強子結構
正文
強子-內部結構表 
在費密-楊模型中只有非奇異的介子及重子,因為核子不具有奇異數,由之不能構造成奇異粒子。
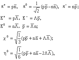
1955年,日本物理學家坂田昌一推廣了費密-楊模型,提出所有的強子都是由質子p、中子n和超子Λ以及它們的反粒子圴、嬞、揈構成的坂田模型。在坂田模型中,質量最低的一些介子的構成是

重子及介子-八重法圖
這五種重子,在坂田模型中是分別由(正反核子+Λ)和(反核子+ 2Λ)構成的,而這些可能的組合共有27種!也就是說,坂田模型預言太多的重子。此外,坂田模型對重子的自鏇、宇稱等性質的描述也不夠好。 強子具有內部結構的實驗上的跡象,最早是在1956年由能量約為1GeV的電子在核子上的散射實驗中顯示出來的。這些關於核子的電磁形狀因子的實驗表明,核子不是一個點,而是在半徑為0.8×10-13 cm的範圍內有著確定的電和磁的分布的物理實體。
1961年,M.蓋耳-曼和Y.奈曼提出了用SU(3)對稱性來對強子進行分類的"八重法",這是沿著費密-楊-坂田模型方向的一個重大進展。在物理上,費密-楊-坂田模型主要只考慮了強子的同位鏇對稱性質,而除了同位鏇之外,強子還有另外一個重要的內部量子數──超荷,這兩個量子數與粒子的電荷有著確定的關係。這個關係是不能自動在費密-楊-坂田模型中出現的。要做到這一點,就必須考慮更高的對稱性,這就是蓋耳-曼和奈曼提出的SU(3)對稱性。八重法分類,就是粒子物理中的周期表,不但當時已經發現的粒子在八重法分類中都能有自己的位置,八重法分類還準確地預言了一些新的粒子,其中最著名的是重子Ω- ,它後來在1964年被發現。八重法分類很好地說明了強子的自鏇、宇稱、電荷、奇異數及質量等等一系列性質的規律性。
SU(3)對稱性的物理基礎是什麼
SU(3)群的基礎表示是三維的,在物理上它對應著什麼,介子和重子都不屬於SU(3)群的基礎表示。最初蓋耳-曼認為:這種SU(3)群的基礎表示的三重態僅僅是描述強子理論的數學框架中的一個組成部分,代表三種虛構的"輕子"──Ⅴ、e、μ。到1964年,粒子的數目增加至近百,而且新粒子發現的勢頭還是有增無已,這使得蓋耳-曼和G.茲韋克提出和SU(3)群的基礎表示相對應的是三種粒子。蓋耳-曼還給它們起了一個從文學著作中借來的名字──夸克,表明夸克只有三種。現在習慣把它們記作 u、d、s。它們是自鏇為1/2的粒子,其性質見下表。
強子結構粒子的性質可以分為兩類。一類稱為靜態性質,例如質量、自鏇、奇異數、同位鏇、重子數、電荷等;另一類稱為動態性質,例如壽命,衰變寬度、形狀因子、截面、衰變分支比等,它們與粒子在不同的相互作用下的變化過程有關。粒子物理實驗的大量資料是與後者有關的。SU(3) 夸克模型在解釋粒子的靜態性質上取得很大的成功。但在解釋粒子的動態性質上則未涉及。
1965年,北京基本粒子理論組提出層子模型來研究粒子的動態性質。層子模型的主要思想是:①物質結構有無限的層次,在粒子層次上的構成組分是層子。但層子並不是物質最終的組成部分,可能包含更深層次的結構。因此層子的種類也可能不止三種。強子是層子或層子與反層子的束縛態。強子所參與的相互作用歸結為層子所參與的相互作用。②要解釋強子的動態性質,只考慮對稱性質是不夠的,必須計及強子的內部結構。在最終建立起層子之間的動力學理論之前,可以通過表達層子在強子內部運動的波函式來著手研究,因為相當一部分的動力學的信息,包含在反映強子內部結構的波函式中。③由於強子是層子或反層子的束縛態,不能當作點粒子處理,因此要發展計算含束縛態的矩陣元的方法,自洽地處理束縛態的內部運動波函式。④層子在強子內部的運動,可以作非相對論近似,但強子作為一個整體運動,必須具有相對論協變的性質。⑤不同的強子的動態性質,通過對稱性及內部運動波函式有著一定的關係。
