簡介
膨脹土膨脹土是種高塑性黏土,一般承載力較高,具有吸水膨脹、失水收縮和反覆脹縮變形、浸水承載力衰減、乾縮裂隙發育等特性,性質極不穩定。常使建築物產生不均勻的豎向或水平的脹縮變形,造成位移、開裂、傾斜甚至破壞,且往往成群出現,尤以低層平房嚴重,危害性很大,裂縫特徵有外牆垂直裂縫,端部斜向裂縫和窗台下水平裂縫,內、外山牆對稱或不對稱的倒八字形裂縫等;地坪則出現縱向長條和格線狀的裂縫。一般於建築物完工後半年到五年出現。
分布
膨脹土滑坡膨脹土在我國的分布範圍很廣,如廣西、雲南、河南、湖北、四川、陝西、河北、安徽、江蘇等地均有不同範圍的分布。膨脹土是特殊土的一種,常用的地基處理方法有換土、土性改良、灰土樁、水泥樁加固,以及防止地基土含水量變化等工程措施。
膨脹土粘粒成份主要由強親水性礦物質組成,並且具有顯著脹縮性的粘性土。該土具有吸水膨脹.失水收縮並往復變形的性質,對路基的破壞作用不可低估,並且構成的破壞是不易修復的。為了保證道路在較長時間內路基的穩定和路面的平整度,達到安全.舒適行車的目的,必須解決因膨脹土而造成的一系列工程問題。
主要性質
膨脹土的物理性質及力學性質分析
主要成分由親水性礦物組成,有較強的脹縮性,一般呈棕、黃、褐色及灰白等色,常呈斑狀,多含有鈣質或鐵錳質結構。土中裂隙較發育,有豎向、斜交和水平三種。距地表1~2米內,常有豎向張開裂隙。裂隙面呈油脂或蠟狀光澤,時有擦痕或水漬,以及鐵錳氧化物薄膜。膨脹土路堤會出現沉陷、邊坡溜塌、路肩坍塌和滑坡等破壞現象。路塹會出現剝落、沖蝕、溜塌、滑坡等破壞。
膨脹土按粘土礦物分類,可以歸納為兩大類:一類以蒙脫石為主,另一類以伊利石土和高嶺土為主。按膨脹性分類可分為:弱膨脹、中膨脹、強膨脹三類。蒙脫石粘土在含水量增加時出現膨脹,而伊利石和高嶺土則發生有限的膨脹,引起膨脹土發生變化的條件,分析概述如下:
含水量
膨脹土具有很高的膨脹潛勢,這與它含水量的大小及變化有關。如果其含水量保持不變,則不會有體積變化。在工程施工中,建造在含水量保持不變的粘土上的構造物不會遭受由膨脹而引起的破壞。當黏土的含水量發生變化,立即就會產生垂直和水平兩個方向的體積膨脹。含水量的輕微變化,僅1%~2%的量值,就足以引起有害的膨脹。在安康地區,膨脹土對人們的危害較大,建造在膨脹土上的地板,在雨季來臨時,土中含水量增加引起的地板翹起開裂屢見不鮮。
一般來講,很乾的粘土表示有危險。這類粘土能吸收很多的水,其結果是對結構物發生破壞性膨脹。反之,比較潮濕的粘土,由於大部分膨脹已經完成,進一步膨脹將不會很大。但應注意的是,潮濕的粘土,在水位下降或其它的條件變化時,可能變乾,顯示的收縮性也不可低估。
乾容重
黏土的乾容重與其天然含水量是息息相關的,乾容重是膨脹土的另一重要指標。γ=18.0KN/m的粘土,通常顯示很高的膨脹潛勢。在安康地區,人們對這種土的評語是“硬的象石頭”。這表明著粘土將不可避免地出現膨脹問題。
力學性質
通過土工試驗,得出粘土的力學指標,以供土質力學上的計算。通常對膨脹土的力學分析,主要是對其膨脹潛勢和膨脹壓力的研究後得出的。
Ⅰ.膨脹潛勢
膨脹潛勢:簡單的講,就是在室內按標準壓密實驗,把試樣在最佳含水量時壓密到最大容重後,使有側限的試樣在一定的附加荷載下,浸水後測定的膨脹百分率。膨脹率可以用來預測結構物的最大潛在的膨脹量。膨脹量的大小主要取決於環境條件,如潤濕程度.潤濕的持續時間和水分的轉移方式等。因此,在工程施工中,改造膨脹土周圍的環境條件,是解決膨脹土工程問題的一個出發點。
Ⅱ. 膨脹力
膨脹力,也就是膨脹壓力。通俗的講,就是試樣膨脹到最大限度以後,再加荷載直到回復到其初始體積為止所需的壓力。對某種給定的粘土來說,其膨脹壓力是常數,它僅隨乾容重而變化。因此,膨脹力可以方便的用作衡量粘土的膨脹特性的一種尺度。對於未擾動的粘土來講,乾容重是土的原位特徵。所以在原位乾容重時土的膨脹壓力可以直接用來論述膨脹特性。
綜上所述,膨脹土的變化除了土的膨脹與收縮特性這兩個內在的因素外,壓力與含水量的變化則是兩個非常重要的外在因素。準確地了解膨脹土的特性及變化的條件,就有可能估計到建造在這個地基上的路基及構造物將會產生怎樣的變形,從而採取相應的地基處理措施。
