起自發對稱性破缺,並將質量賦予規範傳播子和費米子。希格斯粒子是希格斯場的場量子化激發,它通過自相互作用而獲得質量。2012年7月2日,美國能源部下屬的費米國家加速器實驗室宣布,該實驗室最新數據接近證明被稱為“上帝粒子”的希格斯玻色子的存在。2013年3月14日,歐洲核子研究組織發布新聞稿表示,先前探測到的新粒子是希格斯玻色子。
在粒子物理學裡,標準模型是一種被廣泛接受的框架,可以描述強力、弱力及電磁力這三種基本力及組成所有物質的基本粒子。由於基本粒子和基本力形成了物理世界,所以,除了引力以外,標準模型可以合理解釋這世界中的大多數物理現象。最初,標準模型所倚賴的規範場論禁止基本粒子擁有質量,這很明顯地顯示出初始模型不夠完全。後來,物理學者研究出一種機制,能夠利用對稱性破缺來賦予基本粒子質量,同時又不會牴觸到規範場論。這機制被稱為希格斯機制。在所有解釋質量起源的機制之中,希格斯機制是最簡單、最被認可的一種。物理學者已完成了很多實驗,並確實偵測到這機制引發的許多種效應,但是他們不確切了解這機制到底是怎么一回事。
標準模型給出了自然界四種相互作用中的電磁相互作用和弱相互作用的統一描述,但是在能量低於一定條件後,電磁相互作用和弱相互作用將呈現為不同的相互作用,這被稱為電弱相互作用的對稱性自發破缺。希格斯粒子就是在標準模型解釋電弱對稱性自發破缺的機制時引入的。
根據標準模型理論,宇宙空間中的各處,無論是真空中還是空氣中,甚至是物質的內部,都充滿了希格斯粒子(希格斯場)。希格斯粒子被認為是生成基本粒子的“質量”之源。雖然質量總是與“重量”聯繫在一起,但嚴格說起來是不一樣的。質量應該是反映“改變加速度的難易程度”的物理量。
為什麼有些基本粒子具有質量,而有些基本粒子的質量為零?物理學界仍在不停的探索中。而更加令物理學家們棘手的是,即使標準模型理論解決了除引力外的另外三種基本力的統一問題,但引力如何與其他三種達到大一統的局面,仍然缺少一些重要的中間環節。另外,如果愛因斯坦提出的能量與質量交換方程是普適而有效的,那么,質量是否源於能量的凝聚呢?
我們知道,原子中的電子可以有不同的軌道形狀,其自鏇可有不同取向,因此原子可有許多不同能態。對這些可能的態的研究是原子光譜研究的重要內容。我們常用原子光譜來揭示各種不同的態是由什麼決定的,來設計雷射器以及許多其它事情。由於原子光譜本身的重要性以及它與夸克模型有千絲萬縷的聯繫,因此我們得首先花點時間來說說光譜。
像火焰或者恆星大氣這樣的熱氣體中就包含處於不同態的原子。即使是原子核相同、電子數相同的原子,其電子仍然可有不同軌道或不同自鏇取向。這些態有不同的能量。高能態可衰變到底能態並發光。由於能量總體上是守恆的,因此發出的光子的能量可通過其顏色來獲知,這個能量反映了初態和終態之間的能量差。每一種原子發出的光都有一套特徵顏色分布。氫原子發出的光是一組顏色條紋,氦原子發射的光澤是完全不同的另一組顏色條紋,等等。物理學家和化學家將這種顏色分布成為原子頻譜。原子的頻譜起著標識該原子特徵的作用,可以用來識別原子。當你讓光線通過稜鏡從而使不同的顏色分開時,得到的譜就相當於一套條碼。
