化學原理
草甘膦植物綠色部分均能很好地吸收草甘膦,但以葉片吸收為主,吸收的藥劑從韌皮部很快傳導,24小時內大部分轉移到地下根和地下莖。雜草中毒症狀表現較慢,1年生雜草一般3~4天后開始出現反應,15~20天全株枯死;多年生雜草3~7天后開始出現症狀,地上部葉片先逐漸枯黃,繼而變褐,最後倒伏,地下部分腐爛,一般30天左右地上部分基本乾枯,枯死時間與施藥量和氣溫有關。
此藥劑接觸土壤即失去活性,對土壤中潛藏種子無殺傷作用。草甘膦殺草範圍廣,能滅除1~2年生和多年生的禾本科、莎草科、闊葉雜草以及藻類、蕨類植物和灌木,特別對深根的惡性雜草如白茅、狗芽根、香附子、蘆葦、鋪地黍等有良好的防除效果。
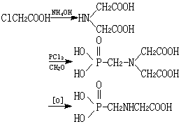
生產方法
加壓法
用三氯化磷與無水甲醛在加壓下反應,產物水解得到氯甲基膦酸,再與甘氨酸縮合生成草甘膦原藥,反應式為:

常壓法
用氯乙酸和氨水在氫氧化鈣存在下反應得到亞氨基二乙酸,再與甲醛、三氯化磷縮合生成中間體雙甘膦,最後氧化得到草甘膦原藥,反應式為:

主要套用
草甘膦是滅生性芽後除草劑,通過莖葉吸收進入植物體內,並傳導至全身組織,抑制胺基酸的生物合成,干擾光合作用,使之枯死。草甘膦對一二年生和多年生深根雜草均能防除,但對作物也有藥害,不可直接噴灑到作物植株上。通常使用其鹽類的水溶液,用於橡膠園、茶園、果園、森林苗圃及防火帶等除草,也廣泛套用於鐵路、公路、機場、油庫、電站等非農耕地的除草。草甘膦還可配合免耕法在農作物休耕期或播種前施用,殺死田間覆蓋的雜草。草甘膦在土壤中迅速分解,沒有持效期。
防治對象
主要防除蘋果園內一、二年生全禾本科、莎草科雜草及闊葉雜草,對多年生雜草白茅、狗牙根、香附子等雜草也有良好的防除效果。使用方法
草甘膦在雜草生長最旺盛、株高15厘米左右時噴藥最好。隨著雜草的長大和成熟,需較高的用藥量,多年生雜草施藥過早,雖能殺死雜草的地上部分,但由於根莖未被殺死,仍能再生;施藥過晚,雜草的莖稈木質化,不利於藥劑在植株中傳導。
其用藥量視不同的雜草群落而有差異,以闊葉雜草為主的果園,每667㎡用10%草甘膦水劑750~1000毫升;以1~2年生禾本科雜草為主的果園,每667㎡用10%草甘膦水劑1500~2000毫升;以多年生深根雜草為主的果園,每667㎡用10%草甘膦水劑2000~2500毫升。施藥時,先將藥劑加水30~50千克稀釋成藥液,再加入用水量0.2%的洗衣粉作表面活性劑,充分攪拌、均勻噴灑雜草莖葉。
施藥時注意風向,儘量低噴,藥液只能觸及雜草,不能接觸綠色樹皮、嫩枝、新葉片和生長點,以免引起果樹藥害。天氣乾旱,雜草生長不旺時,可在不增加劑量的情況下分次施藥,第一次施全藥量的30%~40%,隔3~5天再施一次,這樣有利於藥劑的吸收與傳導,提高除草效果。
產品毒性
草甘膦屬低毒除草劑,原粉大鼠急性經口LD50為4300毫克/公斤,兔急性經皮LD50>5000毫克/公斤。對兔眼睛和皮膚有輕度刺激作用,對豚鼠皮膚無過敏和刺激作用。草甘膦在動物體內不蓄積。
在試驗條件下對動物未見致畸、致突變、致癌作用。對魚和水生生物毒性較低;對蜜蜂和鳥類無毒害;對天敵及有益生物較安全。純品為白色固體,在水中的溶解度為1.2%(25攝氏度時)。對人畜毒性低。大鼠急性口服LD50為4320毫克/公斤,家兔經皮LD50>7940毫克/公斤。對魚低毒。
歷史
草甘膦的除草性質是1971年由美國D.D.貝爾德等發現的,由孟山都公司開發生產的,到上世紀80年代已經成為世界除草劑的重要品種。草甘膦的水溶性差,難以直接使用,因開發初期技術有限,沒能做得出可令草甘膦可直接溶解於水的農藥產品,當時要將草甘膦加工配製成異丙胺鹽、鉀鹽或鈉鹽等草甘膦鹽類才能溶解於水使用,才能做出在農業、林業上可以使用的除草劑產品。
