簡介
若是一個遠場傳遞的電磁波,則比較類似夫朗和斐衍射公式。對於一個近場的電磁波,我們可以用菲涅爾數去觀測其性質。菲涅爾數隻要遠遠大於一的時候,就代表此衍射波是處於近場。菲涅爾衍射積分式我們可以使用下述的近似去推導(後面章節也有較為完整的描述),可以寫成以下式子:
菲涅爾轉換
菲涅爾轉換
菲涅爾轉換
菲涅爾轉換
菲涅爾轉換這裡 是用 所描述的極大值角度, 是孔徑的尺寸, 是孔徑與觀察屏之間的距離。
早期針對菲涅爾轉換的研究
追溯菲涅爾轉換為人知的時期,要回到十七世紀的時候,由一位義大利人Francesco Maria Grimaldi在他的專題論文-"light"所提出的。接著,Richard C. MacLaurin藉由觀測光的傳遞、一條遠距離光源所產生的光束遇到一個有孔或狹長的障礙物時如何被影響,去解釋菲涅爾衍射現象。他使用了惠更斯-菲涅耳原理去做推導,發現光的波前從障礙物的狹縫中穿出且射到一個距離狹縫有一段距離的螢幕上的效果,跟光的波前直接穿過去是差不多的,看起來就好像沒有經過任何的物理障礙一樣。這個結果表示如果一個縫隙如果非常的狹長,具有明亮中心的衍射寬頻則可以被觀測到;如果這個縫隙相對來說比前一個狀況寬一些,則會看見明暗交錯的衍射寬頻。若這個隙縫繼續的變大,則明暗交錯的衍射寬頻會漸漸地變的不明顯,直到衍射的現象無法再被觀測到為止。
MacLaurin沒有提到關於光如果從一個小孔照耀出去的話,衍射的中心會有機率受到影響而看不見。但是他指出相反的情況-如果一個圓形物體的影子區域,可能經由衍射效果而使的此區域變明亮,這也是我們俗稱的阿拉戈點。
在MacLaurin的著作-"光學"中,Francis Weston Sears提供了一個菲涅爾所提出的數學近似法,僅僅用一些簡單的數學,就能拿來預測衍射現象的主要特色。藉由觀測有洞的障礙物到偵測螢幕的直線距離,以及知道入射波的波長,我們是有可能去計算出菲涅爾區域。這個區域的特性是,最內部區域是一個圓,接著會有一層一層的同心環所包圍。如果最內部的圓之直徑在螢幕上已經足夠顯示出第一個菲涅爾區域且偵測螢幕沒有被禁止的話,光在螢幕中心點的振幅就會比原本的大兩倍。如果最內部的圓之直徑在螢幕上已經足夠顯示出前兩個菲涅爾區域,則光在螢幕中心點的振幅會趨近於零。這表示菲涅爾衍射還是有機會出現一個暗帶中心。上述所提到的特性都可以藉由實驗觀測到以及量測到,而且可以對應到充足的理論,讓我們可以去計算出這些現象發生時,各個條件所對應到的值。
菲涅爾轉換的積分
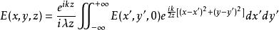
菲涅爾轉換要推導菲涅爾轉換,我們先考慮一個電場的衍射模式,給定 座標,其公式如下:
菲涅爾轉換
菲涅爾轉換
菲涅爾轉換
菲涅爾轉換
菲涅爾轉換其中, 是電磁波在原點的電場分布, 則是兩個座標點位置的距離,其值為 , 則為虛數的符號。 除非是最簡單的衍射形式,否則我們無法直接從此積分式得到分析解,所以在實作上我們通常是以數值方法去計算其值。
菲涅爾轉換的近似型
菲涅爾轉換
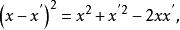
菲涅爾轉換原積分式較為難處理的部分便是{\displaystyle r}變數,因此我們先對他採取代數轉換,引入一個新變數 ,代換掉 維度的距離:
菲涅爾轉換
菲涅爾轉換
菲涅爾轉換
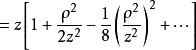
菲涅爾轉換因此 就可以被改寫成以下形式,並且用泰勒展開式去近似成以 和 表示
菲涅爾轉換
菲涅爾轉換
菲涅爾轉換因為我們有以下的性質:
菲涅爾轉換
菲涅爾轉換
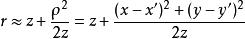
菲涅爾轉換,在此情況下 即為
菲涅爾轉換
菲涅爾轉換
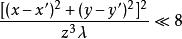
菲涅爾轉換接著,我們考慮上述展開式的第三項以後,我們希望那之後的項都非常小,小到可以忽略,若要達成這項條件,因為 在原電場關係式出現於複數exponential的次方以及分母,在 的情況下,分母部分第三項以後可以直接省略;而對於複數exponential的次方部分,其必須遠小於一個周期,也就是 。
這表示我們希望有以下性質:
菲涅爾轉換
菲涅爾轉換
菲涅爾轉換,又 ,故可得
菲涅爾轉換
菲涅爾轉換
菲涅爾轉換將 代換回來,我們可將不等式滿足的條件改寫成下式,這表示只要積分式中的 符合下列不等式,我們便能近似 。
