物理性質
分子球狀模型苯甲醛,分子式為C7H6O,微溶於水,可混溶於乙醇、乙醚、苯、氯仿。純品為無色液體,工業品為無色至淡黃色液體,有苦杏仁氣味。飽和蒸氣壓(kPa):0.13(26℃),引燃溫度(℃):192 ,禁配物有強氧化劑、強酸、空氣。儲存於陰涼、通風的庫房。
化學性質
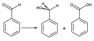
化學反應苯甲醛可被氧化為具有白色有不愉快氣味的苯甲酸固體,在容器內壁上結晶出來。苯甲醇可通過氫化苯甲醛製備,也可由苯甲醛在氫氧化鉀的醇溶液中進行自身氧化還原而得到(產物為苯甲酸鉀和苯甲醇)。苯甲醛與無水醋酸鈉和乙酸酐反應生成肉桂酸。氰化鉀的醇溶液可用來催化苯甲醛的縮合,生成安息香。
苯甲醛在濃鹼溶液中進行歧化反應(康尼查羅反應,Cannizarro反應):一分子的醛被還原成相應的醇,另一分子的醛與此同時被氧化成羧酸鹽。此反應的速度取決於芳環上的取代基。
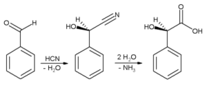
扁桃酸的合成扁桃酸的合成以苯甲醛為初始試劑:
氫氰酸先與苯甲醛反應,產物扁桃,隨後水解得到外消鏇扁桃酸。
主要用途
是一種甲苯系中間體,用作醫藥(如麻黃鹼)、香料等的原料,也用於制月桂醛、苯乙醛和苯酸苄酯等。
冰河學家LaChepelle和Stillman於1966年報導了苯甲醛和庚醛抑制凍的結晶,從而阻止濃霜(DepthHoar)的形成。此處理方式可防止由於不穩定的積雪層而導致的雪崩。但是此化合物破壞植被且污染水源,並沒有為此目的而被廣泛使用。
生產方法
早期採用甲苯氯化再水解的方法生產,近年來,開發了甲苯直接氧化法。由於甲苯資源豐富、價廉,且氧化得到的苯甲醛香味較好,為香料製造者所喜用,此法逐步成為生產苯甲醛的主要方法。
苯甲醛甲苯氯化再水解法是將乾燥的氯氣通入沸騰狀態的甲苯中,生成二氯甲苯。二氯甲苯和氧化鋅、磷酸混合併加熱至135℃,通入水蒸氣使二氯甲苯水解生成苯甲醛,所得產物用稀純鹼液中和,得到含苯甲醛90%的油相,經水蒸氣蒸餾提純,得精製苯甲醛。由於該法需使用氯氣,步驟多,現已較少使用。
甲苯直接氧化法同時生產苯甲醛和苯甲酸。由於甲苯氧化反應的途徑是:
甲苯─→苄醇─→苯甲醛─→苯甲酸
苯甲醛是甲苯氧化制苯甲酸的中間產物,因而若氧化的目的是獲得儘量多的苯甲醛,則反應必須在溫和的條件下進行,以避免生成較多的苯甲酸。氧化反應過程分液相法和氣相法。液相法通常採用氧化能力較弱的二氧化錳-硫酸為氧化劑進行部分氧化。也可以使用3~5當量濃度的稀硝酸在40~80℃的溫和條件下反應 1~2h。這種方法的苯甲醛產率可達90%,只適於小規模生產。氣相法是將甲苯蒸氣與空氣按1:14(質量比)混合,在常壓和500℃的條件下,以短的接觸時間通過氧化鈾和氧化鉬的載體催化劑進行氧化反應。反應氣經冷凝得到粗苯甲醛,經過精製得到純度98%的苯甲醛,按甲苯計收率為30%~50%。副產物有苯甲酸、順丁烯二酸酐及蒽醌等。與液相氧化相比,氣相氧化的催化劑再處理比較簡單易行,因此各國正致力於氣相氧化法催化劑的研究,並已取得一定的進展。
安全性
危害
健康危害: 本品對眼睛、呼吸道黏膜有一定的刺激作用。由於其揮發性低,其刺激作用不足以引致嚴重危害。
燃爆危險: 本品可燃,有毒,具刺激性。
危險特性:遇明火、高熱可燃。若遇高熱,容器內壓增大,有開裂和爆炸的危險。
有害燃燒產物:一氧化碳、二氧化碳。
急性毒性:LD50:1300mg/kg(大鼠經口)
急救措施
皮膚接觸: 脫去污染的衣著,用流動清水沖洗。眼睛接觸: 提起眼瞼,用流動清水或生理鹽水沖洗。就醫。
吸入: 脫離現場至空氣新鮮處。如呼吸困難,給輸氧。就醫。
食入: 飲足量溫水,催吐。就醫。
消防措施
滅火方法: 消防人員須佩戴防毒面具、穿全身消防服,在上風向滅火。儘可能將容器從火場移至空曠處。噴水保持火場容器冷卻,直至滅火結束。處在火場中的容器若已變色或從安全泄壓裝置中產生聲音,必須馬上撤離。
滅火劑:霧狀水、泡沫、乾粉、二氧化碳、砂土。
泄漏應急處理
迅速撤離泄漏污染區人員至安全區,並進行隔離,嚴格限制出入。切斷火源。建議應急處理人員戴自給正壓式呼吸器,穿防毒服。儘可能切斷泄漏源。防止流入下水道、排洪溝等限制性空間。
小量泄漏:用砂土、蛭石或其它惰性材料吸收。也可以用不燃性分散劑製成的乳液刷洗,洗液稀釋後放入廢水系統。
大量泄漏:構築圍堤或挖坑收容。用泵轉移至槽車或專用收集器內,回收或運至廢物處理場所處置。