在1997年,南通飛天化學實業有限公司開發製成草甘膦直接溶解於水的產品,成功發明了“混和直溶法”,利用該公司獨立開發的植物源助劑(SD、SDP)與草甘膦原藥物理混合成粉劑、粒劑,即可溶於水使用。
抗草甘膦(Glyphosate)轉基因植物是由於轉入了用含草甘膦培養基篩選培養的抗草甘膦的EPSP合成酶(5-烯醇丙酮莽草酸-3-磷酸合酶)的大腸桿菌基因,該酶是一種重要的胺基酸代謝酶,而且,轉基因植物也具有更高濃度的酶,能耐受更高濃度的草甘膦。
作物對象
茶樹——一年生雜草和多年生惡性雜草茶園——一年生雜草、多年生惡性雜草、雜草
春夏玉米——行間雜草、雜草
春夏玉米田——行間雜草、一年生及多年生雜草
冬菜油田——一年生雜草、多年生雜草、雜草
防火隔離帶、森林防火道——多年生雜草、雜草、雜灌
非耕地——多年生雜草、行間雜草、一年生雜草、雜草
甘蔗——一年生雜草和多年生惡性雜草、雜草
甘蔗田——行間雜草、一年生及多年生雜草
柑橘——一年生和多年生雜草、雜草
柑橘樹、蘋果樹——雜草
柑橘園、蘋果園——多年生雜草、行間雜草、一年生雜草、雜草
公路、鐵路——行間雜草、一年生及多年生雜草、雜草
果園——行間雜草、一年生雜草、多年生惡性雜草、雜草
劍麻——雜草、一年生雜草、多年生惡性雜草
梨園——行間雜草、雜草、一年生雜草、多年生惡性雜草
棉花——行間雜草、雜草
棉花田——一年生和多年生雜草
橡膠園、桑園——行間雜草、雜草、一年生雜草、多年生惡性雜草
注意措施
急救措施
皮膚接觸:脫去污染的衣著,用大量流動清水沖洗。
眼睛接觸:提起眼瞼,用流動清水或生理鹽水沖洗。就醫。
吸入:迅速脫離現場至空氣新鮮處。保持呼吸道通暢。如呼吸困難,給輸氧。如呼吸停止,立即進行人工呼吸。就醫。
食入:飲足量溫水,催吐。就醫。
消防措施
危險特性:遇明火、高熱可燃。其粉體與空氣可形成爆炸性混合物,當達到一定濃度時,遇火星會發生爆炸。受高熱分解放出有毒的氣體。具有腐蝕性。
有害燃燒產物:一氧化碳、二氧化碳、氮氧化物、氧化磷。
滅火方法:消防人員必須穿全身耐酸鹼消防服。切勿將水流直接射至熔融物,以免引起嚴重的流淌火災或引起劇烈的沸濺。滅火劑:霧狀水、泡沫、乾粉、二氧化碳、砂土。
泄漏應急處理
應急處理:隔離泄漏污染區,限制出入。切斷火源。建議應急處理人員戴防塵口罩,穿防酸鹼工作服。不要直接接觸泄漏物。小量泄漏:避免揚塵,小心掃起,收集運至廢物處理場所處置。大量泄漏:收集回收或運至廢物處理場所處置。
注意事項
操作注意事項:
密閉操作,局部排風。防止粉塵釋放到車間空氣中。操作人員必須經過專門培訓,嚴格遵守操作規程。建議操作人員佩戴自吸過濾式防塵口罩,戴化學安全防護眼鏡,穿橡膠防腐工作服,戴橡膠手套。遠離火種、熱源,工作場所嚴禁吸菸。使用防爆型的通風系統和設備。避免產生粉塵。避免與氧化劑接觸。配備相應品種和數量的消防器材及泄漏應急處理設備。倒空的容器可能殘留有害物。
儲存注意事項:
儲存於陰涼、通風的庫房。遠離火種、熱源。防止陽光直射。包裝密封。應與氧化劑分開存放,切忌混儲。配備相應品種和數量的消防器材。儲區應備有合適的材料收容泄漏物。
個人防護:
呼吸系統防護:空氣中粉塵濃度超標時,必須佩戴自吸過濾式防塵口罩。緊急事態搶救或撤離時,應該佩戴空氣呼吸器。
眼睛防護:戴化學安全防護眼鏡。
身體防護:穿橡膠防腐工作服。
手防護:戴橡膠手套。