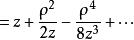
菲涅爾轉換近似結果為泰勒展開式的前兩項:
菲涅爾轉換
菲涅爾轉換
菲涅爾轉換
菲涅爾轉換同時我們將分母的 簡化,由於第一項會遠比第二項來的大,因此我們直接將 近似成 ,並將原本的電場公式改寫如下:
菲涅爾轉換如前所述,本式子成立的條件須要我們能比較衍射半徑以及電磁波傳遞之距離,且前者須遠遠小於後者,不論是針對分子的複數exponential的項,或者是分母的項皆是如此。一般來說,當菲涅爾數為1的時候,菲涅爾衍射是可以發生的。同時,觀察此方程式,我們可以發現其類似一個球型波傳遞。雖然此積分式的分析解依然不容易求得(只有發生在少數狀況可直接得到),若要在更簡化則需要使用夫朗和斐衍射公式。此外,菲涅爾衍射具備波前的曲線性,這樣才能計算出近場電磁波干擾時的相對相位角。
菲涅爾轉換與線性標準轉換
菲涅爾轉換要提到菲涅爾轉換,我們也必須提到線性標準轉換,因為菲涅爾轉換可視為線性標準轉換的一種在時頻分析上的修剪形式(傅立葉轉換對應到的事在時頻分析上的旋轉);此處以z方向為電磁波傳遞方向,因 在積分式中不是待積分變數,我們可將式子簡化,以二維的方式呈現,線性標準轉換的方程式如下:
菲涅爾轉換
菲涅爾轉換
菲涅爾轉換
菲涅爾轉換當 當
菲涅爾轉換
菲涅爾轉換
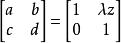
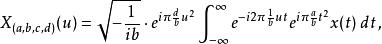
菲涅爾轉換根據上述公式,菲涅爾轉換為線性標準轉換的一個特例,表示形式為:且 若將線性標準轉換的a,b,c,d四個參數寫成一個二乘二的矩陣以及一個行列式限制條件來表示,如同矩陣 ,其條件為 ,可以變換出許多衍生的形式。
菲涅爾轉換
菲涅爾轉換
菲涅爾轉換
菲涅爾轉換其中, 代表波長, , 為電磁波傳遞方向的距離。
我們亦可把菲涅爾轉換當成是兩個一維的線性標準轉換的合成 ,表示如下:
菲涅爾轉換
菲涅爾轉換若以矩陣形式來看,則為
菲涅爾轉換的其他形式
卷積
菲涅爾轉換的積分式也可以有其他種的表示方式,以達到使用其數學性質的目的,如果我們定義以下的函式:
菲涅爾轉換這個積分可以被表示成卷積的形式
菲涅爾轉換
菲涅爾轉換換句話說,我們可以將這個電磁波的傳遞,以線性濾波器的模型來表示。這也是為什麼我們一般會將稱為自由空間傳遞時的脈衝回響。
傅立葉轉換
菲涅爾轉換
菲涅爾轉換
菲涅爾轉換
菲涅爾轉換另外一種常見的變換形式就是傅立葉轉換,如果在積分式中,我們將用來取代,亦即,並且將的關係展開:
菲涅爾轉換
菲涅爾轉換
菲涅爾轉換
菲涅爾轉換那么我們便可以將此積分式變換為一個二維的傅立葉轉換表示形式,接著,我們使用定義為函式的傅立葉轉換:
菲涅爾轉換
菲涅爾轉換
菲涅爾轉換其中所代表的是空間頻率,也就是所謂的波數的意思,如此一來,將代入,我們便能將原本的菲涅爾轉換表示。
菲涅爾轉換
菲涅爾轉換
菲涅爾轉換
菲涅爾轉換換句話說,當我們運用此性質時,先計算的傅立葉轉換,再將代回,並乘上。這樣子表示的好處是,當有一個程式可以讓我們知道目標函式的傅立葉變換,我們便可以用這個方法直接計算,而且此表示形式也與線性標準轉換較為類似 。
離散一般化菲涅爾轉換
2006年,由I. Aizenberg和J.T. Astola所發表,是由線性卷積的離散轉換所發想而來。他們使用一個可被廣泛運用的代數方法,使得能在任意的向量空間中做訊號分析。I. Aizenberg和J.T. Astola找到了一個可被運用在離散傅立葉轉換的一般化菲涅爾轉換,並且得出有偶數次的離散傅立葉轉換有兩個一般化的菲涅爾轉換函式、奇數次的離散傅立葉轉換則只有一個一般化的菲涅爾轉換函式。而這些菲涅爾轉換主要是由Walsh轉換與聯合轉換所推導而來。
2015年,由Xing Ouyang等人發表的"Discrete Fresnel Transform and Its Circular Convolution"利用如離散傅立葉轉換以及正弦餘弦函式等離散三角轉換,運用他們的特性,去導出在無線周期的光柵系統下的離散菲涅爾轉換。相較於以前的離散菲涅爾轉換,Xing等人所得出的不會有衰減的現象。同時,菲涅爾轉換的圓形卷積也是第一次在這篇論文中被探討,他可以證明出兩個序列的圓形卷積等同於其中一個訊號與菲涅爾轉換的圓形卷積,這個性質除了可以幫助我們得出托爾伯特圖像的參數外,亦可在光學上有所運用,也可以對於資料處理和菲涅爾轉換的數值分析有幫助。
