流動型態轉變時,水流的斷面平均流速稱為臨界流速,把從層流轉變為紊流時的叫上臨界流速,而把紊流轉變為層流時的叫下臨界流速。上臨界流速較大。多次實驗表明,在不同溫度下,管中水流的下臨界流速值比較穩定,上臨界流速易受干擾,其值極不穩定。
原理
明渠斷面比能與水深關係圖
臨界流
臨界流
臨界流
臨界流
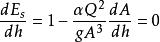
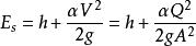
臨界流臨界流是緩流與急流兩種流態的分界點,臨界流時的斷面平均流速稱為臨界流速,以表示。它與干擾波的波速(c)正好相等,即臨界流是相當於弗勞德數的流動。此時,水流的慣性力作用與重力作用恰好相等。臨界流時的水深稱為臨界水深,以表示。從能量角度來分析,以斷面最低點為基準的斷面單位能量或比能可寫成
臨界流
臨界流底坡較小(渠底與水平面夾角<6°)時,可簡化為
臨界流
臨界流
臨界流
臨界流
臨界流
臨界流可見,當斷面形狀尺寸和流量大小一定時,渠槽斷面比能()只是水深(h)的函式,且存在一最小值(見圖)。通過對式(1)求一階導數,令其為零,可得臨界流是緩流與急流兩種流態的分界點,臨界流時的斷面平均流速稱為臨界流速,以表示。它與干擾波的波速(c)正好相等,即臨界流是相當於弗勞德數的流動。此時,水流的慣性力作用與重力作用恰好相等。臨界流時的水深稱為臨界水深,以表示。
從能量角度來分析,以斷面最低點為基準的斷面單位能量
臨界流過水斷面上並取a=1.0,上式可寫作
臨界流
臨界流
臨界流
臨界流
臨界流
臨界流這就是說,斷面比能()最小時,,為臨界流。臨界水深()即相應於圖中曲線的C點。因此,可用臨界流的水力要素、來區分緩流和急流的流態。
臨界流
臨界流
臨界流
臨界流
臨界流
臨界流
臨界流
臨界流
臨界流
臨界流對緩流,,,,相應於曲線的上支;對急流,,,,相應於曲線的下支。
臨界流
臨界流
臨界流
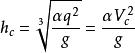
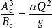
臨界流以、分別表示臨界水深()時相應過水斷面面積和水面寬度,則任意形狀斷面臨界水深計算式為
臨界流
臨界流上式為的隱函式形式,需試算法求解。對矩形斷面的臨界水深計算式為
式中,q為單寬流量。
套用
臨界流
臨界流臨界流態很不穩定,由曲線可知,斷面比能()稍有變化,將引起水深的較大改變。由觀測知,當接近臨界流態時,水面形成不穩定的波狀。由於渠槽的糙率、過水斷面、底坡或泥沙沉積等的變動引起能量的微小變化,都可使臨界流態產生上述波狀擺動。因此,在渠槽設計中,為了保證流態穩定應當改變底坡或斷面形狀,以避免發生或接近臨界流態。
