設M和N為黎曼流形,f:M->N為光滑映射,f的能量定義為
能量泛函
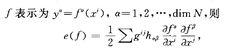
能量泛函式中(g吟為(g了)的逆陣.f的能量可以是無限的,當M為緊緻流形時,能量E(f)一定是有限的.e(f)在區域DCM上的積分也稱為f在D上的能量.
能量泛函(energy functional)映射的微分的模長平方的積分。
設M和N為黎曼流形,f:M->N為光滑映射,f的能量定義為
能量泛函
能量泛函式中(g吟為(g了)的逆陣.f的能量可以是無限的,當M為緊緻流形時,能量E(f)一定是有限的.e(f)在區域DCM上的積分也稱為f在D上的能量.
泛函分析是20世紀30年代形成的數學分科,是從變分問題,積分方程和理論物理的研究中發展起來的。它綜合運用函式論,幾何學,現代數學的觀點來研究無限維向量空...
概述 拓撲線性空間 運算元 選擇公理 歷史簡介Gaussian 03 提供相當多的密度泛函理論(DFT) 75,76,448,449模型(DFT 方法和套用 的討論參見448, 450-461)。所...
密度泛函(DFT)方法 理論背景 在密度泛函理論中 關鍵字 名稱說明密度泛函理論 (英語:Density functional theory (DFT))是一種研究多電子體系電子結構的量子力學方法。密度泛函理論在物理和化...
理論概述 導出過程和表達式電磁場問題的泛函 變分方程 此外,抽象為運算元方程的數學模型還可轉化為等價的變分方程,使變分法可以直接用於求解方程的未知函式。
電磁場的泛函法 正文 配圖 相關連線泛函分析是20世紀30年代形成的數學分科,是從變分問題,積分方程和理論物理的研究中發展起來的。它綜合運用函式論,幾何學,現代數學的觀點來研究無限維向量空...
學科介紹 選擇公理 歷史 拓撲線性空間 運算元電子結構理論的經典方法,特別是Hartree-Fock方法和後Hartree-Fock方法,是基於複雜的多電子波函式的。密度泛函理論的主要目標就是用電子...
基本簡介 相關途徑 套用線性空間的定義及例 空間的基及維數 有界線性運算元空間
基本信息 內容介紹 圖書目錄密度泛函理論(Density functional theory ,縮寫DFT)是一種研究多電子體系電子結構的量子力學方法。密度泛函理論在物理和化學上都...
簡介 實現途徑 套用《密度泛函理論》是2014年9月出版的圖書,作者是李健。
內容簡介 目錄