形狀因子
正文
β衰變的弱相互作用-內部結構模型圖形狀因子常常與粒子的內部結構有一定的關係。在許多情形下,如果參與相互作用的粒子基本上可以看作是沒有內部結構的點粒子(在一定的能量標度中),則形狀因子就將接近於一個不隨動量轉移變化的常數因子。在對點粒子的量子場論(例如量子電動力學)描述中,形狀因子則是由對相互作用過程的高階微擾修正決定的。當相互作用常數很小時,形狀因子與常數因子的偏離一般也比較小。對相互作用過程的形狀因子的實驗測定能為粒子的內部結構和相互作用動力學的研究提供重要的信息。
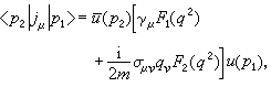
電形狀因子和磁形狀因子是指在描述電磁相互作用的粒子—光子頂角中出現的形狀因子。例如,按照相對論協變性和電磁場規範不變性(見狹義相對論)的要求,自鏇1/2的費密子與光子的相互作用頂角可以一般地表示為

是4×4矩陣,m是費密子的質量,q呏p2-p1是初態和末態費密子之間的動量轉移,F1(q2 )和F2(q2 )為兩個形狀因子。為了方便,通常又把F1和F2的如下線性組合定義為電形狀因子GE(q2 )和磁形狀因子GM(q2 ): 

。準確到α 一次項的量子電動力學理論計算給出
,計及α 高次項的微擾論結果,與實驗值高度精確地符合(見μ子和電子回磁比)。對於質子,F1(0)=1(以質子電荷為單位),實驗測得 F2(0)=1.7928456±0.00000011
mp
。對於中子,F1(0)=0,實驗測得F2(0)=-1.91304184±0.00000088,核子具有很大的反常磁矩這一事實表明,它們很可能是具有內部結構的複合粒子。 對核子的電磁形狀因子實驗測定是從20世紀50年代後期開展起來的。這一工作對揭示核子的內部結構很有意義。例如,核子電荷半徑的均方值同電形狀因子的關係是

形狀因子
形狀因子
1(GeV/с)2 時,實驗顯示出核子的電磁形狀因子近似地正比於(q2 )-1 ,π介子的電磁形狀因子近似地正比於 (q2 )-1 。這些實驗資料有助於對夸克間相互作用動力學的研究。 人們除了通過散射實驗對電磁形狀因子在類空區域(q2 >0)的行為積累了豐富的知識之外,還通過電子—正電子對撞實驗對它們在類時區域(q2 <0)的行為進行了研究。
參考書目
S.D.Drell and F.Zachariasen, Electromagnetic Structure of Nucleons,Oxford Univ. Press, London, 1961.
R. P. Feynman,Photon-Hadron InteRactions,W. A.Benjamin, Reading, Mass, 1972.
C. Itzykson and J. B. Züber, Introduction to Quantum Field Theory, McGraw-Hill,New York, 1980.
