定義
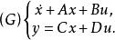
給定n階線性定常系統
能檢測性
能檢測性
能檢測性
能檢測性設 A的特徵值為,稱為系統(G)的 極點。設分別為的左特徵向量和右特徵向量,即
能檢測性
能檢測性
能檢測性
能檢測性
能檢測性
能檢測性
能檢測性
能檢測性
能檢測性
能檢測性
能檢測性
能檢測性如果,則稱為的 能控極點;如果,則稱為的不能控極點。如果所有均為能控極點,則稱為 能控的;如果的所有不能控極點均具有負實部,則稱為能穩定的。
能檢測性能穩定的等價條件為:
能檢測性
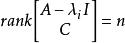
能檢測性(1) 若,則。
能檢測性
能檢測性(2) 若,則。
能檢測性
能檢測性(3) 存在適當選擇的矩陣F,使得成為穩定陣,即的特徵值均具有負實部。
(4) 若存在相似變換,使得
能檢測性
能檢測性
能檢測性則為穩定陣,是能控的。
類似地,可定義能 檢測性如下。
能檢測性
能檢測性
能檢測性
能檢測性
能檢測性
能檢測性
能檢測性
能檢測性
能檢測性如果,則稱為的 能觀測極點;如果,則稱為的不能觀測極點。如果所有均為能觀測極點,則稱(C,A)為 能觀測的,如果的所有不能觀測極點均具有負實部,則稱為 能檢測的 。
能檢測的等價條件
能檢測性能檢測的等價條件為:
能檢測性
能檢測性(1) 若,則。
能檢測性
能檢測性(2) 若,則
能檢測性
能檢測性(3) 存在適當選擇的矩陣,使得成為穩定陣。
(4) 若存在相似變換,使得
能檢測性
能檢測性
能檢測性則是穩定陣,能觀測。
能檢測性
能檢測性
能檢測性
能檢測性此外,如果能穩定,則能檢測;如果能檢測,則能穩定。反之亦然 。

