理論概述
電子結構理論的經典方法,特別是Hartree-Fock方法和後Hartree-Fock方法,是基於複雜的多電子波函式的。密度泛函理論的主要目標就是用電子密度取代波函式做為研究的基本量。因為多電子波函式有3N個變數(N為電子數,每個電子包含三個空間變數),而電子密度僅是三個變數的函式,無論在概念上還是實際上都更方便處理。
雖然密度泛函理論的概念起源於Thomas-Fermi模型,但直到Hohenberg-Kohn定理提出之後才有了堅實的理論依據。Hohenberg-Kohn第一定理指出體系的基態能量僅僅是電子密度的泛函。
Hohenberg-Kohn第二定理證明了以基態密度為變數,將體系能量最小化之後就得到了基態能量。
HK理論最初只適用於沒有磁場存在的基態,現在已經被推廣。最初的Hohenberg-Kohn定理僅僅指出了一一對應關係的存在,但是沒有提供任何這種精確的對應關係。正是在這些精確的對應關係中存在著近似(這個理論可以被推廣到時間相關領域,從而用來計算激發態的性質[6])。
密度泛函理論最普遍的套用是通過Kohn-Sham方法實現的。 在Kohn-Sham DFT的框架中,複雜的多體問題(由於處在一個外部靜電勢中的電子相互作用而產生的)被簡化成一個沒有相互作用的電子在有效勢場中運動的問題。這個有效勢場包括了外部勢場以及電子間庫侖相互作用的影響,例如交換和關聯作用。處理交換關聯作用是KS DFT的難點,目前尚沒有精確求解交換相關能{\displaystyle E_{XC}}的方法。最簡單的近似求解方法是局域密度近似(LDA)。LDA近似用均勻電子氣來計算體系的交換能(均勻電子氣的交換能是可以精確求解的),而採用對自由電子氣進行擬合的方法來處理關聯能。
自1970年以來,密度泛函理論在固體物理學計算中得到廣泛的套用。多數情況下,與其它解決量子力學多體問題的方法相比,採用局域密度近似的密度泛函理論給出了非常令人滿意的結果,同時固態計算相比實驗的費用要少。儘管如此,人們普遍認為量子化學計算不能給出足夠精確的結果,直到二十世紀九十年代,理論中所採用的近似被重新提煉成更好的交換關聯作用模型。密度泛函理論是目前多種領域中電子結構計算的領先方法。 密度泛函理論儘管得到改進,但是描述分子間作用力,特別是范德華力,或者計算半導體的能隙還有一定困難。
早期模型: Thomas-Fermi 模型
密度泛函理論可以上溯到由Thomas和Fermi在1920年代發展的 Thomas-Fermi模型。他們將一個原子的動能表示成電子密度的泛函,並加上原子核-電子和電子-電子相互作用(兩種作用都可以通過電子密度來表達)的經典表達來計算原子的能量。
Thomas-Fermi模型是很重要的第一步,但是由於沒有考慮Hartree-Fock理論指出的原子交換能,Thomas-Fermi方程的精度受到限制。1928年保羅·狄拉克在該模型基礎上增加了一個交換能泛函項。
然而,在大多數套用中Thomas-Fermi-Dirac理論表現得非常不夠準確。其中最大的誤差來自動能的表示,然後是交換能中的誤差,以及對電子相關作用的完全忽略。
導出過程和表達式
密度泛函
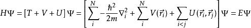
密度泛函在通常的多體問題電子結構的計算中,原子核可以看作靜止不動的(波恩-奧本海默近似),這樣電子可看作在原子核產生的靜電勢 中運動。電子的定態可由滿足多體薛丁格方程的波函式 描述:
密度泛函其中N為電子數目, U為電子間的相互作用勢。算符 T和U 稱為普適算符,它們在所有系統中都相同,而算符V則依賴於系統,為非普適的。可以看出,單粒子問題和比較複雜的多粒子問題的區別在於交換作用項U。目前有很多成熟的方法來解多體薛丁格方程,例如:物理學裡使用的圖形微擾理論和量子化學裡使用的基於斯萊特行列式中波函式系統展開的組態相互作用(CI)方法。然而,這些方法的問題在於較大的計算量,很難用於大規模複雜系統的計算。
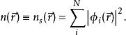
密度泛函相比之下,密度函理論將含U的多體問題轉化為不含U的單體問題上,成為解決此類問題的一個有效方法。在密度泛函理論中,最關鍵的變數為粒子密度 ,它由下式給出
密度泛函
密度泛函
密度泛函
密度泛函
密度泛函霍恩伯格和沃爾特·科恩在1964年提出,上面的關係可以反過來,即給出基態電子密度 ,原則上可以計算出對應的基態波函式 。也就是說, 是 的唯一泛函,即
密度泛函對應地,所有其它基態可觀測量 O 均為 n的泛函
密度泛函進而可以得出,基態能量也是n的泛函
密度泛函
密度泛函其中外勢場的貢獻 可以用密度表示成
密度泛函泛函T[n(r)]和 U[n]稱為普適泛函,而V[n] 顯然不是普適的,它取決於所考慮的系統。對於確定的系統,即V 已知,需要將泛函
密度泛函
密度泛函對於 求極小值。這裡假定能夠得出 T[n(r)] 和U[n(r)]的表達式。對能量泛函求極值可以得到基態電子密度n,進而求得所有基態可觀測量。
對能量泛函E[n(r)]求變分極值可以用不定運算元的拉格朗日方法,這由科恩和沈呂九在1965年完成。這裡我們使用如下結論:上面方程中的泛函可以寫成一個無相互作用的體系的密度泛函
密度泛函
密度泛函其中T為無相互作用的動能,V為粒子運動感受到的外勢場。顯然,,若V取為
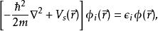
密度泛函這樣,可以解這個輔助的無相互作用體系的科恩-沈呂九方程
密度泛函
密度泛函可以得到一系列的電子軌域,並由此求得原來的多體體系的電子密度
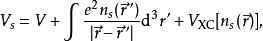
密度泛函等效的單粒子勢 V可以表示成
密度泛函
密度泛函
密度泛函
密度泛函
密度泛函
密度泛函
密度泛函其中第二項為描述電子間庫侖斥力的哈特里項,最後一項 叫做交換關聯勢,包含所有多粒子的相互作用。由於哈特里項和交換關聯項V都依賴於又依賴於, 而又依賴於V, 科恩-沈呂九方程的求解需要用自洽方法。通常首先假設一個初始的, 然後計算對應的V並求解科恩-沈呂九方程中的。進而可以計算出新的密度分布,並開始新一輪計算。此過程不斷重複,直到計算結果收斂。
