立方八面體共有24條棱,12個頂點,14個面組成,其中14個面為六個正方形和八個正三角形。
立方八面體其面積為
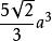
立方八面體體積為
對於化學中離子晶體,將相鄰負離子的球心連線可以形成這樣的立方八面體,12個負離子形成的立方八面體空隙可以填入正離子,對於正離子其配位數為12,另外正離子還可以填入正三角形、正四面體,正八面體,立方體的空隙中,對應的正離子配位數分別為3、4、6、8.
形成這樣的離子晶體時,正負離子的半徑比為1:1,也就是說,當Panling半徑中正離子半徑比負離子半徑比大於1時,將形成這樣的離子晶體,按照Pauling規則,這樣的立方八面體按照頂對頂的形式結合形成離子晶體。

