定義
莫比烏斯函式(Möbius function)是指以下的函式:
莫比烏斯函式在這裡,λ( n)是劉維爾函式
莫比烏斯函式是一個數論函式,它同時也是一個積性函式(i.e. μ( ab) = μ(a) μ( b), a,b互質)
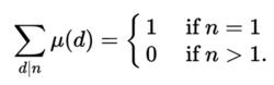
當n不等於1時,n所有因子的莫比烏斯函式值的和為0,
莫比烏斯函式莫比烏斯函式完整定義的通俗表達:
1)莫比烏斯函式μ(n)的定義域是N
2)μ(1)=1
3)當n存在平方因子時,μ(n)=0
4)當n是素數或奇數個不同素數之積時,μ(n)=-1
5)當n是偶數個不同素數之積時,μ(n)=1
莫比烏斯函式前50個莫比烏斯函式值繪製如下:
莫比烏斯函式其他函式
梅滕斯函式
莫比烏斯函式莫比烏斯函式的求和函式,被稱為梅滕斯函式。
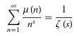
與生成函式
莫比烏斯函式莫比烏斯函式有多個生成函式,其中一個與黎曼的ζ(s)有關
莫比烏斯函式這個式子可由歐拉積公式展開得到
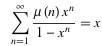
莫比烏斯函式莫比烏斯函式的另一個生成函式如下
其中 |x|<1
與無窮級數
以下是關於莫比烏斯函式的一些無窮級數:
莫比烏斯函式
莫比烏斯函式
莫比烏斯函式
莫比烏斯函式
莫比烏斯函式
