合成路徑
聚乙烯醇與醛的縮醛化反應可能有三種。一般,縮醛化反應主要在分子內部進行,生成六元環結構,但是分子之間的交聯反應以及生成五元環縮醛化物的反應也會發生。
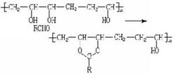
聚乙烯醇可以與醛類(甲醛、乙醛、丁醛)進行特徵反應— 縮醛反應,生成六元環縮醛結構。聚乙烯醇縮甲醛是由衷乙烯醇相鄰的羥基之間與甲醛作用,生成1,3—二氧六環的環狀物。
當然醛的羰基也可能與兩個聚乙烯醇大分子中的各一個羥基進行縮醛反應,這樣就會形成大分子之間交聯的網型結構的聚合物。甲醛化反應可分為兩種,一種是在聚乙烯醇的水溶液中進行;另一種是利用固體的聚乙烯醇進行反應。聚乙烯醇纖維在水溶液反應中,醛基沿著聚乙烯醇的鏈呈不規則性地與羥基反應。但是在固體反應中情況就不同了,試劑進入聚乙烯醇的非結晶部分進行反應,結晶部分則不反應。
低溫下,聚乙烯醇若經200℃進行熱處理, 結晶度可達50%以上。結晶度低的易溶於水, 結晶度高的則不易溶於水,經200℃熱處理的聚乙烯醇固體,即使在80℃的熱水中也不溶。維尼綸纖維的生產,就是利用將聚乙烯醇纖維延伸熱處理,使結晶度提高之後再甲醛化反應。經適度的甲醛化後,有少量的交聯發生,變成熱水不溶,也不收縮的纖維。
合成工藝
工業上維綸纖維的製造是將聚乙烯醇溶於水中,製得15%左右水溶液,通過0.07毫米左右孔徑的噴絲頭,在飽和的硫酸鈉水溶液凝固浴中製得纖維,再經拉伸及熱處理,提高強度及耐熱水性;然後在催化劑硫酸存在下,與甲醛進行縮醛化反應,溫度約70℃,時間20~30分鐘,經水洗,上
合成聚乙烯醇縮甲醛反應式油即得維綸纖維。維綸纖維有短纖維、絲束及長絲等品種,其中以棉型短纖維及絲束最為普遍。
聚乙烯醇縮甲醛維綸纖維相對密度1.26~1.30,軟化點220~230℃,水中軟化點110℃;棉型短纖維
的纖度1.4旦(定長9000米質量1克為1旦);乾濕強度分別為5.4克力/旦、4.3克力/旦,乾濕伸度分別為16.5%、17.5%,楊氏模數550千克力/毫米,彈性恢復率(3%)70%。維綸纖維的特點是強度高、韌性好、耐磨、耐酸鹼、濕強度高、不怕霉蛀等;缺點是彈性、染色性和尺寸穩定性較差。維綸纖維主要用來製作衣服,也可用於製造各種纜繩,帆布,農用防風、防寒紗布等。
用途
聚乙烯醇縮甲醛的性質和用途,隨著聚乙烯醇原料、製造方法和縮醛化程度的不同而有很大差別。工業上最主要的用途是製作維綸纖維。
聚乙烯醇縮甲醛纖維維綸纖維是由完全醇解的聚乙烯醇合成的,它的平均聚合度為1700~1800。1924年德國W.O
.赫爾曼和W.黑內爾首先製得了聚乙烯醇,1934年德國製得了水溶性聚乙烯醇纖維,1938年日本櫻田一郎研究成功熱處理和縮醛化技術,提高了纖維耐水性,擴大了在紡織工業中的套用範圍。1948年維綸纖維問世,1950年日本建成了第一個生產裝置,此後產量迅速上升。60年代以後,朝鮮民主主義人民共和國、中國、聯邦德國、蘇聯、南韓等相繼生產,目前以中國、朝鮮民主主義人民共和國、日本的產量最大。
聚乙烯醇縮甲醛除用於維綸纖維外,還可用作發泡劑、研磨材料、膠粘劑、電氣絕緣材料等。
用於配製酚醛-縮醛膠粘劑,如鐵錨20l、202、203膠粘劑。
主要用於製造耐磨高強度漆包線塗料和金屬、木材、橡膠、玻璃層壓塑膠之間的膠粘劑等。
可純紡,也可與多種纖維混紡加工成衣料、工業用帆布、繩索等。
沿革編輯
20世紀30年代初期,德國瓦克化學公司首先製得聚乙烯醇纖維。1939年,日本櫻田一郎、矢澤將英,朝鮮李升基將這種纖維用甲醛處理,製得耐熱水的聚乙烯醇縮甲醛纖維,1950年由日本倉敷人造絲公司(現為可樂麗公司)建成工業化生產裝置。1984年聚乙烯醇纖維世界產量為94kt。60年代初,日本維尼綸公司和可樂麗公司生產的水溶性聚乙烯醇纖維投放市場
性質
簡稱PVFM或PVFO。聚乙烯醇與甲醛作用而成的高分子化合物。微帶草黃色固體。有熱塑性。密度1.2。軟化點約190℃。熱變型溫度65~75℃。吸水率約1%。溶於丙酮、氯化烴、乙酸、酚類。主要用於製造耐磨耗的高強度漆包線塗料和金屬、木材、橡膠、玻璃層壓塑膠之間的膠粘劑,作為層壓塑膠的中間層以及製造衝擊強度高、壓縮彈性模量大的泡沫塑膠。
聚乙烯醇縮甲醛用途把聚乙烯醇溶解於水中,經紡絲、甲醛處理製成的合成纖維 。聚乙烯醇縮甲醛纖維的中國商品名,又稱維尼綸。1924年由德國P.H.赫爾曼和黑內爾合成聚乙烯醇,30年代製成纖維,名為津托菲爾(synthofil)。由於它溶解於水不能作紡織纖維,主要用作手術縫線。1939年日本櫻田一郎等人研製成功聚乙烯醇的熱處理和縮醛化方法,維綸才成為耐熱水性良好的纖維。世界上生產維綸的國家主要有中國、日本、朝鮮等。維綸性質與棉花相似,強度和耐磨性優於棉花。它有良好的耐用性、吸濕性、保暖性、耐磨蝕和耐日光性;主要
缺點是耐熱水性差,彈性不佳,染色性較差,高溫下的力學性能低。維綸大量用以與棉、粘膠纖維或其他纖維混紡,也可純紡,用於製做外衣、汗衫、棉毛衫褲和運動衫,以及工作服;也可製作帆布、纜繩、漁網、包裝材料和過濾材料。

