更多名稱
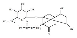
結構式【中文別名】白芍苷;9-((苯甲酸基)甲基)-1-(Β-D-葡糖吡喃糖基氧)-4-羥基-6-甲基-7-氧代三環壬烷-8-酮;白花素;野生芍藥提取物;芍藥內酯苷(標準品)
【英文別名】Albiflorin std;9-((Benzoyloxy)methyl)-1-(beta-D-glucopyranosyloxy)-4-hydroxy-6-methyl-7-oxatricyclononan-8-one;[(benzoyloxy)methyl]-1-(β-D-glucopyranosyloxy)-;4-hydroxy-6-methyl-, (1R, 3R, 4R, 6S)-;7-Oxatricyclo [4.3.0.03,9] nonan-8-one, 9-;9-((Benzoyloxy)methyl)-1-(β-D-glucopyranosyloxy)-4-hydroxy-6-methyl-7-oxatricyclononan-8-one;Alibiflorin
理化性質
【化學分類】Monoterpene category 單萜類
【檢測方式】高效液相色譜法HPLC≥98%
【規格】20mg 50mg 100mg 500mg 1g (可根據客戶需求包裝)
【性狀】 本品為白色粉末
【提取來源】本品為毛茛科植物芍藥Paeonia albiflora Pall的根
【藥理作用】鎮痛、鎮靜、抗驚厥作用,對免疫系統的作用,對平滑肌的作用,抗炎作用,抗病原微生物,護肝作用
【藥理性質】白芍中的主要有效部位為芍藥總苷類,而其中又以芍藥苷、苯甲醯芍藥苷和芍藥內酯苷為主要有效成分,採用Hypersil-C18色譜柱(4.6mm×200mm,5μm),流動相:甲醇-乙腈-水(10∶10∶80),流速0.8ml/min,檢測波長230nm,以咖啡因為內標物測定了不同產地白芍中芍藥苷和芍藥內酯苷的含量。發現亳白芍飲片中芍藥苷、芍藥內酯苷含量較高,炮製品炒白芍中芍藥苷含量較低,而芍藥內酯苷的含量變化不大。
使用說明
【作用與用途】本品用於含量測定。
【用法】色譜條件:流動相;乙腈0.05%冰醋酸溶液(17:83)為流動相,檢測波長為230nm(僅供參考)
【貯藏方法】 2-8°C,避光保存。
【注意事項】 本品應在低溫下保存,長時間在暴露在空氣中,含量會有所降低。

