原理
聲光效應
聲光效應就是研究光通過聲波擾動的介質時發生散射或衍射的現象。由於彈光效應,當超聲縱波以行波形式在介質中傳播時會使介質折射率產生正弦或餘弦規律變化,並隨超音波一起傳播,當雷射通過此介質時,就會發生光的衍射,即聲光衍射。衍射光的強度、頻率、方向等都隨著超音波場而變化。其中衍射光偏轉角隨超音波頻率的變化現象稱為聲光偏轉;衍射光強度隨超音波功率而變化的現象稱為聲光調製。
主要用途有:製作聲光調製器件,製作聲光偏轉器件,聲光調Q開關,可調諧濾光器,在光信號處理和集成光通訊方面的套用。
聲光衍射可以分為拉曼-拉斯(Ranman-Nath)衍射和布拉格(Bragg)衍射兩種情況。本實驗室主要研究鉬酸鉛晶體介質中的布拉格衍射現象。
布拉格方程:θB=sinθB=λfs/2nvs ,其中θB 為布拉格角,λ為雷射波長,n為介質折射率,vs 為超音波在介質中的速率。由此知不同的頻率對應不同的偏轉角φ=2θB,所以可以通過改變超音波頻率實現聲光偏轉。
布拉格一級衍射效率為:η1=I1/Ii=sin2((π/λ).(LM2Ps/2H)1/2) ,其中Ps為超音波功率,M2為聲光材料的品質因素,L、H分別表示換能器的長和寬。由此知當超聲功率改變時,η1也隨之改變,因而可實現聲光調製。
實驗儀器
主要實驗儀器:有半導體雷射器、聲光器件及轉角平台、超音波功率信號源、頻率計、光強儀、示波器、光具座、支架、導線等附屬檔案。各儀器原理、具體型號及參數見聲光效應實驗講義。
實驗內容
① 按照實驗講義完成實驗儀器的連線。
示波器② 打開雷射器、光強儀、示波器,調節光路,直
至在示波器上顯示一穩定完整的單峰波形。
③ 接著打開功率信號源,微調轉角平台,直至示波器上顯示出布拉格衍射的零、一級衍射圖像即一個良好的雙峰波形。
④ 最後測量聲光偏轉和聲光調製曲線;
⑤ 為了獲得理想波形,有時需要反覆調節雷射器、轉角平台、光強儀等。
注意事項
失真波形在嚴格執行實驗步驟的條件下,注意以下幾點:
①儘量避免地面、桌面、光具座等的震動;
②記錄數據的過程中,所有數據必須是在相同y軸倍率下測得;
③無飽和失真現象;無小毛刺;
④衍射波形不穩定時要等波形較穩定後再讀數;
⑤背景光、電壓也會對實驗現象造成一定影響,應儘量避免。
基本理論
聲光效應
聲光效應彈性形變所引起的介質折射率變化可以寫成
聲光效應式中n為介質的
聲光效應
聲光效應式中 λ=λ0/n 為介質中光波波長(λ0為真空中波長),
為超音波波長(v為聲速,f為頻率)。由上式可見,在高頻工作時,L0很小。
聲光效應喇曼-奈斯衍射要求滿足條件
聲光效應,相當於平面光柵。此種衍射的特點是:①對入射光方向無嚴格要求,一般取垂直入射;②衍射光有許多級(圖1a),第m級衍射光的方向和衍射效率為
聲光效應式中Ii為入射光光強;V呏(2π/λ0)墹nL,稱為聲光相移;Jm是第m階貝塞爾函式。當V=1.84弧度時,J1(V)達到最大,並有η
=0.339=33.9%,高級衍射的效率更低。
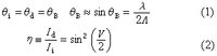
聲光效應布喇格衍射要求滿足條件L≥2L0,相當於體光柵。此種衍射的特點是:①只有當入射光方向滿足一定條件時,才有顯著的聲光衍射;②衍射光或者只有+1級或者只有-1級(圖1b),並分別稱為±1級布喇格衍射。入射光和衍射光方向以及衍射效率為
聲光效應式中θi和θd分別為入射光和衍射光與超音波波面的
聲光效應聲光調製器根據聲光調製原理製成的器件。聲致相移V和超聲功率Pa之間的關係為
式中M2呏np/ρV(ρ為介質的密度)是由聲光材料性質決定的物理量,稱為聲光優值。由式(2)和(3)可見,改變Pa(實際是改變加在壓電換能器上的電信號功率)即可改變η或Id的值。當V較小時,sin(V/2)≈V/2,易得η≈(V/2)∝Pa,即可實現線性調製。
聲光效應聲光偏轉器根據聲光偏轉原理製成的器件。由圖1b可見,偏轉角(即衍射光與入射光之間的夾角)α=θi+θd,把式(1)代入,即得
改變加在壓電換能器上的電信號的頻率f,即可改變衍射光的方向。
聲光移頻器由於超音波是向前傳播的,聲光衍射時光將發生都卜勒頻移。對於 ±1級布喇格衍射,ωd=ωi±Ω,式中ωi、ωd和Ω分別為入射光、衍射光和超音波的圓頻率。改變電信號的頻率f=Ω/2π,即可改變衍射光的頻率。
聲光可調濾光器例如入射光具有複雜的光譜成分(即包括許多不同波長的光),式(1)可改寫成θi=λf/2V。當θi一定時,λf為常數。相對地改變電信號頻率f,波長不同的光將相應地分別被聲光衍射取出。