原子光譜在構建原子內部結構模型方面曾經給予我們很多具體的指向。以此為基礎,我們再回到夸克模型上來。同樣的構想經過改造後再亞原子層面上依然有效。在原子層面上,電子兩個態之間的能量差相對較小,這個能量差從原子總質量來看顯得微不足道。夸克模型的核心思想是,夸克“原子”即強子的不同態之間的能差非常之大,它們對確定強子質量起著重要作用。根據愛因斯坦能量質量交換公式推導出的m=E/c2,我們可以將不同質量的強子理解為不同軌道模式——即不同量子態——的夸克系統具有不同的能量。質言之,原子光譜是供看的,強子譜澤是供稱量的。利用這一原理,蓋爾曼和茨威格證明了,人們可以將觀測到的許多不同的強子解釋為幾個基本夸克“夸克”的不同態。
然而,難以置信的是,儘管科學家們都非常渴望找到單一的夸克粒子,結果卻屢屢失敗。迄今為止,人們沒有觀測到任何粒子具有單一夸克的特性。如同發明永動機的失敗一樣,尋找單個夸克的失敗已經升格為一條原理:夸克禁閉原理。
當物理學家試圖用夸克來充實介子和重子的內部結構模型,以便可以說明它們的質量時,更大的困難出現了。即使是在最成功的模型里,情況似乎總是,當夸克(或反夸克)彼此靠近時,它們幾乎從不注意到對方的存在。夸克之間的相互作用力是如此微弱,人們很難將它與無法發現獨立夸克的事實調和起來。如果夸克彼此接近時不在乎對方的存在,那它們彼此遠離後為什麼不可以單獨存在呢?
這裡可能出現了一種以前從未有過的隨距離增大而增大的基本力。最初的夸克模型沒有給出描述夸克之間力的精確方程。在一方面,夸克模型頗有些類似於前牛頓的太陽系模型,或者前薛丁格/前玻爾原子模型。許多物理學家,包括蓋爾曼本人,認為夸克只是一個可以成為自然界數學描述里的有用的工具,而不是真正意義上的實在的元素。
我們知道,質子內部的物質運動極快。在斯坦福直線加速器中心,科學家實際上是採用電子來轟擊質子,然後觀測兩者碰撞後出射電子的行為。出射電子的能量和動量比碰撞前要少。由於能量和動量整體上是守恆的,因此電子失去的能量可能是被虛光子帶走,並轉交給質子。這往往導致質子經複雜過程而被打破,由此導致了一種新的實驗方法,只追蹤電子,即只關注能量和動量流。
量子理論允許我們調和關於質子是什麼的兩個看似矛盾的概念。一方面,質子內部是動態的,裡面的事情在不斷變化、運動著。另一方面,所有質子隨時隨地都表現出完全相同的行為,也就是說,每一個質子均給出相同機率。如果質子在不同的時間裡表現不一,所有的質子怎么可能表現完全相同的行為?一個簡單而直觀的解釋是,雖然每一個體機率在演化,但整體機率分布卻保持不變。這就像一條平緩但在流動的大河,即使每一個滴水都在向前流淌,但整個河流看上去卻並無變化。
在微觀尺度上大量的粒子都很難被捕捉到。科學家們把它們叫做粒子和反粒子(或者把反粒子叫做虛粒子)。這些虛粒子出現和消失都很快,但也跑不了多遠。科學家們只能在極短時超高解析度的抓拍中和它們偶遇。在任何通常意義下人們都無法見到它們,除非我們能提供所需的能量和動量來促使它們產生。但即便如此,我們看到的也不是原來未受干擾的虛粒子——即自發產生和消失的那種粒子。
