菱形十二面體菱形十二面體不是均勻的,它有兩類頂點:一類是由菱形的銳角4個組成,有6個這樣的頂點;一類是由菱形的鈍角3個組成,有8個這樣的頂點.其中後者即三個面交於一頂點這種結構可以在蜂巢的底部找到.同一類頂點不會出現在一條棱上,一條棱兩端總是不同類頂點.
菱形十二面體
菱形十二面體展開圖菱形十二面體能單獨密鋪一個無限三維空間。
菱形十二面體
菱形十二面體
菱形十二面體
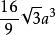
菱形十二面體如果棱長為a時,表面積為≈11.3137085體積為≈3.07920144
內切球半徑:6^0.5/3,內切球體積占菱形十二面體體積的π*2^0.5/6約74.0480490%