其他防護:工作場所禁止吸菸、進食和飲水,飯前要洗手。工作完畢,淋浴更衣。保持良好的衛生習慣。
行業現狀
受海外需求增長和價格上漲影響,草甘膦概念出現大幅走強。截止全天收盤,新安股份漲停,江山股份漲6.41%,揚農化工漲6.43%,沙隆達A漲4.08%。
數據顯示,2014年8月1至10日,大部分生產資料市場價格與7月下旬相比明顯下降,而草甘膦價格繼續上漲。對此,業內人士表示,進入8月市場將迎來採購旺季,市場拐點有望在8月出現,可能在中旬或者月末更為明顯,而價格的 上漲幅度需看海外的採購力度。草甘膦為目前全球套用最廣、份額最高的農藥除草劑。從長遠來看,市場需求仍在逐漸增加,根據機構最新報告顯示,全球草甘膦市場有望於2019年達到87.9億美元,期間的年複合增長率可達7.2%。每年的9月和10月為南美地區草甘膦市場的傳統旺季,由於運輸時間的緣故,通常針對草甘膦的採購時間最早從7月底和8月就開始,因此該時段往往被視為行業反轉的關鍵節點進入8月,市場將迎來採購旺季,市場拐點有望在8月出現,可能在中旬或者月末更為明顯,而價格的上漲幅度需看海外的採購力度。
據了解,中國是草甘膦最大的生產和出口國。近年來,受環保因素的影響,產能逐步向龍頭企業集中。目前國內涉及草甘膦的龍頭企業新安股份、江山股份、揚農化工和興發集團,都通過了環保部公布的第一批符合環保核查要求生產企業名單。
主要事實
草甘膦尚未被列入加利福尼亞州第65號法案“加利福尼亞州已知導致癌症”化學品清單該法案僅限於加利福尼亞州,並不適用於美國聯邦其它州
美國加利福尼亞州環境健康危害評估辦公室(OEHHA)不是政府監管機構
OEHHA的唯一根據,是IARC2015年3月對草甘膦的有爭議分類。
IARC的分類與世界各地監管機構和其他專家的權威性共識均不一致。同時,OEHHA自相矛盾,其2007年對草甘膦的科學評估結論是:“證據顯示,草甘膦不大可能對人類有致癌危害”。
中國農業部於2016年出版科普讀物:《草甘膦與轉基因:一場科學邂逅》(中國農業出版社2016年10月第1版)闡述了IRAC與全球主要監管機構的結論不一致。
最新全球監管機構結論:歐洲化學品管理局認為草甘膦不致癌2017年3月15日
2017年3月15日,歐洲化學品管理局(EuropeanChemicalsAgencyConcludesGlyphosateNon-Carcinogenic,ECHA)風險評估委員會(RAC)確認,草甘膦目前的歸類沒必要改變,即草甘膦歸為非致癌、非致突變、非生殖毒性、非遺傳毒性、無特定靶標生物毒性的物質。
歐洲化學品管理局是化學品監管領域的權威,主要負責分類和標記危險化學品,其風險評估委員會負責提供獨立的科學意見。根據“分類、標識和包裝法規”(CLP)中的標準,風險評估委員會得出結論認為,現有的科學證據不足以將草甘膦歸為致癌物、致突變物或具有生殖毒性的物質。
同時,這也跟歐洲食品安全局(EFSA)、德國聯邦風險評估研究所(BfR)和世界各地法規機構的科學評估意見是一致的,即草甘膦不具有致癌性。
擴展閱讀
草甘膦的使用和安全性
草甘膦草甘膦是全球農業生產中使用最為普遍的一種廣譜滅生性除草劑,擁有40年的良好長期安全使用記錄,並已經在世界160多個國家得到套用,通過廣泛的毒理學試驗,全球進行了總數超過300個的獨立毒理學研究。
全球監管機構肯定草甘膦安全性
包括世界衛生組織(WHO)和聯合國糧食及農業組織(FAO)下的農藥殘留聯席會議(JMPR)、美國環境保護署(EPA)、歐洲食品安全局(EFSA)、歐洲化學品管理局(ECHA)、德國聯邦風險評估研究所(BfR)、中國農業部藥檢所(ICAMA)等在內的世界各地的多家監管部門和獨立的科研機構均就草甘膦的安全性進行過評估,得出一致的科學評估意見,即:按標籤說明使用草甘膦是安全的,草甘膦不大可能對人類有致癌危害。