現代生物醫學告訴我們,只有藉助於更複雜的生物體(宿主),病毒才可以存活。虛粒子則遠為脆弱,因為它們需要外部幫助才能存在。儘管如此,它們卻在量子力學方程里,而且根據這些方程,虛粒子會影響到我們看得見的粒子的行為。
虛粒子總是成群地處於高速運動的狀態中。物理學家將其稱之為虛空空間中的實體成為一種動態介質。由於虛粒子的行為,正電荷會被部分禁止。也就是說,正電荷周圍往往因為異性相吸引而裹著一層補償性的負電荷。從遠處看,我們感覺不到正電荷的全部靜電力,因為有部分被周圍的負電荷抵消了。換句話說,你越是接近電荷有效電荷就會越多;你越是遠離電荷,它就顯得越小。
在夸克模型里我們正好得出相反的行為。假定夸克模型里的夸克在相互靠近時相互作用很弱,但如果它們的有效電荷在鄰近區域達到最大值時,我們得到的只是相反的結果。這時它們彼此間的距離越小,相互作用就會越強烈;相距越遠,其電荷被禁止得越明顯,因而相互作用也就越弱。
量子電動力學起源於1927年保羅·狄拉克將量子理論套用於電磁場量子化的研究工作。他將電荷和電磁場的相互作用處理為引起能級躍遷的微擾,能級躍遷造成了發射光子數量的變化,但總體上系統滿足能量和動量守恆。狄拉克成功地從第一性原理導出了愛因斯坦係數的形式,並證明了光子的玻色-愛因斯坦統計是電磁場量子化的自然結果。人們發現,能夠精確描述這類過程是量子電動力學最重要的套用之一。另一方面,狄拉克所發展的相對論量子力學是量子電動力學的前奏,狄拉克方程作為狹義相對論框架下量子力學的基本方程,所描述的電子等費米子的鏇量場的正則量子化是由匈牙利-美國物理學家尤金·維格納和約爾當完成的。狄拉克方程所預言的粒子的產生和湮滅過程能用正則量子化的語言重新加以描述。
靜態夸克模型建立之後,在重子質量譜和重子磁矩方面取得了巨大成功。但是,某些由一種夸克組成的粒子的存在,與物理學的基本假設廣義泡利原理矛盾。為解決這個問題,物理學家引入了顏色自由度,並且顏色最少有3種。這個時候顏色還只是引入的某種量子數,並沒有被認為是動力學自由度。
經歷了十年左右的各種實驗,都沒有在靜態夸克模型中發現分數電荷的自鏇1/2的夸克存在,物理學家被迫接受了夸克是禁閉在強子內部的現實。然而,美國的斯坦福直線加速器中心SLAC在七十年代初進行了一系列的輕強子深度非彈性散射實驗,發現強子的結構函式具有比約肯無標度性(Bjorken Scaling)。為解釋這個令人驚奇的結果,費曼由此提出了部分子模型,假設強子是由一簇自由的沒有相互作用的部分子組成的,就可以自然的解釋比約肯無標度性(Bjorken Scaling)。更細緻的研究確認了部分子的自鏇為1/2,並且具有分數電荷。
部分子模型和靜態夸克模型都取得了巨大成功,但是兩個模型對強子結構的描述有嚴重的衝突,具體來講就是夸克禁閉與部分子無相互作用之間的衝突。這個問題的真正解決要等到漸近自由的發現。格婁斯,維爾切克和休·波利策的計算表明,非阿貝爾規範場論中夸克相互作用強度隨能標的增加而減弱,部分子模型的成功正預示著存在SU(N)的規範相互作用,N自然的就解釋為原先夸克模型中引入的新自由度--顏色。