影響因素
內在因素
主要是指礦物成分及微觀結構兩方面。
礦物成分:膨脹土含大量的活性粘土礦物,如蒙脫石和伊利石,尤其是蒙脫石,比表面積大,在低含水量時對水有巨大的吸力,土中蒙脫石含量的多寡直接決定著土的脹縮性質的大小。
微觀結構:這些礦物成分在空間上的聯結狀態也影響其脹縮性質。經對大量不同地點的膨脹土掃描電鏡分析得知,面——面連線的疊聚體是膨脹土的一種普遍的結構形式,這種結構比團粒結構具有更大的吸水膨脹和失水吸縮的能力。
外界因素
水分的遷移是控制土脹、縮特性的關鍵外在因素。因為只有土中存在著可能產生水分遷移的梯度和進行水分遷移的途徑,才有可能引起土的膨脹或收縮。儘管某一種粘土具有潛在的較高的膨脹勢,但如果它的含水量保持不變,則不會有體積變化發生;相反,含水量的輕微變化,哪怕只是1%~2%的量值,實踐證明就足以引起有害的膨脹。因此,判斷膨脹土的脹縮性指標都是反映含水量變化時膨脹土的脹縮量及膨脹力大小的。
評價指標
自由膨脹率
膨脹土將人工製備的磨細烘乾土樣,經無頸漏斗注入量杯,量其體積,然後倒入盛水的量筒中,經充分吸水膨脹穩定後,再測其體積。增加的體積與原體積的比值稱為自由膨脹率。
膨脹土膨脹率 與膨脹力
膨脹土膨脹率表示原狀土在側限壓縮儀中,在一定壓力下,浸水膨脹穩定後,土樣增加的高度與原高度之比。
膨脹土
膨脹土
膨脹土以各級壓力下的膨脹率為縱坐標,壓力p為橫坐標,將試驗結果繪製成 p-關係曲線,該曲線與橫坐標的交點稱為試樣的膨脹力,膨脹力表示原狀土樣,在體積不變時,由於浸水膨脹產生的最大內應力。膨脹力在選擇基礎型式及基底壓力時,是個很有用的指標。在設計上如果希望減少膨脹變形,應使基底壓力接近於膨脹力。
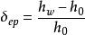
線縮率與收縮係數
膨脹土膨脹土失水收縮,其收縮性可用線縮率與收縮係數表示。線縮率是指土的豎向收縮變形與原狀土樣高度之比。表示為:
膨脹土
圖1
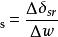
膨脹土根據不同時刻的線縮率及相應含水量,可繪成收縮曲線,利用直線收縮段(AB段)可求得收縮係數λ,其定義為:原狀土樣在直線收縮階段內,含水量每減少1%時所對應的線縮率的改變值,即:
膨脹土λ
脹縮等級
我國《膨脹土地區建築技術規範》規定以50kPa壓力下測定的土的膨脹率,計算地基分級變形量,作為劃分脹縮等級的標準,表7-3給出了膨脹土地基的脹縮等級。
表7-3 膨脹土地基的脹縮等級
| 地基分級變形量Se(㎜) | 級別 | 破壞程度 |
| 15≤Se<35 | Ⅰ | 輕微 |
| 35≤Se<70 | Ⅱ | 中等 |
| Se≥70 | Ⅲ | 嚴重 |
路基處理
在道路工程設計中,針對膨脹土的物理性質及力學性質,根據地質勘測的詳實報告及有關處理膨脹土的經驗,設計中採用了綜合處理的思想,並進行了針對性的研究,提出如下措施:
(1)填高不足1米的路堤,必須換填非膨脹土,並按規定壓實。
(2)使用膨脹土作填料時,為增加其穩定性,採用石灰處治,石灰劑量範圍10%∽12%,要求摻灰處理後的膨脹土,其脹縮總率接近零為佳。
(3)路堤兩邊邊坡部分及路堤頂面要用非膨脹土作封層,必要時須鋪一層土工布,從而形成包心填方。
(4)路塹邊坡不要一次挖到設計線,沿邊坡予留厚度30∽50cm一層,待路塹挖完後,再削去予留部分,並以漿砌花格網護坡封閉。
(5)路堤與路塹分界處,即填挖交界處,兩者土內的含水量不一定相同,原有的密實度也不盡相同,壓實時應使其壓實的均勻.緊密,避免發生不均勻沉陷。因此,填挖交界處2米範圍內的挖方地基表面上的土應挖成台階,翻鬆,並檢查其含水量是否與填土含水量相近,同時採用適宜的壓實機具,將其壓實到規定的壓實度。
(6)施工時應避開雨季作業,加強現場排水。路基開挖後各道工序要緊密銜接,連續施工,時間不宜間隔太久。路堤.路塹邊坡按設計修整後,應立即漿砌護牆.護坡,防止雨水直接侵蝕。
(7)膨脹土地區路床的強度及壓實標準應嚴格遵守國家有關規定。