IACR風波
然而,2015年3月,國際癌症研究機構(IARC),一個非政府監管機構,做出缺乏科學依據和有失公允的偏頗結論,將草甘膦歸入“較可能致癌物評級分類”。IARC不是監管機構,其結論與多家全球權威機構的結論大相逕庭。
在IARC公布草甘膦致癌分類後,全球諸多科學家和監管機構均作出回應。世界衛生組織和聯合國糧農組織成立的農藥殘留聯席會議、美國環保署、歐洲食品安全局、德國聯邦風險評估研究所(BfR)、加拿大有害生物管理局(CPMRA)、和澳大利亞農藥和獸藥管理局(APVMA)等監管機構對草甘膦是否致癌作出回應,它們均表示草甘膦“不大可能會對人類致癌”。
IARC評級的缺陷
IARC的評級結果並不是科學研究結果,無視了那些支持草甘膦對人體健康不構成危害的科學研究。評級過程缺乏科學數據支持,存在局限性。
IARC未披露其“外部代表兼技術顧問”受僱於反農藥NGO的事實
IARC草甘膦團隊的外部代表兼技術顧問——克里斯多福•波蒂爾(ChristopherPortier),受僱於美國反農藥非政府組織(Anti-pesticideAmericanNGO),環境保護基金(EDF),即使不是毒理學家卻仍舊擔任技術顧問一職。
草甘膦只作用於植物,對人類不致癌
草甘膦學名N-(鄰醯基甲基)甘氨酸,能殺死幾乎所有的植物,業界這類除草劑叫做“滅生性除草劑”或者“非選擇性除草劑”。但這不代表說,草甘膦能殺死一切生物,它只能殺死植物。
草甘膦主要是通過枝葉進入到植物體內。在一些土壤條件中,也有一些草甘膦通過根系進入到植物體內。進入植物體內後,草甘膦會轉移到植物其它部位,並最終通過根系排放到土壤中。草甘膦入土後很快與鐵、鋁等金屬離子結合而失去活性,對土壤中潛藏的種子和土壤微生物沒有不良影響。
草甘膦鹽很容易溶解在水中,這意味著它很難在動植物體內積蓄。
由植物排放到土壤後,草甘膦通過土壤微生物在一定時間內被降解為天然存在的物質如二氧化碳和磷酸。
媒體報導
草甘膦真的“敗訴”了嗎?基因農業網,2017年3月24日 歐盟化學管理局(ECHA):草甘膦不是致癌物,中國農資導報網,2017年3月21日
草甘膦致癌?歐美最新訊息給你答案!中國農藥工業協會,2017年3月21日
非致癌物!歐洲再下草甘膦安全結論基因農業網,2017年3月20日
最新:ECHA未將草甘膦劃入致癌物一類維持此前分類,2017年3月16日,世界農化網
EUchemicalagencysaysweedkillerglyphosatenotcarcinogenic,Reuters
歐盟化學品管理局稱草甘膦不致癌,路透社,2017年3月15日
EUChemicalsAgencysaysMonsanto’sRoundupweedkillerdoesn’tcausecancer,FT歐盟化學品管理局稱孟山都農達除草劑不致癌,金融時報,2017年3月15日
草甘膦轉基因----一場科學的邂逅,中國農業出版社,2016年12月
歐洲食品安全局重申:草甘膦致癌不成立,果殼網,2015年11月18日
草甘膦是否致癌?兩大機構各執一詞,新華國際,2015年11月17日
草甘膦是否致癌歐盟與世衛組織說法不同,科技日報(柏林),2015年11月16日
歐洲食品安全局完成了對草甘膦安全性的再評估,農業部農藥檢定所,2015年11月16日
草甘膦與轉基因:一場科學邂逅(中國農業出版社2016年10月第1版)