色荷概念的引入和部分子的套用實在量子電動力學基礎的物理學的突破進展。物理學家們將這種新的理論稱之為量子色動力學。兩者之間雖然有諸多相似之處,但還是有如一些重要的區別:首先是膠子對色荷的回響——由量子色動力學耦合常數衡量——要遠遠強於光子對電荷的回響。其次是膠子可以一種色荷變換成另一種色荷。量子電動力學和量子色動力學的第三個重要的區別來自於上述第二個區別的結果。由於膠子對色荷的存在和運動做出回響,而且膠子攜帶不平衡的色荷,因此膠子可以直接對另一個膠子做出回響。這與光子的情形正好相反。
相比之下,光子是電中性的。它們相互之間完全不存在激烈的相互作用。因此這些差異使得量子色動力學的計算結果要比得到量子電動力學的計算結果更為困難。而且,由於存在導致色流動的各種可能性以及更多種類的節點,在做這類計算時,科學家們又引入漸近自由概念。通過引入漸近自由,像噴注的能量和動量的整體流動,都可以通過計算得到確定。
關於世界是由什麼構成的哲學和科學思考一直都在變化。許多枝節性問題仍然保留在今天最好的世界模型和一些大的謎團里。顯然要下結論還為時尚早。
就自然哲學而言,我們從量子色動力學和漸近自由中得到的最重要的認識是,在我們認為是虛空空間的地方實際上充滿了活躍的媒介,其活動鑄就了這個世界。雖然早在大約2000年前成書的大乘佛教的典籍《金剛經》就曾指出“色即是空,空即是色”,而今現代物理學的其它發展強化並充實了這種認識。以後,當我們探索當前知識的前沿時,我們將看到“虛空”空間概念是怎樣一種豐富的動力學媒介,它推動著我們不斷思考如何去實現力的統一。
其實,關於空間虛無性的爭論可以追溯到現代科學的前史,至少可以追溯到古希臘時期。亞里士多德曾經這樣寫道:“自然界厭惡真空”,而他的對手原子論者們則認為,用古羅馬詩人盧克萊修的話來說,就是“整個自然,作為自足的實在,都是由兩件東西組成的:物體和虛空,它們賴以建立,並在其中運動。”
這種思辨性爭論在現代科學的黎明——17世紀的科學革命——得到迴響。笛卡爾提出,對自然世界進行科學描述的基礎應建立在他所謂的基本性質之上:廣延和運動。物質除了這兩點再沒有其他屬性。他的一個重要結論是:某一物質對另一物質的影響唯有通過接觸才能發生。因此為了描述諸如行星的運動,笛卡爾不得不引入無形空間的概念——其中充滿了不可見物質。他構想空間是一種複雜的充滿漩渦的海洋,行星就在其中衝浪。
牛頓用他精確制定的、成功的行星運動數學方程,用他的萬有引力定律,揭示了所有這些潛在的複雜性。但是牛頓的萬有引力定律並不適應於笛卡爾的框架。前者假設物體間的相互作用可以通過一定距離來進行,不必一定要通過接觸。例如,根據牛頓定律,太陽即使不跟地球接觸,也可以對地球施加引力作用。儘管他的方程為說明行星運動提供了一個詳細解釋,但牛頓本人對這種超距作用並不滿意。牛頓在1693年2月25日寫給本特利的信中這樣說道:“一個物體可以不藉助任何其他東西穿越虛空距離而作用於另一個物體,物體通過虛空進行彼此間作用和力的傳遞,這對我來說是很荒謬的。我相信,任何有足夠哲學思維能力的人都不會沉溺於此。”
