基本信息
原子核內部結構-模型圖能級的標定 原子核能級的性質決定於核子間的相互作用,後者主要包括強相互作用(即核力)及電磁相互作用。在一個多體系統中,粒子間的相互作用所具有的不變性能為這個多體系統提供了好的量子數。由於核力和電磁力都具有轉動不變性及空間反射不變性,所以角動量和宇稱都是原子核的好量子數(即守恆量量子數),它們是除能量以外標定能級的最基本的量子數。此外,核力還較好地滿足同位旋空間轉動不變性,但電磁力不具有這種不變性。所以在後者所起的作用不大的情況下,例如在輕核中,同位旋仍是一個近似的好量子數(見原子核),用它來標定能級是有意義的。
原子核內部結構-模型圖偶偶核能級 偶偶核在能級方面有一些特別簡單的規律,例如所有偶偶核的基態自旋宇稱I都是0,除了幾個雙滿殼核He、O、Ca、Zr、Pb以外所有偶偶核的第一激發態自旋宇稱都是2。這個簡單規律顯然與原子核內部結構及核子間相互作用有關。
其他信息
能級寬度
原子核-內部結構模型表
原子核的能級
原子核的能級
原子核的能級
原子核的能級
原子核的能級除了穩定核的基態外,所有原子核的能級都具有一定的寬度。這是因為它們可以通過強相互作用發射核子、核子集團或其他強子;通過電磁作用發射 γ光子;或通過弱相互作用發射電子和中微子並衰變到較低的態或鄰近的核的激發態或基態上。由於能級壽命 τ與寬度有測不準關係的限制:,所以一切不穩定的能級都具有一定的寬度。的變化範圍很大,從幾兆電子伏到遠小於一個電子伏。一般能量越高,能級越密,寬度越大,以致互相重疊,能級就進入連續區。
能級的激發性質
從原子核的衰變、反應性質和核結構理論可判定某一能級的激發性質。典型的激發有兩類:一類是單粒子激發(或單空穴激發),例如在某些奇核中,奇核子從一個單粒子態躍遷到另一個單粒子態。另一類是集體性質的激發,它是由許多單核子激發的相干疊加而成的激發。
能級的各種激發方式直接反映了原子核結構的特性。理論上的分析可見核殼層模型和綜合模型。
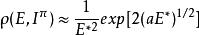
當激發能增加,能級的性質就越來越複雜,能級也越來越密。這時一個有意義的物理量是能級密度ρ(E,I),它的物理意義是在激發能附近單位能量範圍內具有一定值的能級數。實驗上低能中子(<100keV)的共振反應能提供較精確的能級密度的數據。對於揥60的原子核利用(p,p)、(p,α)等反應能獲得一些有關能級密度的知識。此外,利用中子蒸發譜,設法排除直接核反應所產生的中子,也能獲得ρ(E,I)的知識。理論上由於在激發能較高時單粒子自由度占優勢,因此可以利用費密氣體模型近似導出能級密度:
原子核的能級
原子核的能級
原子核的能級式中
,是在費密面上的單粒子能級密度,E*=E-u,是等效激發能,這個公式只能用於能級較密的區域。原子核能級及其分布是個極為複雜的問題,它涉及到核多體系統內部的運動規律及新的自由度的出現。隨著能量的升高,不同類型的自由度相繼被激發,連續譜同分立譜還可以重疊(如同位旋相似態),此外,核子激發態及其他重子也可以在核內出現,構成新的能級。目前這些方面的知識還是很不成熟的。

