簡介
在光學裡, 菲涅耳衍射(Fresnel diffraction)指的是光波在近場區域的衍射。菲涅耳衍射積分式可以用來計算光波在近場區域的傳播,因法國物理學者奧古斯丁·菲涅耳而命名,是基爾霍夫衍射公式的近似。
從每一個光學系統特徵的菲涅耳數,可以辨別光波傳播的區域是近場還是遠場。構想光波入射於任意孔徑,對於這光學系統,菲涅耳數定義為
菲涅耳衍射
菲涅耳衍射
菲涅耳衍射
菲涅耳衍射其中,是孔徑的尺寸,是孔徑與觀察屏之間的距離,是入射波的波長。
菲涅耳衍射假若,則衍射波是處於近場,可以使用菲涅耳衍射積分式來計算其物理性質。
菲涅耳衍射
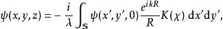
菲涅耳衍射假設照射光波於開有孔徑的不透明擋板,則會有衍射圖樣出現於觀察屏。根據惠更斯-菲涅耳原理,從孔徑內部任意點次波源Q發射出的圓球面次波,在觀察屏點P的波擾為
菲涅耳衍射
菲涅耳衍射
菲涅耳衍射
菲涅耳衍射
菲涅耳衍射
菲涅耳衍射
菲涅耳衍射
菲涅耳衍射
菲涅耳衍射
菲涅耳衍射
菲涅耳衍射
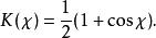
菲涅耳衍射其中,是點P的直角坐標,是點Q的直角坐標,是波長,是積分平面(孔徑),是位於點次波源Q的波擾,是從點Q到點P的位移矢量,是的數值大小,是傾斜因子,是垂直於孔徑平面的法矢量與之間的夾角。
菲涅耳衍射古斯塔夫·基爾霍夫給出了傾斜因子的表達式:
菲涅耳衍射除了最簡單的衍射案例以外,幾乎不可能找到這積分式的解析解。通常,必須使用數值分析方法來解析這積分式。
原子反射鏡
由於菲涅耳衍射機制,原子波入射於由物質形成的相互平行凸脊陣列,會被鏡面反射。這效應可以用來實現原子反射鏡。
參閱
•菲涅耳積分
•菲涅耳波帶(Fresnel zone)
•基爾霍夫積分定理
•基爾霍夫衍射公式