牛頓的方程發表過後大約一個半世紀的時間裡,數學家們幾乎不曾對此提出過任何質疑,但詹姆斯·克拉克·麥克斯韋卻發現這樣導出的方程不協調。1861年,麥克斯韋發現,他可以通過在方程中引入額外的項來消除這種不一致性,換言之,就是假定還存在著一種新的物理效應。而麥可·法拉第此前早就發現,當磁場隨時間變化時,它們產生電場。麥克斯韋為了解決方程的自洽性,不得不假設存在相反的效應:變化的磁場產生電場。有了這一添加物,場的概念得到了更多的認可和驗證:變化的電場產生變化的磁場,後者反過來再產生變化的電場,如此便形成了每一種自我更新的循環。
麥克斯韋發現,他的新方程組,即廣為人知的麥克斯韋方程組,具有純場解決方案,即場以光速在空間運動。這一綜合的頂峰便是他得出的結論:這些電場和磁場裡自我更新的擾動就是光——一個有待經受時間考驗的結論。對麥克斯韋來說,這些充滿所有空間並可以自己維持生活的場正是上帝榮耀的一個明確標誌:
“廣寬的行星際和星際區域將不再被視為宇宙中無用的場合,人們不再認為造物主還沒在他的王國里找到合適的、具有多重象徵的東西來填補其中。我們將發現,這些場所已經充滿了這種神奇的介質。它們是如此豐盈,人類沒有任何力量可以將其從哪怕是最小的空間上移去,或在其無窮的連續體上留下哪怕最輕微的缺損。”
愛因斯坦對以太的認識是複雜而且多變。在1905年發表的《論動體的電動力學》中這樣寫道:“引入‘光以太’將被證明是多餘的,因為按照所要發展的見解,即不需要引入一個具有特殊性質的‘絕對靜止空間’,也不需要給發生電磁過程的真空中的每一點規定一個速度矢量。”
愛因斯坦的這一強有力的宣示曾經讓很多物理學家困惑不已。在1905年時,物理學界面臨的問題不是沒有相對性理論,而是有兩個相互矛盾的相對性理論。一方面是力學的相對性理論服從牛頓方程。另一方面是電磁的相對性理論,服從麥克斯韋方程組。進一步的研究發現,需要調整的不是新生的電磁理論,而是古老的牛頓力學理論。在狹義相對論里,麥克斯韋場方程無需修改;相反,它們提供了狹義相對論的基礎。事實上,狹義相對論的思想幾乎要求充滿空間的場,也正是在這個意義上解釋了它們為什麼存在的理由。
早在1899年,德國人普朗克提出了第一個最終發展成為量子力學的第一個概念。普朗克提出,原子可以與電磁場交換能量,也就是說,可以發射和吸收電磁輻射,譬如光,但只能以離散的單位量的形式,或者說以量子的形式進行。但普朗克的概念愛因斯坦不甚滿意,他假設,不僅原子發射和吸收光(和一般的電磁輻射)是以離散單位進行的,而且光本身就是以離散的能量單位出現的,並且帶著離散單位動量傳播。有了這些擴張,愛因斯坦能夠解釋更多的事實,並預言了新的現象——其中就包括他於1921年獲得諾貝爾物理學獎的主要工作即有關光電效應的預言。但愛因斯坦明白:普朗克概念與現行物理定律不相符,但有效。現行的這些物理定律一定有錯!
如果光以能量和動量包的形式傳播,那么,光本身以及這些包看成是電磁粒子就自然而然了。場的概念可能更方便,但愛因斯坦從來不是一個貪圖方便而將其當成原理的物理學家。對他而言,空間充滿實體的概念,就像是以無限大的速度經過某物卻看到它與靜止時看到的一樣。
到1920年代,愛因斯坦的廣義相對論問世後,他的態度發生了變化。事實上,廣義相對論更多的是一個基於以太的引力場論。儘管如此,愛因斯坦從未放棄對消除電磁以太的努力。愛因斯坦本人在1920年5月5日在荷蘭萊頓大學的演講中這樣說道:
