字源
莫列波紋來自法語:moiré,是一種紡織品,它的紋路類似於水波。最早這種紡織品是由絲作成,後來也用棉線或人造纖維來呈現相同的效果。
計算
莫列波紋
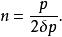
莫列波紋考慮兩組由平行且等距之線構成的圖樣。第一個圖樣線距p,第二個線距則為,並有。
莫列波紋
莫列波紋假如圖樣的線重疊於左側,則線之間的位移隨著往右而加大。給定數值支線以後,圖樣相反了:第二個圖樣之線位於第一個圖樣線之間。從遠距離觀察,當線重疊時看起來空白,線‘倒反’時看起來暗。第二個圖樣第n線與第一圖樣第n線相比,移動了。 於是,第一暗區的中央為: 即
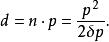
莫列波紋一暗區與一亮區之間的距離 d為
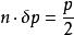
莫列波紋兩暗區(同時也是兩亮區)之間距離
莫列波紋
莫列波紋由此公式,易見: 線距愈大,亮區與暗區之間距離越大。 線距之差愈大,亮區與暗區愈近。
意義與套用
列印全彩圖案
於圖像藝術與印前,列印全彩圖像需藉助半色調螢幕的重疊。有些無法避免的莫列波紋是可接受的,因其十分"緊緻";即,其空間頻率高到難以察覺。有些印前作業藉由選定角度與半色調頻率來避免。莫列波紋的可見性不易預測,相同的螢幕對不同影像,成效不同。
於製造業中,波紋被用來研究材料的微觀形變。
電視螢幕與照片
當電視中人物穿戴有特定圖樣或紋路的服裝時會產生莫列波紋。移動時莫列波紋十分易見。也是因為如此,主播或其他相關從業人員皆會注意,避免穿著造成效應的服裝。
用數位相機拍攝電視螢幕也經常有莫列波紋。電視螢幕與數位相機皆用水平掃描線捕捉影像,因此導致莫列效應。 將數位相機對電視做30度傾斜可避免效應。
海洋探勘
莫列效應也經常用於海岸警示 (通常有關管線或纜線).莫列效應會產生指向危險的箭頭,當指示器經過危險處時,警示的箭頭在轉換方向前會先呈垂直帶狀。(50°51′21.63″N1°19′44.77″W).
紙鈔
許多紙鈔採用波浪或螺線設計,以利用數位掃瞄器產生莫列圖樣的傾向防止偽造。