層子模型是層子間動力學基本理論建立前的一個較好的強子結構模型理論。它成功地說明當時粒子物理實驗數據的一些主要方面;通過強子內部結構波函式,將電磁相互作用過程和弱相互作用過程聯繫起來;通過層子所參與的相互作用將介子和重子的性質聯繫起來。紛繁的粒子物理現象開始呈現出有機聯繫的、統一的圖像。
強子與輕子的-統一圖在60和70年代,建成了一批能量更高、束流更強、性能更好的加速器。雖然在這些加速器上沒有找到自由夸克,但是它們對研究強子的結構起了重要的作用。1968年用能量高達 20GeV的電子作為探針來研究質子的內部結構的電子深度非彈性散射實驗中發現,大角度散射的截面比原來想像的要大得多,這意味著質子內部電荷有著點狀的結構,另外的一些跡象還表明,這些點狀的結構在質子裡可以認為是自由的。類似的實驗後來也在中子上進行,得到相同的結論。在70年代,進行了用高能量的中微子作為探針來研究質子和中子的內部結構的中微子深度非彈性散射實驗,也得到核子裡存在有點狀的、近似自由的和質量不大的結構的結論(見深度非彈性散射)。
1974年,丁肇中及B.里希特等分別發現了一個新粒子J(或稱ψ),它有著非常獨特的性質,顯然不能由上表所示的三個夸克u、d、s及其反粒子構成,而只能以它由一個新的夸克с及其反粒子婔構成得到解釋。這個新的夸克被稱為粲夸克,有著一種新的量子數──粲數,它的電荷是
。這第四個夸克及粲數的存在,不久便由一系列的新粒子ψ′、ψ″、D、F、ηc、Λc等的發現得到更多的證據。 1977年,L.M.萊德曼等發現了又一個獨特的新粒子墝,它的性質只能以它是由一種新的夸克b及其反粒子姼構成得到解釋。這第五個夸克被稱為底夸克,它的電荷是
,帶有一種新的量子數──底數。這個新的夸克及底數的存在,近年由新粒子墝′、墝″以及B介子等的發現得到更多的證據。1984年在歐洲核子中心(CERN)發現了可能存在有第六個夸克的跡象。這種夸克稱為頂夸克,記作t,預計它的電荷為
,帶有一種新的量子數──頂數。 早在討論層子模型時就知道,夸克必須具有一種新的性質,才能解決夸克的自鏇統計問題,例如 Ω- 重子,是由三個處在軌道運動為s態的s夸克構成的,但這是明顯違背自鏇為1/2的粒子必須服從的量子力學的泡利不相容原理的。自鏇為半整數的粒子稱為費密子。按照泡利不相容原理,系統里處在一定運動狀態的費密子,只能有一個,不能有三個相同的費密子(s夸克)處在相同的運動狀態中。後來引入夸克具有一個新的量子數──色量子數,或即夸克帶有"色荷"的概念,
三代夸克圖1973年,建立了描述夸克之間的相互作用的量子色動力學理論:夸克之間的作用力,是由於帶有色荷的夸克,相互交換帶有色荷的膠子而產生的。這與描述電磁作用力的量子電動力學的圖像很相像,在那裡電磁力是由於帶電荷的粒子相互交換光子而產生的。與光子一樣,膠子也是沒有靜止質量的、自鏇為 1的粒子;但不同的是光子不帶電荷,而膠子卻帶有色荷。也許正是這個差別,使得強作用力是短程力,而且必須作無窮大的功,才能把強子裡的夸克或反夸克完全分開,這使得夸克不能以自由的狀態存在。不過這一點,目前無論在實驗上或在理論上,尚未得到證明。直到目前為止,自由的膠子也還沒有在實驗上被發現。
量子電動力學作為基本的理論完全解決了原子結構問題,量子色動力學目前是遠不能與之相比的,它只是一個很有希望成為描述在夸克之間的強相互作用和強子的結構的基本理論。
強子有著內部結構,已為實驗所證實。由於強子內部結構由強相互作用決定,因此其複雜性遠遠超過由電磁相互作用決定的原子內部結構的複雜性。建立強子內部結構的基本理論要比建立原子結構的基本理論複雜和困難得多。今後還需要在實驗上和理論上進行長期的和深入的研究,才能建立起正確描述強子內部結構的基本理論。
如果t夸克的存在進一步得到證實,夸克的總數將達到6種18類,它們的性質目前也已顯示了有類似於元素周期表的規律性,因此也很可能如層子模型提出時所預言的那樣,夸克也具有其內部的結構。從這一角度看,層子這一概念可能更反映微觀世界的客觀實際。