“如果我們從以太假說的觀點來考慮引力場和電磁場,我們就會發現兩者之間有一個明顯的不同。可以說沒有一種空間,也沒有任何空間部分是沒有引力勢的;因為這些引力勢規定了空間的度規性質,而沒有這些度規性質則是根本無法想像的。引力場的存在於空間的存在是直接相關的。但另一方面,在一部分空間內不存在電磁場則是完全可以想像的。”
歷史地看,狹義相對論肇始於電和磁的研究,導致了麥克斯韋的場論,但它又超越了電磁理論。它的本質是對稱性假設:當你在具有恆定相對速度的兩個參照系考察同一物體時,物理學定律應具有同樣的形式。這一假設是一個普適性陳述,超越了其電磁根源:狹義相對論的坐標變換對稱性適用於所有的物理學定律。狹義相對論的一個主要的結果是存在有限的速度:光速,即零質量粒子在真空中的傳播速度。一個粒子對另一個粒子的影響不能傳播得比光速更快。
但是牛頓的萬有引力定律——遙遠物體受到的引力與其當前距離的平方成反比就不服從這一法則,所以它與狹義相對論不相容。事實上,“當前”這個概念本身就是個問題。對於靜止觀察者同時發生的事件對以恆定速度移動的觀察者來說將不會同時發生。愛因斯坦本人認為,推翻“當前”這個一般性概念,迄今為止仍然是達到狹義相對論認識論的最為困難的一步。但是如果場服從簡單的方程組,那么在存在有限速度的前提下,這種從粒子描述到場的描述的轉換就會變得富有成效,這樣我們可以從場的的值計算出來它們的未來值而不必考慮其過去的值。麥克斯韋電磁理論、廣義相對論和量子色動力學都具有這種屬性。在廣義相對論里,愛因斯坦用彎曲時空的概念來構建他的引力理論。
我們回到標準模型:W和Z玻色子,根據定義它們的方程組,它們本應該像光子和色膠子一樣都是無質量的粒子。但物理學家們卻設法讓W和Z玻色子獲得質量。而且他們也知道,在自然界裡,還有原子紅奇特的物理狀態也可以使無質量的受力粒子獲得質量。使受力粒子變重的模型是超導電性。在超導體內,光子變得沉重。
我們知道,光子在電場和磁場中推動擾動。在超導體內,電子對電場和磁場反應強烈。電子恢復平衡的能力非常強大,它們能對場的運動施加一種遲滯作用。因此在超導體內,光子不是像通常那樣按光速運動,而是要緩慢得多。就好像它們獲得了某種慣性。當你研究方程時,你會發現,超導體內慢下來的光子所服從的運動方程與非零質量粒子的運動方程是一樣的。
質量一向被認為是物質的一種確定的屬性,質言之,質量是一種使物質可稱其為物質的特性。愛因斯坦認為宇宙應有一個無論是在時間上還是在空間上都不變的密度。但是,引力是一種普遍的吸引力,物體都不願意分開。引力總是試圖把物體合在一起。愛因斯坦提出的E=mc2可以看作是他對牛頓萬有引力定律的修正。但是,如果將這一公式轉換成m=E/c ,這一方程的內在含義變成了質量等於所具有的能量與常速光速的平方之比。
量子色動力學是一種非常強大的理論。通過將無質量或幾乎無質量的對象諸如夸克、膠子的計算能夠給出它們的質量,然而,這也當然不是任何意義上的質量,只是我們的質量,即組成我們自身的質子和中子的質量。也就是說,量子色動力學方程組可以從無質量的輸入得到質量的輸出。那,這是為什麼?
