簡介
線性時不變系統
英文:linear time invariant(LTI)
它包括連續時間系統與離散時間系統
概念
線性系統有兩種定義:
線性時不變系統
線性時不變系統
線性時不變系統
線性時不變系統
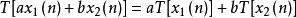
線性時不變系統(1) 根據系統的輸入和輸出關係是否具有線性來定義 滿足疊加原理的系統具有線性特性。即若對兩個激勵 和 ,有 ,式中 、 為任意常數。不滿足上述關係的為非線性系統。
(2) 根據組成系統的元件特性來定義 由線性元件和獨立電源組成的系統。
系統性質
時不變系統
時不變系統:就是系統的參數不隨時間而變化,即不管輸入信號作用的時間先後,輸出信號回響的形狀均相同,僅是從出現的時間不同。用數學表示為T[x(n)]=y[n]則 T[x(n-n0)]=y[n-n0],這說明序列x(n)先移位後進行變換與它先進行變換後再移位是等效的。
線性時不變系統
線性時不變系統:既滿足疊加原理又具有時不變特性,它可以用單位脈衝回響來表示。單位脈衝回響是輸入端為單位脈衝序列時的系統輸出,一般表示為h(n),即h(n)=T[δ(n)]。
任一輸入序列x(n)的回響y(n)=T[x(n)]=T[ δ(n-k)];
由於系統是線性的,所以上式可以寫成y(n)=T[δ(n-k)];
又由於系統是時不變的,即有T[δ(n-k)]=h(n-k);
從而得y(n)=h(n-k)=x(n)*h(n);
這個公式稱為線性卷積,用“*”表示。
線性時不變系統
齊次性
若激勵f(t)產生的回響為y(t),則激勵Af(t)產生的回響即為Ay(t),此性質即為齊次性。其中A為任意常數。
f(t)系統y(t),Af(t)系統Ay(t)
疊加性
若激勵f1(t)與f2(t)產生的回響分別為y1(t), y2(t),則激勵f1(t)+f2(t)產生的響
應即為y1(t)+y2(t),此性質稱為疊加性。
線性
若激勵f1(t)與f2(t)產生的回響分別為y1(t), y2(t),則激勵A1f1(t)+A2f2(t)產生
的回響即為A1y1(t)+A2y2(t),此性質稱為線性。
時不變性
若激勵f(t)產生的回響為y(t),則激勵f(t-t0)產生的回響即為y(t-t0),此性質稱為
不變性,也稱定常性或延遲性。它說明,當激勵f(t)延遲時間t0時,其回響y(t)也延
遲時間t0,且波形不變。
微分性
若激勵f(t)產生的回響為y(t),則激勵f'(t)產生的回響即y’(t),此性質即為微分性。
積分性
若激勵f(t)產生的回響為y(t),則激勵f(t)的積分產生的回響即為y(t)的積分。此性質稱為積分性。