首先是夸克的色荷產生一種格線擾動——具體地說,是膠子場擾動——這種擾動隨距離加大而增長。就像一個奇異的風暴雲團,它從最初的中心的一縷雲煙發展成為一種不祥的雷暴雲團。擾動場意味著將其推向高能態。如果你持續擾動無限容量的場,所需的能量將會變成無限大。
其次是可以通過讓一個帶相反色荷的反夸克去接近夸克來迅速遏制。然後,這兩個擾動源相互抵消並恢復平靜。如果反夸克不偏不倚地正好位於夸克的正上方,那么這種抵消是徹底的。這將會是膠子場的擾動最小化:即“無”。但是徹底抵消還需要付出代價:它源自誇克和反夸克的量子力學性質。
根據海森伯的不確定性原理,要獲得準確的粒子位置信息,就必須讓粒子具有很寬的動量範圍,特別是要有粒子的大動量。但大的動量意味著大的能量。所以,更準確地說,要使粒子局域化,就必須更多能量。
再次是我們應該回到愛因斯坦的質量與能量關係方程中來考察。由於有兩種方向相反的互相競爭的作用,要消除夸克對場的擾動,同時儘量減少能量,並使反夸克局域化,所以就必須賦予反夸克相應的活動餘地。這樣雙方在彼此抵消後的總質量不能為零,即m=E/c的平方。這樣我們從無質量的輸入得到質量的輸出。這同時也是質量的起源量子力學解釋。
任意兩質點之間的萬有引力,就是組成物質的粒子之間通過交換“引力子”實現的。而在廣義相對論中,物體之間的萬有引力則被認為是時空彎曲的表現。物質的存在使得它周圍的時空發生彎曲,而物體在彎曲的時空中沿測地線運動,就自然地表現為相互吸引。
牛頓萬有引力定律指出:兩個質點之間的萬有引力,與它們的質量乘積成正比,與它們二者之間距離的平方成反比。它實際上是廣義相對論的引力理論在靜態弱引力場中低速運動情況下的一種近似。
萬有引力傳播的媒介子——“引力子”
1913年,偉大的物理學家愛因斯坦提出了萬有引力場論。愛因斯坦認為任何帶有質量的物體周圍都存在有引力場,引力場是通過引力波來傳播的,引力波像電磁波那樣通過媒介子傳播,我們都知道電磁波是通過光子來傳播能量的,因此它的媒介子是光子,引力波在傳播能量的過程中,同樣有媒介子的作用,愛因斯坦把這一媒介子稱之為引力子。引力子以光速傳播,它的質量與光子一樣為0。
經過這么多年的探索,人們一直沒能在宇宙中發現它的蹤影,我們沒有足夠的證據證明它的存在,也沒有足夠的證據否認它的存在。因此,探索引力子是否存在成為科學界的一大難題。
雖然引力子在宇宙中無處不在,但探索之路仍然是舉步維艱。有學者認為,引力之微弱表明,其媒介子引力子幾乎不與其它的物質發生反應,這是我們長期探測不到它的原由,這個理由雖然很有說服力,但也不足以證明引力子是存在的事實。
試圖找到一種更有說服力的方法,就是證明引力波的存在,從而間接的證明引力子的存在。如果可以證明宇宙中有引力波存在,那么引力波必定有與之對應的媒介子引力子來傳遞能量。
引力波在宇宙中是普遍存在的,星體的加速鏇轉,相撞,吞併等都可以使引力場發生擾動並產生引力波,但由於引力波與引力子一樣很難與其它物質發生反應,以至於至今我們無法探測它的存在,只能間接地通過觀測行星發生引力輻射,而導致周期的變化證實它的存在。
引力輻射是引力波的另一種稱呼,它是指引力波從星體或星系中輻射出來的現象,如果證明了引力輻射的存在就等於證實了引力波的存在。
為什麼這樣說呢?
引力輻射是一種能量的輻射。假如一個行星圍繞恆星運動,恆星的鏇轉會伴隨有引力輻射的發生,使得行星的運轉軌道發生變化,其主要變化特徵表現在行星運動周期的減小,如果行星的運動周期減小,那么就能說明引力輻射的發生。
這一現象在1974年,被赫爾斯和泰勒二人所證實。他們對脈衝雙星PSR1913+16進行觀測,發現它們的公轉周期變小率為(-2.40±0.09)×10 ,這個數值與廣義相對論的計算符合的很好,廣義相對論的預言值為(-2.403±0.002)×10 ,這一點充分證明了引力輻射的存在。
引力輻射的存在,意味著引力波在宇宙中是存在的,並且無所不在。同時也證明了引力波的媒介子引力子的存在。
通過這些論斷,可以證明引力子在宇宙中是必定存在的,只不過我們無法探測到。引力子的無法探測性,其實並不影響我們尋求量子引力理論,因為量子引力理論建立的基礎是場,而不是粒子。
廣義相對論
牛頓的萬有引力定律很好地解釋了地面上物體所受的重力、海洋的潮汐和行星與天體的運動,把天上的運動和地上的運動統一了起來,具有非常重要的意義。但讓牛頓感到遺憾的是,他一直沒能解釋清楚兩個有質量的物體之間為什麼會有引力?這個問題被愛因斯坦的廣義相對論很好地解決了。
廣義相對論實際上就是關於萬有引力本質的理論。它認為,一個有質量的物體,會使它周圍的時空發生彎曲,在這個彎曲的時空里,一切物體都將自然地沿測地線(也叫做“短程線”)運動,而表現為向一塊靠攏。我們看不到時空的彎曲,只看到物體在互相靠攏,就認為它們之間存在著一種“萬有引力”,實際上物體之間表現出來的這種萬有引力,並不是一種真正的力,而是時空彎曲的表現。
四維時空的彎曲我們不好想像,但是可以降一維(在二維平面上)做個比喻。構想有一塊布把它懸空展平,上面放一個小球,它就會把布壓彎,在另一個地方再放一個小球,它也會把它周圍的布壓彎。我們看到,這兩個小球就會自然地向一塊靠攏,這是它們在沿各自的測地線運動的結果。我們看不到布的彎曲,只看到小球在向一起靠攏,就說它們之間有個引力存在,其實它只是時空彎曲的表現而已 。
這種解釋在水星近日點的進動、光線在引力場中的彎曲、引力紅移等問題上得到了很好的檢驗,其後在大量更精密的實驗中得到了進一步的檢驗,與實驗符合得很好。廣義相對論被認為是一種最好的萬有引力理論。
引力傳播速度
中國科學家測得引力傳播速度。
經過10多年的持續探索,中國科學家在世界上成功獲得“引力場以光速傳播”的第一個觀測證據。這項原始創新成果,實現了物理學界多年來對通過實驗或觀測獲得引力場傳播速度的期待,對引力場的理論和實驗研究具有重要意義。
中國科學院地質與地球物理研究所26日下午在北京對外宣布,由該所湯克雲研究員領銜、中國地震局和中國科學院大學有關科研人員組成的科學團組,經過10多年的持續探索在實施多次日食期間的固體潮觀測後,發現現行地球固體潮公式實際上暗含著引力場以光速傳播的假定,從而提出用固體潮測量引力傳播速度的方法。
湯克雲科學團組先後實施1997年漠河日全食觀測、2001年尚比亞日全食觀測、2002年澳大利亞日全食觀測、2008年嘉峪關日全食觀測、2009年上海-杭州-湖州日全食觀測和2010年雲南大理日環食觀測,主要是重力固體潮觀測。
中國科學家們觀測研究發現:現今固體潮理論公式中隱含著引力場以光速傳播的假定,進而導出引力傳播速度方程,並找到求解引力場速度的有效方法。湯克雲科學團組隨後選擇遠離太平洋、大西洋、印度洋和北冰洋的西藏獅泉河站和新疆烏什站的固體潮數據作相關校正後,代入引力傳播速度方程,最終獲得全球“引力場以光速傳播”的第一個觀測證據。
專家介紹說,牛頓的萬有引力定律表明,引力傳播是一種超距作用,引力可以在瞬間傳播至任意遠處,愛因斯坦則認為牛頓的超距作用應該放棄。一直以來,整個物理學界都在期待著通過實驗或觀測獲得引力場傳播的速度,但此前均未找到正確的實驗或觀測方法。
![萬有引力[自然科學領域定律] 萬有引力[自然科學領域定律]](/img/1/092/nBnauM3XzcDO5gTM4cDM1EDN0UTMyITNykTO0EDMwAjMwUzL3AzL1EzLt92YucmbvRWdo5Cd0FmLyE2LvoDc0RHa.jpg)
